摘要
助推滑翔导弹是一种精确制导武器,面临复杂多变的飞行条件,对制导律的设计提出了较高要求。建立导弹飞行状态变化模型,采用最优控制方法推导出带弹着角约束的改进最优制导律,并引入纵向制导系数和侧向制导系数,分析了单个制导系数变化对制导精度的影响并确定了制导系数选取方法。针对不同飞行任务的要求,分析了固定弹着角约束和动态弹着角约束对制导精度的影响。以自行研制的小型固体助推滑翔试验飞行器为对象,完成了导弹飞行的数值仿真和半实物仿真,仿真结果表明,所提出的改进最优制导律较为合理,具有较高的制导精度。
Abstract
The boost-glide missile is a kind of precision guided weapons, which flies in complex and changeable flight conditions with high requirements for the guidance law. The flight state variation model of the missile was established, the improved optimal guidance law with the impact angle constraint was derived by the optimal control method, and the longitudinal guidance coefficients and lateral guidance coefficients were introduced into the guidance law. The influence of single guidance coefficient on guidance precision was analyzed and the selection method of guidance coefficients was determined. The influence of fixed impact angle constraint and dynamic impact angle constraint on guidance precision were analyzed according to the requirements of different flight missions. The numerical simulation and the hardware-in-the-loop simulation were finished with a small solid propellant boost-glide test vehicle. Simulated results show that the improved optimal guidance law is reasonable with high guidance precision.
导弹是现代战争中必不可少的精确制导武器,具有多种类型和型号。助推滑翔导弹可以在大气层内进行滑翔,不断调整自身姿态和轨迹,完成特定的飞行任务[1],是当前的研究热点。助推滑翔导弹具有速度快、射程远、命中精度高等诸多优点,大机动飞行时具有强非线性[2],对制导律的设计与应用提出了更高的要求。导弹飞行时需要根据自身和目标的信息快速计算得到制导指令,根据制导指令可以计算得到控制指令,从而控制飞行的姿态和轨迹,对误差不断进行修正,直到命中目标,完成飞行任务。针对助推滑翔导弹的特点,设计合理的制导律和控制律,以满足任务要求。
制导控制系统是助推滑翔导弹完成飞行任务的基础[3-6],也是专家学者研究较多的领域。常见的制导方法有比例导引、三点法、滑模控制制导[7]等,控制方法有自适应控制[8-9]、容错控制[10]、控制分配[11]、反步控制[12]、自抗扰控制[13]等。进行工作可靠、鲁棒性强的制导律和控制律设计是目前研究的重点。然而,当前的一些前沿进展大多算法较为复杂,可靠性不足,工程应用效果还需要进一步提高[14]。
本文分析了助推滑翔导弹飞行状态变化过程和制导律设计与验证流程[15],提出了改进最优制导律。以国防科技大学自行研制的“天星一号”小型固体助推滑翔试验飞行器为研究对象,采用六自由度非线性模型进行了数值仿真和半实物仿真验证,仿真结果具有较高的可信度和工程应用价值,提出的制导律设计方法可以为相近类型的助推滑翔导弹制导律设计提供参考。
1 改进最优制导律设计
制导系统设计的架构主要包括导弹模型、目标模型、导引头模型、制导模型和控制模型等,用于模拟导弹与目标的空间运动,导引头信息、制导律与控制律等信息。控制模型采用经典的比例积分微分(proportional integral derivative,PID)控制,导弹模型及相关的坐标系见文献[16]。制导系统架构中的制导模型及制导律设计为本文主要研究内容,通过设计的制导律进行制导计算产生制导指令,在制导指令作用下控制导弹精确命中目标。制导系统的基本架构如图1所示,详细的运动学模型及公式推导见文献[17]。

