摘要
为了保证水下设备的长期稳定通信,提出了一种基于改进的快速边缘似然最大化的稀疏贝叶斯学习(sparse Bayesian learning based on improved fast marginal likelihood maximization, IFM-SBL)算法,对水声信道进行低复杂度、高性能的估计。特别是在低信噪比情况下,通过阈值去噪和离散傅里叶变换降噪,可以进一步提升算法的性能。仿真和海试结果表明,所提的IFM-SBL信道估计后的输出误码率与基于期望最大化的稀疏贝叶斯学习(sparse Bayesian learning based on expectation maximization, EM-SBL)算法相似,且验证了算法在低信噪比和快慢时变信道中都具有良好的鲁棒性。在运行速度方面,FM-SBL算法与IFM-SBL算法比EM-SBL算法提高了约90%,大大减少了信道估计时间。
Abstract
In order to guarantee the long-term stable communication of underwater devices, the IFM-SBL(sparse Bayesian learning based on improved fast marginal likelihood maximization) algorithm was proposed to estimate underwater acoustic channels with low complexity and high performance. Especially in the case of low SNR(signal-to-noise ratio), the performance of proposed algorithm can be further improved by threshold denoising and discrete Fourier transform denoising. Simulation and sea trial results show the output bite error rate after channel estimation of IFM-SBL is similar to that of EM-SBL(sparse Bayesian learning based on expectation maximization), and it has good robustness in both low SNR and fast or slow time-varying channels. The running speed of FM-SBL and IFM-SBL algorithm is 90% better than that of EM-SBL algorithm, which greatly reduces the estimation time.
正交频分复用(orthogonal frequency division multiplexing,OFDM)作为一种多载波调制技术,在水声(underwater acoustic,UWA)通信中具有广泛的应用[1]。OFDM频段利用率高,对符号干扰和子载波干扰敏感,因此,进行高效且准确的信道估计是非常重要的。
基于最小二乘法(least square,LS)的信道估计由于计算量小而被广泛应用于硬件设备中,但是LS的信道估计增强了噪声,在深度衰落和低信噪比(signal-to-noise ratio,SNR)时情况更糟[2]。近年来,随着UWA信道稀疏性的开发,压缩感知(compress sensing,CS)算法作为一种常用的信道估计方法得到了研究和应用。匹配追踪(matching pursuit,MP)算法对稀疏信道抽头进行逐个估计,实现了更好的信道估计性能,但由于字典矩阵中列数太大,该算法在字典阵中匹配最佳一列的次数过多,算法的计算复杂度高。而且MP算法不断迭代残差的特性使得该算法一般得不到最优解而是次优解[3]。正交匹配追踪(orthogonal matching pursuit,OMP)算法能够有效避免MP算法寻不到最优解的问题,但是需提前假设信道的稀疏度,因此不能有效地应用到实际场合[4]。
近年来,基于稀疏贝叶斯学习的信道估计方案在水声通信领域得到越来越多的关注[5-6]。文献[7]研究了基于稀疏贝叶斯学习框架的信道估计,该算法在稀疏域进行,可有效防止收敛误差,从而获得更准确的信道估计性能。但是,由于该算法基于期望最大化迭代算法,而且矩阵求逆的复杂度较高,因此需要消耗很长时间迭代来获得更好的性能[8]。特别是,基于期望最大化的稀疏贝叶斯学习(sparse Bayesian learning based on expectation maximization,EM-SBL)算法在信噪比低的情况下,由于需要估计信道的抽头增多,计算复杂度进一步加大。而在OFDM水声通信中,一帧数据有多个OFDM符号块需要估计,完全无法满足水下通信低复杂度和低功耗的实际应用。因此,需要获得一种计算精度较高、复杂度较低的算法,以保证长时间水下通信应用。
在OFDM通信中,每帧信号包含多个OFDM块。每个模块都需要单独估计和译码。循环前缀位于块的前面,以防止符号干扰。导频以相等的间隔插入每个OFDM块中。由于OFDM的频段利用率高和通信效率快,块之间的时间间隔非常短。为了充分节省OFDM通信的时间,保持接收正常,要求硬件在接收信号块的时间内同步完成上一个信号块的信道估计、解码算法等一系列处理操作。否则,如果处理时间超过接收信号块的时间,将导致信号的不断累积,不仅占用芯片内存,而且不能保证OFDM通信的时效性,浪费OFDM通信高速传输的优势。由于OFDM采用低密度奇偶校验码(low-density parity-check code,LDPC)编译码,为了提高译码的正确率,译码算法一般需要多次迭代,从而占用了大部分时间[9]。在以往的应用中,为了给译码算法留出足够的时间,往往采用估计性能较低的LS算法进行信道估计,无法兼备高性能和低复杂度。
为了获得计算精度较高、复杂度较低的信道估计算法,保证水下设备的大规模长期通信能力,基于快速边缘似然最大化[10](fast margin likelihood maximization,FMLM)和Woodbury分解[11]提出快速边缘似然最大化的稀疏贝叶斯学习(sparse Bayesian learning based on fast margin likelihood maximization,FM-SBL)算法。该算法较EM-SBL算法虽然提高了估计的速率,但是精度不足,并且算法在低信噪比下容易将噪声误认为是信道抽头系数而导致估计性能下降。针对以上问题,本文通过阈值去噪和离散傅里叶变换(discrete Fourier transform,DFT)降噪,提出基于改进的快速边缘似然最大化的稀疏贝叶斯学习(sparse Bayesian learning based on improved fast marginal likelihood maximization,IFM-SBL)算法,在保证信道估计性能的同时降低算法复杂度,提高估计速率。
1 系统模型
1.1 OFDM系统
设OFDM系统的子载波数为Nsub,带宽为B,最低子载波频率为fl。子载波频率间隔为Δf=B/Nsub,第nsub个子载波的频率可以表示为
(1)
时域信号x(t)可以表示为

