法向过载对机载热电转换系统工质吸热过程的影响
doi: 10.11887/j.cn.202502006
杨烜 , 王中伟 , 钮耀斌
国防科技大学 空天科学学院,湖南 长沙 410073
基金项目: 国家部委基金资助项目(JCKY2021205B108)
Effect of normal overload on convective heat transfer process of working fluid in airborne thermoelectric conversion system
YANG Xuan , WANG Zhongwei , NIU Yaobin
College of Aerospace Science and Engineering, National University of Defense Technology, Changsha 410073 , China
摘要
为掌握法向过载对机载热电转换系统的影响,基于计算流体力学软件对循环工质在吸热通道内的流动换热过程进行了数值研究。结果表明,法向过载的增大改变了管道内的流场结构,从而使得壁面温度逐渐降低:沿管长方向,吸热通道的壁面温度呈现一个峰值结构,该结构的形成与近壁处流体湍流热流的变化密切相关。随着法向过载从0g增加至2g,吸热通道前端的流场从8涡结构变为双主涡结构且二次流的影响逐渐增强。双主涡结构的形成使得加热壁处的温度边界层变薄,流体的湍流热流增加,局部对流换热系数增加达80%。随着管道内换热增强,吸热通道的壁面温度逐渐降低,局部降温可达290 K。
Abstract
To grasp the effect of normal overload on the airborne thermoelectric conversion system, the convective heat transfer process of working fluid in heat exchange ducts was simulated on the basis of the computational fluid dynamics software. Results show that the growth of normal overload makes the flow field structure inside the pipeline changed, which finally leads to the gradually decreasing wall temperature. Along the duct, the formation of one wall temperature peak of the heat absorption channel is closely related to the change of turbulent heat flux near the heated wall. When the normal overload increases from 0g to 2g, the flow structure at the front end of the heat absorption channel changes from 8 vortexes converts to the two main vortexes structure and the influence of secondary flow is gradually increasing, the formation of the two main vortexes makes turbulent heat flux of fluid near the heated wall increases gradually due to the thinner temperature boundary layer. Hence, local heat transfer coefficient can be increased by 80%. With the enhancement of heat transfer in duct, the wall temperature of the heat absorption channel decreases and the maximum of wall temperature drop can be up to 290 K.
热电转换技术可以将飞行器承受的气动热转换为电能,实现能量的有效利用,是未来长航时飞行器的理想能源技术。以超临界流体为工质的热电转换系统,其体积小、重量轻且转换效率高,适用于飞行器等冷源不足同时又对系统体积、重量存在限制的应用场景。苗鹤洋等提出了以超临界压力CO2为工质的机载热电转换系统[1-2]
机载热电转换系统工质吸热过程作为唯一与飞行器壁面热源进行热交换的过程,其换热性能是整个热电转换系统正常运转的关键。因此,为指导机载热电转换系统的设计,需要对超临界压力流体在管道内的换热过程有透彻的理解。目前,学者们主要基于均匀加热圆管对超临界压力流体的流动换热过程开展了研究[3]。相关研究结果表明,均匀加热圆管的壁面温度会出现一个或多个峰值结构[4-6]且浮升力对管内对流换热过程存在重要影响[37]。Liao等[8]指出,在内径为0.7 mm的均匀加热圆管内,即使雷诺数高达105,也不能忽视浮升力对超临界压力CO2换热过程的影响。Yamagata等[9]发现,在内径为7.5 mm的均匀加热圆管内,当热流密度达到465 kW/m2时,浮升力对超临界压力水的换热过程影响增强,上、下壁面温度开始出现差异。Cheng等[10]、Yang等[11]指出,在均匀加热圆管内,浮升力使得流体的速度分布曲线变得平坦,近壁处流体的湍动能降低,从而导致了局部壁温峰值的形成。