图1制导系统架构
Fig.1Guidance system architecture
1.1 目标模型
在进行制导律设计时,需要建立目标的速度模型和加速度模型。
(1)
其中,[xT,yT,zT]T、[VTx,VTy,VTz]T和[aTx,aTy,aTz]T分别是目标位置、速度以及加速度在发射系三轴的投影。一般认为目标静止或匀速运动,在此认为目标为静止的固定点。
1.2 导引头模型
一般采用导引头测量目标视线角和视线角速率,因此建立导引头模型模拟测量信息。导弹与目标在发射系的相对位置示意图如图2所示,以导弹发射时刻的质心为原点建立发射系,M表示导弹的质心,T表示目标的质心,T′表示目标质心T在与xoz面平行且包含导弹质心M的平面内的投影。

图2导弹与目标在发射系的相对位置示意图
Fig.2Schematic diagram of the relative position for the missile and the target in launch coordinate system
导弹与目标的相对位置矢量和导弹与目标的相对速度矢量为
(2)
其中,[x,y,z]T、[Vx,Vy,Vz]T分别是导弹在空间中的位置和速度在发射系三轴的投影,[xrel,yrel,zrel]T、[Vrelx,Vrely,Vrelz]T分别是导弹与目标相对位置和相对速度在发射系三轴的投影。
导引头可以为制导系统提供的信息为
(3)
其中,中各变量分别是高低方向的目标视线角、水平方向的目标视线角、导弹与目标的相对距离大小(简称弹目距离)、高低方向的目标视线角速率、水平方向的目标视线角速率、导弹与目标的相对距离大小变化率。
1.3 制导模型
采用寻的制导方法进行制导律设计,寻的制导根据导航设备和导引头提供的导弹和目标的状态信息,实时计算得到制导指令,传送给姿态控制系统执行,控制导弹飞行的姿态和轨迹。将纵向制导律和侧向制导律分开设计,以纵向制导律设计为例进行分析,侧向制导律设计方法同纵向制导律。导弹和目标在发射系纵向平面内的示意图如图3所示。
在某一时刻,目标位于T点,导弹位于M点,连线称为视线。选取发射系内的ox轴作为基准线,导弹与目标的相对运动方程可以采用定义在发射系纵向平面内的极坐标参数Rmod、qMT的变化规律来描述,图3中参数的定义如下:
Rmod为导弹相对目标的距离在纵向平面内投影的大小,导弹命中目标时Rmod=0。
qMT为纵向平面内视线与基准线之间的夹角,称为视线高低角(简称视线角),定义从基准线逆时针转到视线为正。
θ、θT分别为纵向平面内导弹、目标速度矢量与基准线之间夹角,称为导弹速度倾角和目标速度倾角。分别以导弹、目标所在位置为原点,由基准线逆时针旋转到各自速度矢量上为正。