(2)
式中,Re(·)是实数部分,是正交相移键控(quadrature phase shift keying,QPSK)调制后的符号,T=1/Δf表示为OFDM符号的周期。导频等间隔地插入符号内,x(t)在添加循环前缀后,形成一个OFDM块。
假设有M条多径水声信道,一个OFDM块中有N个导频,接收信号的函数表示为
(3)
式中:传输信号X是N×N的对角矩阵,F是傅里叶变换矩阵,它们的乘积记为Φ;表示频域中的信道函数,而H表示时域中的信道脉冲响应;E是服从均值为零和方差为σ2的高斯分布的加性噪声,可以由空载波的平方得到。为了方便说明,下文省略表示矩阵维度的下标。
采用循环前缀自相关方法逐块估计多普勒因子,然后用估计的多普勒因子对接收到的数据进行重新采样。一般认为经过重采样后,大部分的多普勒效应是补偿的,其余的部分则被认为是加性噪声。
1.2 信道模型
将H分为M段,第m段信道hm服从均值为0且方差为γm的高斯分布。当γm足够小时,该信道段的幅度几乎为0,它很有可能是噪声。总体而言,信道相对稀疏,大多数信道段都是噪声。

(4)
H的分布可以如下:

(5)
式中,Γ是信道方差γm组成的对角矩阵,需要求解的参数之一。
2 信道估计算法
2.1 EM-SBL算法
EM-SBL算法基于期望最大化,其中参数使用Ⅱ型最大似然函数求得,并通过求期望和最大化得到不断更新的迭代公式。因为Γ在p(H; Γ)中很难求出,所以最大化后验概率分布函数p(H|Y; Γ)。
经过信道后接收到的导频信号Y服从以下概率密度分布:

(6)
结合贝叶斯方程和高斯常数方程[12],得
(7)
且p(H|Y; Γ)和p(Y; Γ)的分布分别是

(8)
其中式(8)对应的参数为

(9)
EM算法由两个步骤组成,即步骤E求期望和步骤M求取最大值[7],式(10)是EM算法的计算结果。

(10)
将式(9)中的M、Σ代入式(10)得到Γ的迭代式。参数Γ在迭代过程中不断更新,最终趋于稳定。
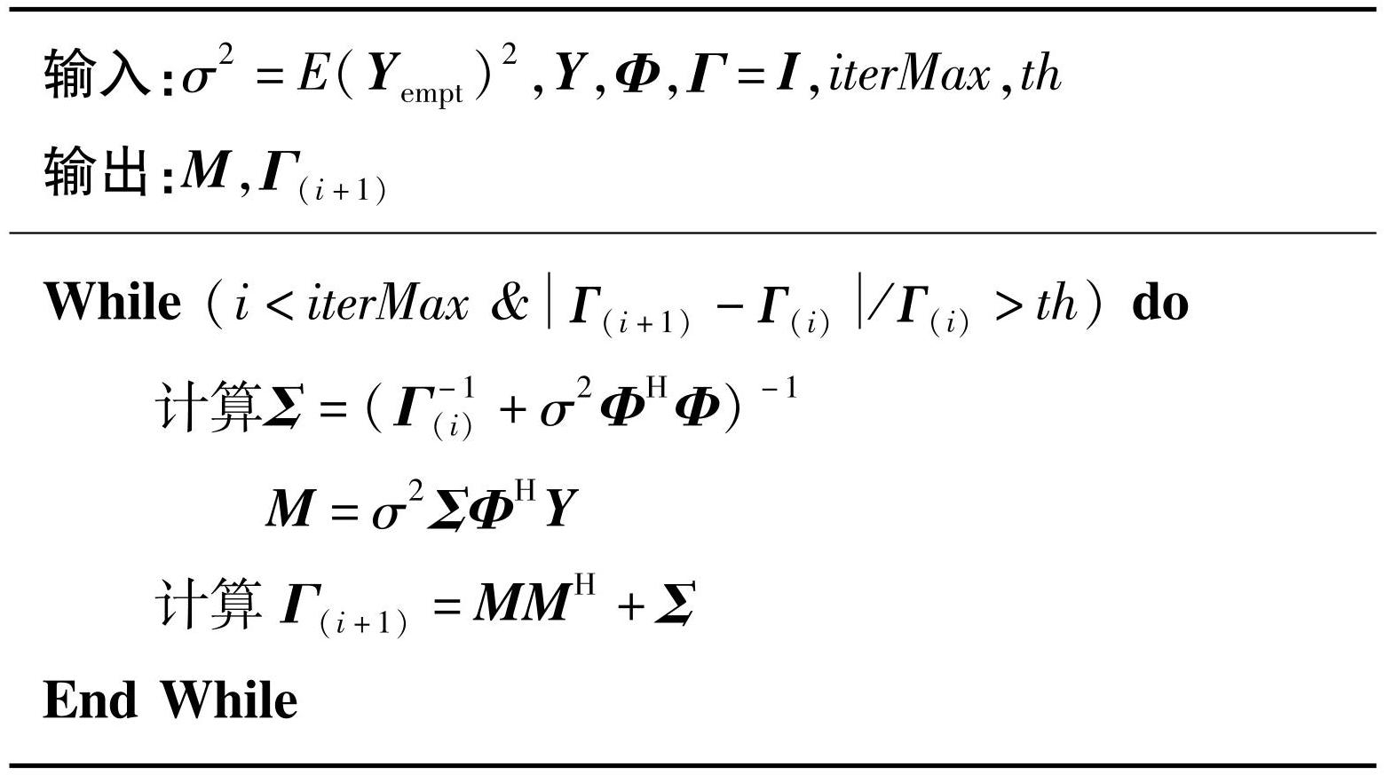
估计的信道。EM-SBL算法的流程如算法1所示。
算法1 EM-SBL 信道估计算法流程
Alg.1 EM-SBL channel estimation algorithm flow
2.2 FM-SBL算法
与EM-SBL算法不同的是,FM-SBL算法用 p(Y)作为代价函数。

(11)
忽略常数项,使用Woodbury分解[11]进一步分析式(9)中的C。由于Γ是对角矩阵,因此重新改写C为

(12)
式中:N×1向量Φi是Φ的第i列;Γii是Γ的第i行第i列,用γi表示;是一个 N×N矩阵。定义两个变量和。下面采用Sherman-Morrison-Woodbury定理求|C|和C-1 [11]。

(13)
根据式(13)的|C|和C-1拆分代价函数得
(14)
其中,剩下的部分表示为,因为不包含γi的信息,因此通过得到γi,然后恢复为对角线矩阵Γ。M和Σ很容易通过式(9)计算得到。
(15)
在实践中的大多数情况下,水声信道在小于信道相干时间的尺度上表现出很强的相关性。因此,为了加快收敛速度,在初始化第二个块Γ时可以使用前一个块的值。FM-SBL算法的流程如算法2所示。
算法2 FM-SBL 信道估计算法流程
Alg.2 FM-SBL channel estimation algorithm flow
2.3 IFM-SBL算法
图1为低信噪比条件下不同算法估计的信道归一化幅度对比结果。可以看出,SBL算法在信噪比低的情况下容易将噪声误认为是信道抽头系数而导致估计性能下降,而且在低信噪比下,信道的抽头增多,计算复杂度加大。FM-SBL算法较EM-SBL算法虽然提高了估计的速率,但是精度不足,信道估计效果不够好。
图1低信噪比条件下信道归一化幅度对比
Fig.1Comparison of channel normalized amplitude at low SNR
针对上述这些问题,提出IFM-SBL算法,在保持算法的低复杂度的同时提高算法在低信噪比下的信道估计性能。具体做了两点改进:首先,整理式(9)得
(16)
由于Φ、Y均已知,则,其中A和B为常数阵。可以看出,与Γ是正相关的。对于将噪声误认为是信道抽头系数而放大的问题,引入Γ的期望作为阈值,对于小于阈值的γi将其置零,大于阈值的则保留。