由于独特的工作环境,机载热电转换系统换热通道内的浮升力会发生相应变化:一方面,相比于均匀加热圆管,在机载热电转换系统中,热量仅从单侧壁面流入矩形换热管道[212-13]。单侧加热会对管道内的浮升力分布产生影响,从而使得管道内的换热过程发生变化。另一方面,飞行器的过载也会对热电转换系统换热通道内的浮升力产生影响,从而导致管道内的换热过程发生变化。刘志琦[14]和Liang等[15]研究了纵向过载对单侧加热水平方管内超临界压力煤油换热过程的影响。结果表明,当纵向过载为正值,即飞行器加速度方向与煤油流向相同时,随着过载增加,浮升力因子Bo*也呈增加趋势,浮升力对换热的影响增强。然而,法向过载对水平方管内循环工质换热过程的影响机理与纵向过载不同,此时飞行器加速度方向与管长方向垂直,这会使得热电转换系统吸热通道内的流动换热过程发生变化。此外,显著的物性差异及裂解现象[1416-18]也会使得管道内煤油的换热过程与超临界压力CO2存在一定区别。上述因素会使得法向过载对管道内超临界压力CO2流动换热过程的影响不同于纵向过载对煤油流动换热过程的影响,但目前还少有研究探讨法向过载对机载热电转换系统中超临界压力CO2流场结构及换热过程的影响规律。
本文对机载热电转换系统中循环工质在吸热通道内的换热过程进行了数值仿真,分析了流场的演变过程及壁温变化特性。在此基础上,研究了法向过载对管道内流场结构演变过程及换热特性的影响规律。
1 问题描述
1.1 物理模型
图1显示了机载热电转换系统的构成部件。热电转换系统主要由压缩机、吸热通道、涡轮及换热器组成。在整个循环中,工质经压缩机增压后流入吸热通道。飞行器壁面的热量在吸热通道内被工质吸收,并在涡轮内被转换为电能。
1机载热电转换系统示意图
Fig.1Schematic diagram of airborne thermoelectric conversion system
图2显示了方形吸热通道的几何结构,其中x轴为管长方向,y轴为重力加速度g的方向(g=-9.8 m/s2)。如图2所示,水平管道分为3个部分,即入口段、加热段及出口段,其中入口段长0.15 m,加热段长0.5 m。管道总长0.7 m,宽度b为3 mm,高度H为4 mm。内部方形流道的边长c为2 mm,沿y方向的壁面厚度σ为1 mm,沿z方向的壁面厚度为0.5 mm。
2换热通道示意图
Fig.2Schematic diagram of heat exchange duct
1.2 初边值条件
热电转换系统循环工质选用CO2[1],吸热通道入口处的工质质量流量m为1.5 g/s,工质入口温度Tin为300 K,吸热通道出口压强pout为8 MPa。表1列出了吸热通道内循环工质传热过程的3个计算工况,其中工况B表示飞行器处于水平匀速飞行状态,此时法向过载n为1g。为研究飞行器机动引起的法向过载对热电转换系统中工质吸热过程的影响,工况A、工况C分别将法向过载设置为0g和2g
1不同法向过载下吸热通道内循环工质换热过程的计算工况
Tab.1 Calculated cases for heat transfer process of working fluid in heated duct with different normal overload
管道下壁面设置为加热面,热流密度为1 MW/m2,其余三个壁面为绝热壁。
2 数值方法及验证
2.1 控制方程及求解方法
循环工质的流动吸热过程可以用Fluent 16.1中三维湍流流动的稳态控制方程组表示:
xiρui=0
(1)
xjρujui=ρfi-pxi+xjτij-xjρui'uj'¯
(2)
xiρuiE+ρuixi(E)+xiuip=xjλ+cpμtPrtTxj+uiτij, eff
(3)
其中:ρ表示密度,xi表示坐标,ui表示速度分量,fi表示彻体力分量,τij表示摩擦力分量,ρui'uj'¯表示雷诺应力分量,E表示总能,p表示压强,cp表示比定压热容,μt表示湍流黏度系数,Prt表示湍流普朗特数,T表示温度,τij,eff表示有效切应力。对于Prt,采用Tang等提出的可变Prt模型[19]
为反映体积力变化对流动换热过程的影响,在方程(2)中考虑了彻体力项ρfiρ随温度的变化以及fi随过载的变化均会使得ρfi发生变化。通过以下措施将彻体力的变化施加至求解过程:
1)通过piecewise-linear方法,考虑ρ等物性参数随温度的变化[20]
2)通过更改fi的数值,考虑法向过载变化对彻体力的影响。
对于方程(2)中雷诺应力分量所代表的湍流项,采用雷诺应力湍流模型(Reynolds stress model,RSM)计算。由于该湍流模型中考虑了ρ的变化,因此可以反映彻体力变化对湍流的影响。
本文基于Fluent 16.1的压力基求解器及二阶迎风格式求解控制方程组并采用SIMPLEC算法来求解压力场与速度场的耦合。
2.2 算例验证
2.2.1 流场结构验证
图3显示了管道1/4截面上z向二次流速度w与主流速度U比值的数值、试验结果。
依据Gessner等的试验数据[21]对数值方法的适用性进行验证,适用性的评判准则为矩形管道内二次流的分布特征。从图3中可以看出,仿真得到的w的分布规律与试验结果相吻合,这表明2.1节的数值方法可以较好地模拟矩形管道内的流场。
3速度比值w/U的试验、数值结果对比
Fig.3Comparison of velocity ratio w/U between experimental data and simulation result