图3导弹与目标在发射系纵向平面相对位置示意图
Fig.3Relative position of the missile and the target in the longitudinal plane of launch coordinate system
η、ηT分别为纵向平面内导弹、目标速度矢量与视线之间夹角,分别称为导弹速度矢量前置角和目标速度矢量前置角。分别以导弹、目标为原点,从各自的速度矢量逆时针旋转到视线上为正。
需要建立导弹目标相对运动方程来分析导弹与目标之间的相对运动规律,从而为制导律设计奠定基础。将导弹速度矢量在发射系纵向平面内的投影V和目标速度矢量在发射系纵向平面内的投影VT分别沿视线方向和垂直于视线方向分解,沿视线方向的分量Vcosη指向目标使Rmod减小,而垂直于视线方向的分量VTcosηT使Rmod增大,有
(4)
沿视线法向分量Vsinη使视线绕目标所在位置为原点逆时针旋转,使视线角qMT增大。而沿视线方向分量VTsinηT使视线绕导弹所在位置为原点顺时针旋转,使视线角qMT减小,则有
(5)
同时考虑角度间的几何关系,以及导引关系方程,得到相对运动方程为
(6)
其中,ε1=f(qMT,θ,θT,η,ηT,Rmod,V,VT)为描述导弹和目标之间运动状态关系的表达式,ε1=0为导引关系方程,通过导引关系方程可以推导出制导律。
1.4 改进线性二次型最优制导律设计
导弹对目标进行打击时,有的飞行任务为了保证打击效果,还会对终端制导点的弹着角进行约束,因此利用线性二次型推导得到带弹着角约束的制导律。当目标为固定点时,速度和加速度都为0,表示导弹和目标相对运动的极坐标方程为
(7)
(8)
对式(8)进行微分,有
(9)
将式(7)和式(8)代入式(9),有
(10)
导弹在末段飞行时,假定。令并代入式(10),有
(11)
令。θf为终端制导点弹着角。令θf=θ(tf)并代入式(11),有
(12)
写为状态空间表达式,有
(13)
即
(14)
其中,。
对于助推滑翔导弹飞行的初始条件:在t=t0时,。
终端条件:在t=tf时,x1(tf)=0,x2(tf)=0。
选择二次型指标,即
(15)
其中,。
令R=1,Q=0,根据线性二次型优化理论,最优控制表达式为
(16)
其中,P是逆黎卡提微分方程的解,则
(17)
可以得到
(18)
则
(19)
因此
(20)
即
(21)
在进行公式推导时,假定。对于低速且速度变化相对剧烈的导弹,实际飞行状态会与假设条件有差异,为了便于制导律的工程应用,将制导律添加制导系数Ky1、Ky2、Ky3,即
(22)
则纵向平面的改进最优制导律为
(23)
其中:Ky1、Ky2、Ky3为纵向平面制导系数,为常数;为速度倾角变化率指令;θf为纵向平面期望的弹着角。
同理,得到侧向平面的改进最优制导律为
(24)
其中:Kz1、Kz2、Kz3为侧向平面制导系数,为常数;为航迹偏航角变化率指令;σf为侧向平面期望的弹着角。
在纵向平面中,带有终端制导点弹着角约束的助推滑翔导弹改进最优制导律表达式为,其中可以看作比例导引项,为弹着角约束项,Ky1为纵向协调系数。实际的速度倾角变化率计算公式为(Vabs为导弹速度大小),由此可以得到需要的导弹法向过载为。若制导飞行过程中无动力,则法向过载全部由气动力提供,即(q为动压,Sm为导弹参考面积,m为导弹质量,g为重力加速度),,此时由升力系数cy和升力系数对攻角的偏导数,可以反求出需要的攻角αc。
在侧向平面中,带有终端制导点弹着角约束的助推滑翔导弹改进最优制导律表达式为,其中可以看作比例导引项,为落角约束项,Kz1为侧向协调系数。实际的航迹偏航角变化率计算公式为,由此可以得到导弹需要的侧向过载为。若制导飞行过程中无动力,则侧向过载全部由气动力提供,即,此时由侧向力系数cz和侧向力系数对侧滑角的偏导数,可以反求出需要的侧滑角βc。
滚转通道进行稳定控制,指令姿态角为0,则得到三通道需要的指令姿态角为
(25)
其中,θ为导弹的速度倾角,σ为导弹的航迹偏航角,φc为需要的导弹俯仰角,ψc为需要的导弹偏航角,γc为需要的导弹滚转角。把φc、ψc、γc作为导弹姿态控制系统的指令姿态角。
将制导计算得到的指令姿态角传送给姿态控制系统,采用经典的PID控制,则可以进行姿态稳定回路的控制,完成飞行任务。
2 仿真验证
以国防科技大学自行研制的“天星一号”小型固体助推滑翔试验飞行器为被控对象,需要设计其制导律,结合经典的PID控制确保精确命中某空中目标。导弹从地面倾斜发射,在固体发动机推动下,具有一定的速度,之后滑翔机动,完成飞行任务。根据导弹飞行状态变化规律,建立六自由度非线性仿真模型,当导弹达到目标点高度或者命中目标时,仿真终止。仿真初始条件设置如表1所示,目标点为空中固定点。
表1导弹和目标参数
Tab.1 Parameters of missile and target