(17)
对于通过阈值的γi重构的Γ,一般情况下,信号的能量集中在少的抽头中,其非零项K<M,进一步也简化了后面M和Σ的计算量。
其次,消除最大信道时延以外的噪声,从而实现性能的提高。找出信道中最大的信道时延L,定义信道系数:

(18)
然后将信道系数做M点DFT变换到频域:
(19)
对做插值后得,从而得到均衡后的Yest。
(20)
IFM-SBL算法的流程如算法3所示。
算法3 IFM-SBL 信道估计算法流程
Alg.3 IFM-SBL channel estimation algorithm flow
2.4 算法复杂度分析
本小节讨论EM-SBL、FM-SBL和IFM-SBL算法每次迭代的计算复杂度。
对于EM-SBL算法,主要的计算量是估计Σ、 M和更新Γ。其中Σ包括一个矩阵乘法、一个点乘和两个求逆,其复杂度为O(M7N3);M的求解包括两个矩阵相乘和一个点乘,其复杂度为O(M4N2);Γ的复杂度为O(M2)。综上所述,因为M<N,在每次迭代中,EM-SBL算法的复杂度为O(M7N3)。
对于FM-SBL算法,由于采用FMLM优化和Woodbury分解的方法,其计算效率可以大大提高。选择第i列,求解C-i的复杂度为O(MN2)。si和qi的复杂度为O(N3),每次迭代中求解Γ只有4个数相乘,共M个元素,所以其复杂度为 O(4M)。综上,FM-SBL算法在每次While循环中的复杂度为O(N3)。
对于IFM-SBL算法,虽然非零项K<M,但Γ的维度仍为M维,其复杂度与FM-SBL算法相同。同时较FM-SBL算法,其仅需要额外计算E(Γ),并做M次比较,该部分消耗O(M)。
3 实验分析
本节分别通过仿真和海试数据对算法的性能进行论证和分析。通过快速时变信道和慢时变信道仿真算法的鲁棒性;性能评价指标包括误码率(bit error rate,BER)和信道均方误差(mean-square error,MSE)和运行时间等。
3.1 数值仿真与分析
仿真信号每帧包含4个OFDM块,每个OFDM块都有Nsub=256个子载波,其中数据子载波Nd=192和导频子载波N=64,编码方式为LDPC编码,码率为1/2,调制方式为QPSK调制。采样频率fs=12 kHz,插入的导频间隔为4,上变频后的中心频率fc=2.25 kHz,带宽B=6 kHz。
定义第k帧数据中第l个块和第l+1个块之间的延迟偏移为
(21)
仿真OFDM水声信道分别在慢时变信道和快速时变信道上模拟海洋信道的主要特征,验证算法的鲁棒性。对于快速时变信道,延迟偏移为[0.1 ms,0.5 ms],增益幅度变化为[0.5,1.5];对于慢速时变信道,延迟偏移在[0 ms,0.1 ms]中随机选择,增益幅度变化范围 [0.8,1.2]。
仿真算法包括OMP、EM-SBL、FM-SBL和IFM-SBL。性能评估指标有误码率、信道均方误差以及CPU所耗时间随信噪比和导频数量N变化的仿真结果。其中,仿真电脑CPU型号为Intel i7-8750H,RAM为16 GB,运行时间由同一软件的tic-toc命令获得。
图2展示了在慢时变信道条件下的理论值和几种算法的信道估计曲线,并比较了它们的性能。其中理论值曲线仅受SNR而非多径信道的影响。从图2可以看出,所有算法BER和信道MSE都随着SNR的增加而不断降低。其中,SBL算法信道效果都优于OMP算法。在SBL算法中,IFM-SBL算法与EM-SBL算法性能最优,接近理论值;由于EM-SBL算法采用基于期望最大化的迭代算法,因此信道估计结果优于FM-SBL算法。
图2慢时变信道下的仿真性能比较
Fig.2Simulation performance comparison in slow time-varying channel
图3中在快速时变信道的仿真性能总体趋势与图2相似。图3和图2的对比表明,在快速时变信道下,整体算法估计的BER和MSE性能低于慢时变信道,但是SBL算法的性能仍然优于OMP算法。SBL算法中,IFM-SBL算法与EM-SBL算法仍然是性能最好的。通过慢时变和快速时变信道进一步验证了算法的有效性和鲁棒性。