2.2.2 传热过程验证
采用Kim等的试验结果[22-23]对数值方法的适用性进行验证,评判准则为管道壁面温度的变化趋势及壁温峰值的预测误差。
图4给出了方管壁面温度Tw的试验数据以及考虑试验过程热损失后Tw的仿真结果。图例中“RSM+Tang”表示基于RSM湍流模型以及可变Prt模型得到的仿真结果,横坐标中的Dh表示水力直径。如图4(a)所示,当管道外侧壁面热流密度qw为35 kW·m-2、工质质量流速G为419 kg·m-2·s-1时,2种仿真结果相差不超过0.5%,这表明此工况下彻体力对流动换热过程影响较小。同时,黑线与试验数据相差不超过1%,这表明本文所用的计算方法可以较为准确地反映彻体力变化不大时矩形管内的换热过程。在图4(b)中,此工况下彻体力对传热过程影响明显。管道壁温不再单调增加而是呈现两个峰值,其中第一个峰值显著偏高,考虑彻体力影响的仿真结果捕捉到了这一壁温变化特征。对于第一个壁温峰值,黑线结果为443 K,试验结果为414 K,两者相差约7%,在可接受范围内。试验数据与黑色虚线代表的仿真结果间的误差是Prt模型中常数的取值[14]导致的。上述两组算例表明,2.1节的数值方法可以较好地反映彻体力变化对传热过程的影响,在彻体力影响明显、不明显时,基于2.1节所述方法得到的数值结果与试验数据均吻合较好。
4不同工况下,壁面温度的试验、数值结果对比
Fig.4Comparison of wall temperature between experimental data and simulation results under different cases
综合以上验证分析,可以认为2.1节的计算方法能够较好地对不同彻体力下管道内工质的流动、换热过程进行仿真。因此,论文后续工况的计算使用2.1节的数值方法。
2.3 网格无关性
采用六面体结构网格对计算域进行划分,计算域包含循环工质(流体域)及吸热通道固体壁面(固体域)。为验证网格无关性,网格数分别设计为1 174 496、2 366 720、4 712 256。计算结果表明,流体域近壁面第一层网格的y+<1,中等网格与细网格下的壁面温度误差不超过1.3%。因此,采用中等网格进行工质吸热过程的仿真计算。
3 结果与讨论
3.1 热电转换系统换热通道内工质的吸热过程
本节研究飞行器水平匀速飞行时换热通道内流场的演变规律及壁温变化趋势的形成原因。
3.1.1 换热通道内流场结构的演变规律
沿流道方向,水平方管内的流场会从普朗特第二类二次流(secondary flow of Prandtl′s second kind,SFSK)结构向双主涡结构转变,之后双主涡逐渐分裂并再次转变为SFSK结构。
图5显示了从管道入口至x=0.15 m处的流场变化。如图5左侧所示,在x=0.10 m处,管道横截面上存在8个较为对称的涡,此时流场结构为SFSK结构[24-25]。随着工质靠近加热段,流场结构开始变化。图5左侧的涡B结构逐渐消失,涡C1逐渐扩展并与涡A1融合,最终在x=0.15 m处形成了如图5右侧涡A2和涡C2所示的流场。
5x=0.10 m、x=0.15 m处的流场结构
Fig.5Flow fields at x=0.10 m and x=0.15 m
x=0.15 m至x=0.20 m,涡A2和涡C2进一步融合,同时涡D2逐渐消失。图6给出了x=0.20 m处的流场结构。如图6所示,整个管道横截面被两个大涡占据,形成了双主涡结构。流体自侧壁向上运动,在上壁面中心汇聚后流向下壁面,之后再从下壁面中心流向侧壁。
6x=0.20 m处的流场结构
Fig.6Flow field at x=0.20 m
为揭示双主涡结构的形成机理,分析了从x=0.10 m至x=0.20 m处流体的受力变化。图7显示了不同位置横截面上的密度场及合力场Sy,其中Sy是指y向动量守恒方程中压力项、雷诺应力项、重力项的和。由于黏性力起耗散作用,不会使得侧壁附近流体产生向上的运动趋势,因此未算入合力。如图7(a)所示,在x=0.20 m处,侧壁附近流体吸收热量后密度迅速降低,当地流体的重力也随之明显降低。然而,在管道中心位置,流体的密度未发生显著变化,因此管道中心的重力变化远不如侧壁附近明显。上述横截面上流体重力的变化会对局部流体微团所受的合力产生影响。如图7(b)所示,从x=0.10 m运动至x=0.20 m,下侧壁附近(y=0.001 m至y=0.002 m)流体所受重力显著降低,当地流体所受的y向合力由负值迅速增加为正值,这会使得当地流体产生向上的运动趋势,从而导致双主涡结构形成。同时,由于管道中心处流体的重力变化不明显,因此当地未形成显著的向上运动趋势。
7不同截面位置处的密度场及沿y向的合力场
Fig.7Variation of density field and y-direction force field at different cross sectional positions
图8显示了从x=0.30 m处至x=0.40 m处的流场变化。如图8左侧所示,在x=0.30 m处,随着流体密度变化的减弱,雷诺应力的作用效果逐渐凸显,涡B3、D3逐渐生成,双主涡结构开始分裂。随着流场继续发展,涡B3、D3逐渐扩大,在x=0.40 m处,如图8右侧所示,流场结构重新变为SFSK结构,并一直持续到管道出口。
8x=0.30 m、x=0.40 m处的流场结构
Fig.8Flow fields at x=0.30 m and x=0.40 m
3.1.2 壁面温度的变化趋势及形成原因
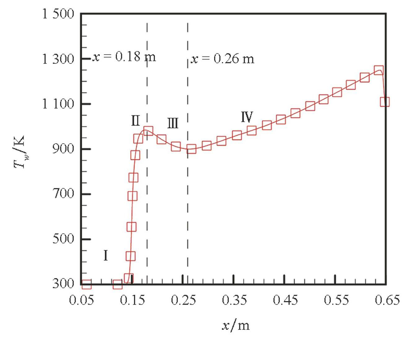