2.1 飞行弹道设计
在目标点确定后,需要设计飞行弹道,之后通过调试选定一组合理的制导系数,从而控制导弹精确命中目标。导弹无控飞行时的射程有限,难以精确命中目标,因此需要设计一条滑翔弹道,增大飞行距离,精确命中目标。
为了更好地发挥制导系统的作用,导弹前期飞行时需跟踪标准弹道,在纵向平面内进行滑翔,抑制侧向平面内的运动。在导弹和目标的距离小于1 000 m时按照设计的改进最优制导律进行飞行。
当导弹接近目标点时,目标视线角的变化率会很大,产生的制导指令会导致攻角、侧滑角和姿态角变化很大,为了减小姿态角的跃变,便于姿态稳定回路的控制,在弹目距离小于50 m时,制导指令不再更新,按照上一时刻的导引指令进行制导,直到仿真终止。
在设计标准弹道时,导弹按照正弦变化的攻角曲线滑翔运动,可以得到对应的指令俯仰角曲线,指令偏航角和指令滚转角都为零。设计的指令俯仰角曲线如图4所示,对应的纵向平面内标准飞行弹道如图5所示,理论上侧向位移为零。

图4设计的指令俯仰角曲线
Fig.4Variation curve of command pitch angle

图5设计的标准飞行弹道
Fig.5Designed standard flight trajectory
2.2 制导系数选取分析
导弹的六自由度模型是非线性的,各个通道之间会相互耦合,需要选定合适的制导系数,从而达到完成飞行任务所需要的制导精度。对于本文研究的被控对象和飞行任务,综合考虑制导精度和导弹动态特性,选择的导弹纵向制导系数和侧向制导系数分别为Ky1=3、Ky2=5、Ky3=3、Kz1=4、Kz2=4、Kz3=3,制导精度为0.617 4 m。以选择的制导系数作为标准值,当无固定弹着角约束时,探索制导精度随制导系数的变化规律。当其他系数不变时,制导精度随单个系数Ki的变化如图6和图7所示,图中Ep表示制导精度,Ksel表示选定的标准系数,Kco表示在给定取值范围内将每个制导系数中精度最高的值组合在一起的一组制导参数Ky1=4、Ky2=7、Ky3=5、Kz1=6、Kz2=8、Kz3=9,制导精度为1.223 9 m。
由图6和图7可以看到,在设计的制导律合理的情况下,制导系统对偏差具有调节能力,选择的制导系数在一定的区间内都可以精确命中目标。由于导弹主要在纵向平面内机动,抑制侧向机动,纵向的位移较大,侧向的位移较小,因此改变纵向制导系数对制导精度影响相对较大,改变侧向制导系数对制导精度影响相对较小。单独改变一个制导系数时,制导精度随制导系数变化近似于二次函数曲线,若选取了合适的制导系数,则制导精度较高,制导系数偏大或者偏小都会导致制导精度降低。在给定取值范围内的6个制导系数中,将单一制导系数最优的值组合在一起,制导精度并非是最优值。可以通过相同的方法确定制导精度随2个系数和多个系数变化的关系,根据飞行任务具体要求,选择合理的制导系数。

图6制导精度随纵向制导系数变化曲线
Fig.6Variation curves of guidance precision with longitudinal guidance coefficients