图3快速时变信道下的仿真性能比较
Fig.3Simulation performance comparison in fast time-varying channel
图4给出了仿真算法耗时与SNR和导频数量的变化关系。结果显示,FM-SBL与IFM-SBL算法均具有非常高的运算效率。在相同条件设置下,EM-SBL的平均结果为1.27 s,而IFM-SBL仅为0.15 s,FM-SBL仅为0.13 s。在相同的SNR条件下, IFM-SBL的计算速度是EM-SBL算法的8.5倍,FM-SBL算法的计算速度是EM-SBL算法的近乎10倍。其次,通过横向对比发现,信道估计所需的时间消耗对信噪比的变化不敏感。随着信噪比的增加或降低,时间消耗基本平稳,总体变化不大。而随着导频数的增加,算法的时间消耗显著增加。进一步发现,一般导频数量占据OFDM子载波数的20%左右,导频数越多,FM-SBL算法的时间优势越明显,这体现了该算法在大规模OFDM UWA通信应用中的优越性。
图4算法耗时与SNR和导频数量变化仿真结果
Fig.4Simulation results of algorithm time consumption varying with SNR and the number of pilots
3.2 海试数据实验和分析
海试数据采集于2021年11月24日的青岛附近海域,水深16.7 m。发射点和接收换能器固定深度均为5 m。发射器和接收器点相隔 3~5海里并逐渐远离。当日海风3~4级,波高1~1.5 m。海试数据每帧8 个 OFDM 块,帧间传输间隔为1 s。信道在每帧中逐块估计。海试OFDM系统的参数设置与仿真参数不同,部分参数如表1所示。
表1OFDM UWA通信系统参数
Tab.1 Parameters of OFDM UWA communication system
海试实验给出了该算法的信道脉冲响应(channel impulse response,CIR)、信道延迟偏移、误码率等评估指标。根据每帧信号在延迟和增益方面的不同性能,判断该信道是快速还是慢速时变信道。
图5显示了不同算法估计的信道脉冲响应。各算法估计的信道脉冲响应表现出相对稀疏的特征,从0到8 ms基本存在多个稳定且明显的多径,9 ms后多径能量较弱,几乎趋于零。
图5不同算法的归一化信道脉冲响应性能比较
Fig.5Performance of normalized CIR of different algorithms
算得7帧延迟偏移的计算结果,如图6所示。从图6中可以看出,在海试数据的第4帧中,块之间的信道延迟偏移最大,超过0.4 ms。第2帧和第7帧中的信道延迟偏移次之,其余帧的延迟偏移相对较小。可以总结为第2、4、7帧的信道为快速时变信道,而其他帧的数据可以推断为慢时变信道。
图7是对青岛海试的7帧数据采用4种算法的输出误码率性能比较。分析可以得知无论在快速时变还是慢时变信道,IFM-SBL都能达到EM-SBL算法的效果,输出误码率较OMP和FM-SBL更低,且鲁棒性较高。
图6连续7帧延迟偏移
Fig.6Delay offsets of continuous 7 frames
图74种算法对连续7帧海试数据的误码率
Fig.7BER of continuous 7 frames sea trial data of 4 algorithms
4 结论
本文讨论了信道估计的性能和效率,提出了一种用于水下通信信道估计的改进的快速稀疏贝叶斯学习算法IFM-SBL。与EM-SBL算法相比,FM-SBL算法与IFM-SBL算法提高了约90%的运行效率。同时,IFM-SBL算法信道估计性能与EM-SBL相似,高于OMP算法,在时变信道估计方面具有良好的性能和较强的鲁棒性。此外,该算法计算复杂度低,仿真实验验证了算法可以极大节省运行时间,在水声通信领域具备一定的应用潜力。