沿管长方向,吸热通道的壁面温度分布如图9所示。从图9可以看出,吸热通道的壁面温度Tw呈现一个峰值结构。根据壁面温度的变化趋势,将整个管道分为4个区间:区间Ⅰ从管道入口持续至x=0.15 m,在区间Ⅰ前端,壁面温度保持为300 K,但区间Ⅰ末端的壁面温度则逐渐增加;区间Ⅱ从x=0.15 m持续至x=0.18 m,在区间Ⅱ内,壁面温度迅速增加至984 K,同时区间Ⅱ末端的温度梯度逐渐减小至0;区间Ⅲ从x=0.18 m持续至x=0.26 m,在区间Ⅲ内,壁面温度逐渐减小至900 K;区间Ⅳ从x=0.26 m持续至加热段末端约x=0.65 m处,此时壁面温度逐渐增加至1 250 K。在x=0.65 m处,管道进入非加热的出口段,由于热量从加热段向出口段传递,此时壁面温度呈降低趋势。
9沿管道流向,壁面温度的变化趋势
Fig.9Variation of wall temperature along the duct flow
在区间Ⅰ内,当接近x=0.15 m时,壁面温度逐渐增加。图10显示了区间Ⅰ内流体的主流速度、湍动能分布。在区间Ⅰ末端,由于逐渐接近加热段,壁面附近流体的温度逐渐增加,密度逐渐降低。因此,如图10中实线所示,壁面附近流体的主流速度逐渐增加,而管道中心(y=0.002 m)流体的主流速度则呈先减小后增加的变化趋势。最终,流体在横截面上的速度分布变得更为平坦,这会导致近壁处流体的湍动能逐渐减小,湍流热流也随之减小,当地换热被抑制。
在区间Ⅱ内,壁面温度迅速增加,同时区间Ⅱ末端的温度梯度则逐渐降低。图11显示了区间Ⅱ内流体的主流速度及湍动能的变化趋势。如图11中实线所示,在区间Ⅱ内,由于吸收了加热壁传递的热量,近壁处流体(y=0.001 m至y=0.001 1 m)的主流速度显著增加。近壁处流体速度的增加会带来当地速度梯度的增加,这会使得近壁处流体的湍动能迅速增加,如图11中虚线所示。
10区间Ⅰ内主流速度及湍动能的变化趋势
Fig.10Variation of mainstream velocity and turbulent kinetic energy in Phase Ⅰ
11区间Ⅱ中主流速度、湍动能的变化趋势
Fig.11Variation of mainstream velocity and turbulent kinetic energy in Phase Ⅱ
图12显示了区间Ⅱ内流体的温度、湍流热流的变化。在区间Ⅱ内,如图12中实线所示,由于吸收了壁面传递的热量,近壁处流体的温度逐渐增加且远离拟临界温度(比定压热容cp最大值对应的温度,8 MPa下为307.8 K),流体的cp随之迅速减小。因此,如图12中虚线所示,在区间Ⅱ前端,近壁处流体的湍流热流逐渐减小,这会使得当地的壁面温度梯度最高,壁面温度增加最为显著。之后,在区间Ⅱ末端,由于近壁处流体的湍动能逐渐增加,近壁处流体的湍流热流也开始增加,这使得区间Ⅱ末端壁面附近的换热得到提升,壁面温度梯度逐渐降低至0。
在区间Ⅲ内,壁面温度逐渐降低。图13显示了区间Ⅲ内流体温度及主流速度的变化趋势。如图13中虚线所示,流体的主流速度继续增加,因此近壁处流体的湍动能也呈增加趋势。同时,如图13中实线所示,从管道壁面至管道中心,流体温度随y增加而逐渐降低并于y=0.001 2 m附近进入平台区;随着x坐标增加,y=0.001 3 m处的流体温度逐渐增加,这也意味着流体在管道中心的温度逐渐增加并接近拟临界温度,这会使得当地流体的cp迅速增加[15],吸热能力显著提升。因此,更多的热量会被管道中心附近的工质吸收从而使得近壁处流体的温度降低、cp增加。由于近壁处流体的湍动能及cp均呈增加趋势,当地流体的湍流热流逐渐增加,壁面附近的换热得到提升,最终使得区间Ⅲ内的壁温降低。
12区间Ⅱ中流体温度、湍流热流的变化趋势
Fig.12Variation of fluid temperature and turbulent heat flux in Phase Ⅱ
13区间Ⅲ中主流速度及温度的变化趋势
Fig.13Variation of mainstream velocity and temperature in Phase Ⅲ
在区间Ⅳ内,壁面温度单调增加。图14显示了区间Ⅳ内流体湍动能及湍流热流的变化趋势。如图14中实线所示,在区间Ⅳ内,流体速度继续增加,这使得近壁处流体的湍动能呈增加趋势。同时,由于管道中心流体的温度逐渐远离拟临界温度,其吸热能力逐渐降低,这会使得更多的热量被近壁处流体吸收并导致近壁处流体的温度增加。如图14中虚线所示,沿管长方向,由于近壁处(y=0.001 m至y=0.001 1 m)流体温度逐渐增加,流体的比定压热容逐渐降低,这使得当地流体的湍流热流逐渐降低。综上,尽管区间Ⅳ内近壁处流体的湍动能逐渐增加,但逐渐减小的湍流热流仍会使得区间Ⅳ内的壁温逐渐增加。
14区间Ⅳ中流体湍流热流及湍动能的变化趋势
Fig.14Variation of turbulent heat flux and turbulent kinetic energy in Phase Ⅳ
3.2 法向过载对循环工质换热过程的影响
考虑到飞行器的变速运动,在3.1节基础上,本节研究法向过载对热电转换系统循环工质换热过程的影响,过载分别为0g、1g和2g
3.2.1 法向过载对流场结构的影响
为描述流场结构变化的影响,定义二次流影响因子Is为二次流速度V与主流速度U的比值,式(4)为具体计算公式:
Is=VU×100%=v2+w20.5u×100%
(4)
式中:u表示x向速度,v表示y向速度,w表示z向速度。