图7制导精度随侧向制导系数变化曲线
Fig.7Variation curves of guidance precision with lateral guidance coefficients
2.3 数值仿真验证
导弹在飞行时,前期采用方案弹道制导,跟随标准弹道完成滑翔动作,增大射程,为末制导精确命中目标提供支撑。在弹目距离小于1 000 m时,从方案弹道制导切换为改进最优制导律制导,确保导弹可以精确命中目标。
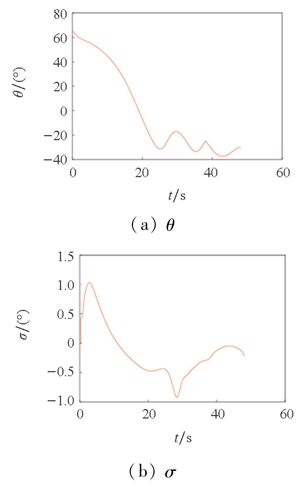
当飞行任务只对制导精度有要求时,为了提高制导精度,放宽对终端制导点弹着角的约束条件。将固定的弹着角约束转变为动态的实时速度倾角和航迹偏航角,对视线角的变化率进行导引,提高制导精度。
令θf=θ,σf=σ,得到
(26)
采用设计的改进最优制导律和经典的PID控制,将选择的制导系数代入导弹六自由度模型进行仿真,仿真结果如图8~12所示。

图8弹目距离和发射系内导弹位置变化曲线
Fig.8Variation curves of relative distance and position for the missile in launch coordinate system

图9速度变化曲线
Fig.9Variation curves of velocities

图10过载变化曲线
Fig.10Variation curves of overload

图11速度倾角和航迹偏航角变化曲线
Fig.11Variation curves of flight path angle and trajectory deflection angle

图12三维制导轨迹图
Fig.12Three-dimensional guidance trajectory diagram
经过仿真计算,在导弹到达目标点高度时,弹目距离为0.617 4 m,偏差在1 m以内,满足飞行任务要求。导弹全程以亚声速飞行,侧向速度和侧向位移较小,较好地抑制了侧向机动。飞行中无过载约束,在发动机工作时轴向过载较大,在滑翔机动和进入末制导飞行时,法向过载较大,其他时间段内三通道过载都比较小,在导弹的许用过载范围内。速度倾角和航迹偏航角变化平稳,控制导弹在三维空间中精确命中了目标。
为了评估改进的带弹着角约束的最优制导律性能,将仿真结果与经典最优制导律和经典比例导引律进行对比。带弹着角约束的经典最优制导律的表达式为
(27)
为了便于对比,将比例导引系数设为4,则经典比例导引律的表达式为
(28)
根据小型固体助推滑翔试验飞行器所用器件的特性,采用随机正态分布拉偏组合,将各个参数的偏移按照正态分布随机组合,进行500次蒙特卡罗打靶仿真,拉偏参数的取值范围如表2所示。分别采用三种制导律进行仿真,经过500次打靶仿真后的导弹脱靶量均值,其命中精度对比如表3所示。
表2拉偏参数
Tab.2 Range of bias parameters

表3三种制导律命中精度对比
Tab.3 Comparison of guidance precision for the three guidance laws

若采用改进的最优制导律,在导弹到达目标点高度时,弹目距离平均值为0.976 8 m,精度较高。若采用经典最优制导律,在导弹到达目标点高度时,弹目距离平均值为42.377 8 m,偏差较大,命中精度相对改进的最优制导律较差。若采用经典比例导引律,在导弹到达目标点高度时,弹目距离平均值为52.346 2 m,偏差较大,命中精度相对经典最优制导律和改进的最优制导律较差。
改进的最优制导律可以根据被控对象特性,灵活调整制导律系数,适用于不同的被控对象和飞行任务,命中精度得到了较大提升。
采用改进最优制导律进行蒙特卡罗打靶仿真,得到的导弹落点分布情况如图13所示,其中无偏落点表示基于导弹标准飞行参数的飞行轨迹落点,拉偏落点表示基于拉偏后飞行参数的轨迹落点。经过测试,在导弹到达目标点高度时,x方向偏差在4 m以内,z方向偏差在1.5 m以内,满足飞行任务要求。