图15显示了x=0.20 m处,法向过载为0g、1g时管道横截面上的流场结构及二次流影响因子Is的分布特征。如图15左侧所示,当法向过载为0g时,密度变化对流场的影响较小,流场结构为SFSK结构。当法向过载增加为1g时,如图15右侧所示,受密度变化影响,管道横截面上的流场结构变为双主涡结构且横截面上的Is显著增加,这意味着管道横截面上二次流结构的影响逐渐增强。上述结果表明,随着法向过载增加为1g,管道内的双主涡结构逐渐形成且二次流的影响增加。
图16显示了x=0.20 m处,法向过载为1g、2g时管道横截面上的流场结构及二次流影响因子Is的分布特征。如图16左侧所示,当过载增加为2g时,流场仍维持双主涡结构,但管道内的二次流影响因子Is明显增加。在侧壁附近,V可达主流U的25%,高于右侧工况B中的结果。上述结果表明,随着法向过载增加至2g,密度变化的影响增大,这使得双主涡结构得到增强。
15工况A、B下,管道内的流场结构及Is分布
Fig.15Flow field and Is distribution inside the pipeline in Case A and Case B
16工况B、C下,管道内的流场结构及Is分布
Fig.16Flow field and Is distribution inside the pipeline in Case B and Case C
3.2.2 流场结构变化对管道内换热特性的影响
由于流场结构的变化,法向过载会对管内工质的换热过程产生明显影响。图17显示了不同法向过载下,换热通道壁面温度沿x轴的分布,其中虚、实线分别表示上、下壁面的温度。如图17所示,在管道前端(x=0.15 m至x=0.40 m),随着法向过载从0g增加至2g,上、下壁面的温度均逐渐降低,最大降温可达290 K。在管道后端,法向过载对壁面温度的影响可以忽略。
同时,随着法向过载增加,加热面处的对流换热系数h也会发生变化。h由式(5)计算[26]
17法向过载对壁面温度的影响
Fig.17Effect of normal overload on wall temperature
h=qin/Twcf-Twf
(5)
式中:qin表示管道内侧壁面热流密度,Twcf表示工质侧的壁面温度,Twf表示工质的质量平均温度。
图18显示了不同法向过载下,下壁面对流换热系数沿管长方向的分布。如图18中实线所示,随着法向过载从0g增加至2g,下壁面对流换热系数逐渐增加,这表明吸热通道内加热壁面处的换热过程得到提升。在吸热通道前端(x=0.15 mx=0.40 m),对流换热系数的增加较为明显,如图18中虚线所示,增加幅值δ均在10%以上,最大可达80%。随着靠近吸热通道出口,δ逐渐减小并趋近于0。δ可通过式(6)得到:
δ=h工况 C-h工况 Ah工况 A×100%
(6)
18沿管长方向,法向过载对下壁面对流换热系数h的影响
Fig.18Effect of normal overload on convective heat transfer coefficient h of bottom wall along the length direction of the pipe
结合3.2.1节的分析结果可知,随着法向过载从0g增加至2g,双主涡结构的生成使得管道内的换热提升,壁面温度逐渐降低。这主要是两个因素导致的:一方面,随着法向过载增加,双主涡的影响逐渐增强,这促进了管道内部流体的掺混,使得湍动能增加,换热增强;另一方面,随着双主涡结构的形成,加热壁附近流体的流动方向发生了变化,这也使得管道内的换热提升。图19显示了过载为0g、1g时,x=0.20 m处管道横截面平分线(z=0.001 5 m)上流体y向速度v与流体温度的分布。如图19中虚线所示,在0g工况下,流场结构为SFSK结构,此时下壁面附近的v为正值;而在1g工况下,双主涡结构形成,下壁面附近的v变为负值,会将管道中心的低温流体输运向下壁面。因此,与0g工况相比,双主涡结构会使得下壁面附近的流体温度降低,比定压热容随之增加。同时,这也使得加热壁处的温度边界层明显变薄,有利于提升换热。如图19中箭头标识所示:当过载为0g时,温度边界层厚度为0.25 mm;当过载为1g时,该厚度为0.15 mm。
19法向过载对y向速度v及温度边界层的影响
Fig.19Effect of normal overload on y-direction velocity v and temperature boundary layer
对于管道上、下壁面处对流换热系数h沿z轴的分布特征,法向过载也存在重要影响。图20显示了法向过载为0g、1g时,上、下壁面对流换热系数h沿z轴的分布。从图20可以看出,在x=0.20 m处,随着法向过载逐渐增加,上壁面对流换热系数由倒U形变为M形。同时,随着法向过载增加至1g,在管道前端,上、下壁面对流换热系数的差异增加。如图20中红线所示,在x=0.20 m处,当法向过载为1g时,上壁面中心的对流换热系数仅约为下壁面中心对流换热系数的50%。在管道后端,即x=0.45 m处,上、下壁面对流换热系数均为倒U形且法向过载对h的影响较小。
法向过载对上、下壁面对流换热系数沿z轴分布特征的显著影响是当地二次流结构变化导致的。图21显示了法向过载为0g、1g时,x=0.2 m处管道横截面上流体的温度分布及流场结构。当法向过载为0g时,如图21左侧所示,上、下壁面中心处的温度边界层最薄,这会使得当地对流换热系数呈倒U形。同时,由于当地流场结构的对称性,上、下壁面附近的温度分布较为相似,这导致上、下壁面的对流换热系数相差较小。随着法向过载增加,由3.2.1节的分析可知,管道内双主涡结构逐渐形成且影响逐渐增强。如图21右侧所示,由于不断增强的双主涡结构的作用,上壁面中心处的高温流体被输运向管道中心,这会使得上壁面中心附近的温度边界层变厚,对流换热系数大幅降低,从而形成了上壁面对流换热系数的M形分布特征。同时,如图21右侧所示,由于双主涡结构的作用,下壁面中心处的流体自上向下运动,将管道中心处的低温流体输运至下壁面,这使得下壁面处的温度边界层变薄,当地换热提升。因此,随着双主涡结构增强,管道前端上、下壁面对流换热系数的差异增加。
20不同法向过载下,上、下壁面对流换热系数h沿z轴的分布特征
Fig.20Distribution characteristics of convective heat transfer coefficient h on up wall and bottom wall along z coordinate under cases with different normal overload
21法向过载对横截面上工质温度分布的影响
Fig.21Effect of normal overload on temperature distribution of working fluid on the cross-section
4 结论
本文对机载热电转换系统吸热通道内循环工质的流动换热过程进行了数值仿真,研究了法向过载对管道内流场结构演变过程及换热特性的影响规律,主要结论如下:
1)当法向过载为0g时,管道内的流场保持SFSK结构。随着法向过载增加至2g,彻体力变化对流动影响增强。沿管长方向,管道内的流场结构会经历从SFSK结构转变为双主涡结构再转变至SFSK结构的过程。双主涡结构的形成是由于下侧壁附近流体的密度迅速降低,当地流体所受的y方向合力变为正值,这使得侧壁附近流体产生向上的运动加速。
2)当法向过载为0g时,热电转换系统吸热通道的壁面温度沿管长方向呈现一个峰值结构。壁面温度变化趋势的形成与近壁处流体的湍流热流密切相关:在加热段起始位置附近,由于逐渐降低的比定压热容与逐渐增加的湍动能之间的竞争,流体的湍流热流先减小后增加,这导致了壁温峰值的形成。在峰值结构之后,沿管长方向,由于近壁处流体的湍流热流先增加后减小,壁面温度呈先降低后增加的变化趋势。
3)随着法向过载增加,逐渐生成的双主涡结构会使得加热壁附近的温度边界层变薄并促进管道内流体间的掺混,这会导致管道内的换热提升,下壁面对流换热系数增加可达80%。随着管内换热增强,壁面温度逐渐降低,最大降温幅值约290 K。
4)随着法向过载增加,局部二次流流速可达主流的25%,双主涡结构的影响逐渐增强,这会使得上壁面中心附近的温度边界层明显增厚,当地对流换热系数分布变为M形。同时,上、下壁面对流换热系数的差异也随着双主涡结构的增强而增加。当过载为1g时,在x=0.20 m处,上壁面中心的对流换热系数仅约为下壁面对流换热系数的50%。
1机载热电转换系统示意图
Fig.1Schematic diagram of airborne thermoelectric conversion system
2换热通道示意图
Fig.2Schematic diagram of heat exchange duct
3速度比值w/U的试验、数值结果对比
Fig.3Comparison of velocity ratio w/U between experimental data and simulation result
4不同工况下,壁面温度的试验、数值结果对比
Fig.4Comparison of wall temperature between experimental data and simulation results under different cases
5x=0.10 m、x=0.15 m处的流场结构
Fig.5Flow fields at x=0.10 m and x=0.15 m
6x=0.20 m处的流场结构
Fig.6Flow field at x=0.20 m
7不同截面位置处的密度场及沿y向的合力场
Fig.7Variation of density field and y-direction force field at different cross sectional positions
8x=0.30 m、x=0.40 m处的流场结构
Fig.8Flow fields at x=0.30 m and x=0.40 m
9沿管道流向,壁面温度的变化趋势
Fig.9Variation of wall temperature along the duct flow
10区间Ⅰ内主流速度及湍动能的变化趋势
Fig.10Variation of mainstream velocity and turbulent kinetic energy in Phase Ⅰ
11区间Ⅱ中主流速度、湍动能的变化趋势
Fig.11Variation of mainstream velocity and turbulent kinetic energy in Phase Ⅱ
12区间Ⅱ中流体温度、湍流热流的变化趋势
Fig.12Variation of fluid temperature and turbulent heat flux in Phase Ⅱ
13区间Ⅲ中主流速度及温度的变化趋势
Fig.13Variation of mainstream velocity and temperature in Phase Ⅲ
14区间Ⅳ中流体湍流热流及湍动能的变化趋势
Fig.14Variation of turbulent heat flux and turbulent kinetic energy in Phase Ⅳ
15工况A、B下,管道内的流场结构及Is分布
Fig.15Flow field and Is distribution inside the pipeline in Case A and Case B