图13导弹落点分布
Fig.13Impact points of the missile
当飞行任务对制导精度和终端制导点弹着角有固定值要求时,令θf和σf等于固定值,可以控制速度倾角和航迹偏航角收敛到给定的约束值。
设定终端速度倾角的约束值θf=-45°,航迹偏航角的约束值σf=0°,仿真结果如图14所示,最终的落点偏差为3.636 8 m,速度倾角为-44.447 8°,航迹偏航角为-0.269 5°。由图14可知,最终制导点的速度倾角和航迹偏航角收敛到了给定值,偏差较小。由于同时考虑制导精度和固定的弹着角约束,限制条件比较多,落点相对于无固定值弹着角约束的工况偏差更大。对于不同的飞行任务,可以根据要求综合考虑制导精度和弹着角约束来选择制导律和制导系数,满足飞行任务的具体要求。

图14采用固定弹着角时的速度倾角和航迹偏航角变化曲线
Fig.14Variation curves of flight path angle and trajectory deflection angle with fixed impact angle
2.4 半实物仿真验证
为了对设计的改进最优制导律进行进一步验证,采用实时仿真机、飞控计算机、舵系统、地面站等硬件设备进行仿真测试,按照图15所示的原理图完成半实物仿真实验。
在实时仿真机内搭建导弹六自由度模型,模拟产生导弹飞行状态数据并发送给飞控计算机。飞控计算机根据制导解算产生的指令姿态角,利用PID控制产生舵偏角指令,将舵偏角指令发送给舵系统控制舵机偏转,并接收反馈回的实际舵偏角数据。飞控计算机将舵偏角反馈值传送给实时仿真机进行飞行状态解算,并将解算结果发送给地面站进行实时数据处理和图形化显示。以实时仿真机中基于舵系统反馈数据解算的导弹位置数据为参考值,与飞控计算机中的导弹半实物仿真位置数据做对比,检验制导算法解算的实时性和抵抗扰动的能力,分析导弹是否可以采用设计的制导律精确命中目标。
给定的飞行任务对制导精度要求较高,对弹着角无要求,为了提高制导精度,采用动态弹着角约束方案。将无固定弹着角约束的飞行弹道进行半实物仿真实验,结果如图16所示。以实时仿真机自行闭环解算得到的仿真结果作为参考值,分析半实物仿真实验的制导精度。

图15半实物仿真实验原理图
Fig.15Schematic diagram of the experiment
由图16可以看到导弹飞行轨迹变化平稳,完成了滑翔动作和制导动作。实时仿真机中基于舵系统反馈数据解算的导弹位置数据与飞控计算机中的导弹半实物仿真位置数据接近,表明半实物仿真数据传输正常,制导精度较高。经过半实物仿真实验测试,飞控计算机中得到的导弹落点位置为[3 700.759 5 m,494.052 2 m,0.014 6 m],可以认为精确命中目标。因此,设计的制导律和选择的制导系数比较合理,在线解算的实时性较好,抵抗扰动的能力较强。

图16导弹位置曲线的仿真值与实验值对比
Fig.16Comparison curves of position between simulated values and experimental values
3 结论
本文针对助推滑翔导弹精确制导问题,分析了导弹飞行过程中的状态变化过程,建立了数学物理模型,提出了带弹着角约束的改进最优制导律。把弹着角约束和制导系数引入最优制导律,可以根据导弹具体飞行任务进行系数的调节,适用范围较广。以国防科技大学自行研制的“天星一号”小型固体助推滑翔试验飞行器为对象进行了数值仿真验证和半实物仿真验证,结果表明设计的制导律在打击固定目标时制导精度较高。
本文重点分析检验了设计的改进最优制导律打击空中固定目标的制导精度,对于提高弹着角精度和制导系数的选取还需要进一步研究。未来可以采用优化算法和理论分析方法确定制导系数,兼顾制导精度和弹着角精度。扩大制导律的适用范围,评估打击移动目标的效果。