16工况B、C下,管道内的流场结构及Is分布
Fig.16Flow field and Is distribution inside the pipeline in Case B and Case C
17法向过载对壁面温度的影响
Fig.17Effect of normal overload on wall temperature
18沿管长方向,法向过载对下壁面对流换热系数h的影响
Fig.18Effect of normal overload on convective heat transfer coefficient h of bottom wall along the length direction of the pipe
19法向过载对y向速度v及温度边界层的影响
Fig.19Effect of normal overload on y-direction velocity v and temperature boundary layer
20不同法向过载下,上、下壁面对流换热系数h沿z轴的分布特征
Fig.20Distribution characteristics of convective heat transfer coefficient h on up wall and bottom wall along z coordinate under cases with different normal overload
21法向过载对横截面上工质温度分布的影响
Fig.21Effect of normal overload on temperature distribution of working fluid on the cross-section
1不同法向过载下吸热通道内循环工质换热过程的计算工况
苗鹤洋. 基于超临界二氧化碳循环的超燃冲压发动机热电转换系统研究[D]. 长沙: 国防科技大学,2021. MIAO H Y. Investigation on supercritical carbon dioxide cycle based thermoelectric conversion system for scramjet[D]. Changsha: National University of Defense Technology,2021.(in Chinese)
MIAO H Y, WANG Z W, NIU Y B. Key issues and cooling performance comparison of different closed Brayton cycle based cooling systems for scramjet[J]. Applied Thermal Engineering,2020,179:115751.
MAO S, ZHOU T, WEI D,et al. Heat transfer characteristics of supercritical water in channels:a systematic literature review of 20 years of research[J]. Applied Thermal Engineering,2021,197:117403.
CUI Y L, WANG H X. Experimental study on convection heat transfer of R134a at supercritical pressures in a vertical tube for upward and downward flows[J]. Applied Thermal Engineering,2018,129:1414-1425.
LEI X L, LI H X, ZHANG W Q,et al. Experimental study on the difference of heat transfer characteristics between vertical and horizontal flows of supercritical pressure water[J]. Applied Thermal Engineering,2017,113:609-620.
XU R N, LUO F, JIANG P X. Buoyancy effects on turbulent heat transfer of supercritical CO2 in a vertical mini-tube based on continuous wall temperature measurements[J]. International Journal of Heat and Mass Transfer,2017,110:576-586.
HE J, TIAN R, JIANG P X,et al. Turbulence in a heated pipe at supercritical pressure[J]. Journal of Fluid Mechanics,2021,920: A45.
LIAO S M, ZHAO T S. An experimental investigation of convection heat transfer to supercritical carbon dioxide in miniature tubes[J]. International Journal of Heat and Mass Transfer,2002,45(25):5025-5034.
YAMAGATA K, NISHIKAWA K, HASEGAWA S,et al. Forced convective heat transfer to supercritical water flowing in tubes[J]. International Journal of Heat and Mass Transfer,1972,15(12):2575-2593.
CHENG H, ZHAO J Y, ROWINSKI M K. Study on two wall temperature peaks of supercritical fluid mixed convective heat transfer in circular tubes[J]. International Journal of Heat and Mass Transfer,2017,113:257-267.
YANG D, WU Q X, CHEN L,et al. Numerical investigation on heat transfer to supercritical water flowing upward in a 4-m long bare vertical circular tube[C]//Proceedings of the International Conference on Nuclear Engineering Collocated with the ASME 2020 Power Conference,2020.
尹亮, 丁杰, 刘伟强. 再生冷却通道结构参数对碳氢燃料流量分配影响[J]. 国防科技大学学报,2022,44(4):151-157. YIN L, DING J, LIU W Q. Effect of structural parameters of regenerative cooling channels on hydrocarbon fuel flow distribution[J]. Journal of National University of Defense Technology,2022,44(4):151-157.(in Chinese)
胡江玉, 王宁, 周进, 等. 高温燃气与不同构型的再生冷却面板对流传热的数值模拟[J]. 国防科技大学学报,2021,43(5):46-52. HU J Y, WANG N, ZHOU J,et al. Numerical simulation on convective heat transfer between high-temperature gas and regenerative cooling panels of different configurations[J]. Journal of National University of Defense Technology,2021,43(5):46-52.(in Chinese)
刘志琦. 超燃冲压发动机主动冷却通道内的超临界流动与传热过程数值模拟[D]. 长沙: 国防科学技术大学,2015. LIU Z Q. Numerical simulation of flow and heat transfer in cooling channels of active cooled scramjet engines[D]. Changsha: National University of Defense Technology,2015.(in Chinese)
LIANG J H, LIU Z Q, PAN Y. Flight acceleration effect on heat transfer deterioration of actively cooled scramjet engines[J]. Journal of Thermophysics and Heat Transfer,2016,30(2):279-287.
李昊炜, 林国伟, 冯炜峻, 等. 超燃冲压发动机碳氢燃料流动传热特性与再生冷却技术综述[J]. 空天技术,2022(6):57-66. LI H W, LIN G W, FENG W J,et al. Review of flow and heat transfer characteristics of hydrocarbon fuels and progress in regenerative cooling technology in hydrocarbon-fueled scramjet[J]. Aerospace Technology,2022(6):57-66.(in Chinese)
于文力. 碳氢燃料管内裂解强化换热机理及其影响机制研究[D]. 哈尔滨: 哈尔滨工业大学,2022. YU W L. Study on the mechanism and influences of heat transfer enhancement with hydrocarbon fuel pyrolysis[D]. Harbin: Harbin Institute of Technology,2022.(in Chinese)
韩之雄. 冷却通道内航空煤油氧化结焦沉积特性及其对换热影响[D]. 哈尔滨: 哈尔滨工业大学,2022. HAN Z X. Deposition characteristics of thermal oxidation deposition of kerosene and the effects on heat transfer in cooling channels[D]. Harbin: Harbin Institute of Technology,2022.(in Chinese)
TANG G L, SHI H, WU Y X,et al. A variable turbulent Prandtl number model for simulating supercritical pressure CO2 heat transfer[J]. International Journal of Heat and Mass Transfer,2016,102:1082-1092.
CARLÈS P. A brief review of the thermophysical properties of supercritical fluids[J]. The Journal of Supercritical Fluids,2010,53(1/2/3):2-11.
GESSNER F B, JONES J B. On some aspects of fully-developed turbulent flow in rectangular channels[J]. Journal of Fluid Mechanics,1965,23(4):689-713.
KIM J K, JEON H K, LEE J S. Wall temperature measurement and heat transfer correlation of turbulent supercritical carbon dioxide flow in vertical circular/non-circular tubes[J]. Nuclear Engineering and Design,2007,237(15/16/17):1795-1802.
KIM J K, JEON H K, LEE J S. Wall temperature measurements with turbulent flow in heated vertical circular/non-circular channels of supercritical pressure carbon-dioxide[J]. International Journal of Heat and Mass Transfer,2007,50(23/24):4908-4911.
PIROZZOLI S, MODESTI D, ORLANDI P,et al. Turbulence and secondary motions in square duct flow[J]. Journal of Fluid Mechanics,2018,840:631-655.
VINUESA R, SCHLATTER P, NAGIB H M. On minimum aspect ratio for duct flow facilities and the role of side walls in generating secondary flows[J]. Journal of Turbulence,2015,16(6):588-606.
LV L L, WEN J, FU Y C,et al. Numerical investigation on convective heat transfer of supercritical aviation kerosene in a horizontal tube under hyper gravity conditions[J]. Aerospace Science and Technology,2020,105:105962.