摘要
为实现永磁同步电机电感参数准确、稳定的在线辨识,提出一种基于虚拟电压矢量激励-电流微分响应的在线电感观测方法,该方法无须额外注入测试信号且与转子位置、电阻、永磁磁链解耦。引入虚拟电压矢量定向坐标系的概念,推导并证明了永磁同步电机的d-q轴电感观测可以与d-q同步旋转坐标系的位置角相解耦。在此基础上,讨论了虚拟电压矢量和电流微分信息提取的实现流程,实现了无须任何额外注入信号的非侵入式电感辨识。通过与IEEE标准中离线测试方法进行对比,验证了所提方法的有效性和准确性。
Abstract
To achieve accurate and stable online identification of inductance parameters for PMSM (permanent magnet synchronous motor), an online inductance observation method based on virtual voltage vector excitation and current differential response was proposed, which required no additional test signal injection and was decoupled from rotor position, stator resistance, and permanent magnet flux linkage. By introducing the concept of a virtual voltage vector-oriented coordinate system, it was analytically derived and proven that the d- and q-axis inductances of a PMSM can be observed independently of the angular position in the conventional d-q synchronous reference frame. Building on this, the implementation procedure for extracting virtual voltage vectors and current differential information was discussed in detail, enabling non-intrusive inductance identification without any signal injection. The effectiveness and accuracy of the proposed method were validated by comparison with offline test procedures in IEEE standards.
电机等效电路作为现代永磁同步电机(permanent magnet synchronous motor,PMSM)驱动、检测、故障诊断等技术的基础之一,其模型参数的准确性至关重要。电感是PMSM电气参数中变化较为迅速且明显的,因而大量研究聚焦于实现PMSM电感的离线或在线辨识。
参数辨识方法的准确性依赖标准化测试的检验。被广泛接受的测试方法包括2014年提出并在2023年更新的IEEE-1812—2023永磁电机测试标准[1]。其中列举了多种直-交轴电感(Ld-Lq)的离线测试方法,如开路/短路测试、静态扭矩测试、直流阶跃测试、交流静止测试等。对这些离线测试方法的对比研究可总结[2-3]如下:①开路/短路测试仅可测试Ld,其短路磁通密度在相同电流下远小于正常运行工况,这导致测试结果比实际更大。②静态扭矩测试旨在作为开路/短路测试的补充,用于测量直-交轴电感的差值,而非实际电感Ld或Lq。此外,该方法需要准确的扭矩仪读数,因而受机械安装、齿槽转矩和空间谐波影响明显。③交流静止测试对电机绕组施加单相交流电压,将转子锁定在特定位置提取d-q轴电感。该方法可以分别测试Ld或Lq,并且模拟绕组流过特定幅值交流电流的饱和工况。但由于注入的交流激励既非强磁亦非弱磁,该方法获取的d轴电感与实际运行工况存在偏差[3]。④直流阶跃测试通过对电机施加直流阶跃电压激励,从电流响应中可提取电机电感。该方法在锁定转子的条件下,分别测试不同电流水平的Ld或Lq。IEEE-1812标准中提到,该直流激励方法可更准确体现定转子磁场的关系[1],因此后续选择该方法作为离线对比的主要方法。
可以发现,IEEE-1812测试标准中提到的测试方法未考虑电机实际运行工况下动态问题和电机老化等因素对电机参数的影响问题,所以有必要引入在线参数辨识方法。文献[4]中对于PMSM参数辨识方法进行了较为详尽的综述,其指出现有在线参数辨识方法的主要问题包括秩不足[5]、动态模型建立等。这些问题产生的主要原因包括PMSM的d-q轴电压方程的观测矩阵秩为2,低于待辨识参数的数量,无法同时观测定子电阻、d-q轴电感及磁链等全阶参数。此外,控制中d轴电流指令稳态通常较小甚至为0,使得部分参数的可观测性降低,此时传统方法无法避免额外注入测试电流信号。
国内外研究者针对上述问题进行了大量探索。例如,一类经典的多时间尺度参数辨识方法[6-8],分不同时间尺度观测快变的d-q轴电感和慢变的电阻-磁链系数,两组观测器将对方的观测输出视为已知量。但这类“快-慢”结合的方法并不能实现“快-慢”参数之间的完全解耦,且当控制器运算时间尺度选择失当时,两组观测器无法保证正确收敛。如文献[6]提出,在20 kHz下观测电感,将得到的电感代入500 Hz的电阻、磁链观测器。为了拓展观测状态维度,还必须在原本较小的d轴电流指令上叠加变化周期为数百毫秒的方波激励。该注入分量频率较低而幅值较高,降低了驱动效率且限制了电机输出能力。另一类经典参数辨识方法是通过注入时变的高频测试信号以拓展观测信息[9-11]。这些方法通常选择在稳态d-q轴电流指令上注入数百到数千赫兹的高频信号,包括正弦波、三角波、方波等。早期方法[9]基于矢量控制拓扑,在d轴注入数十毫秒周期的方波测试信号,其辨识精度有限且低频扭矩脉动影响较为明显。有方法[12]选择在d轴注入数百赫兹的三角波,提高了观测信号的信噪比,但其仅作用于Ld=Lq的表贴式电机且未解决死区效应影响。随着模型预测控制技术的发展,有方法[11-12]借助无差拍电流控制的高控制带宽,提出同时在d-q轴注入不同频率的正弦电流激励,其对于控制器算力要求严苛。虽然以上高频注入方法可以解决秩不足的问题,但引入了额外的扭矩脉动和电流谐波,难以应用在高控制性能需求场合。此外,上述这些方法均使用d-q同步旋转坐标系下的稳态电机模型,一方面依赖准确的转子位置进行旋转变换,另一方面忽略了电流微分项中的参数信息。
近年来,一类未被包含在综述文献[4]中的方法实现了从电流微分中提取电感信息,解决了稳态方程方法观测电感的欠秩问题[13-18],后来将该类方法简称为“电流微分模型方法”。这些方法通过软件或硬件方法采样或直接计算电流微分,基于不同参考系下的开关时间尺度PMSM模型计算电感参数。文献[15]基于d-q同步旋转坐标系模型,使用有源微分器提取空间矢量脉宽调制(space vector pulse-width modulation,SVPWM)下的电流微分,进而计算电感。文献[18]借助过采样算法[19]提取SVPWM作用下的电流微分,基于无传感器算法建立的δ-γ坐标系进行电感观测,并设计观测器对角度误差引起的交叉耦合电感进行补偿。以上提到的电感观测方法均无法与转子位置角解耦,因此观测结果受到转子位置角误差及交叉耦合效应的影响[20]。少数文献提出的方法利用ABC静止坐标系模型规避了旋转变换,但其依赖一个有限的“位置标量”计算表格[16],只能应用于零矢量居中的SVPWM驱动策略,无法推广至包括直接转矩控制[21](direct torque control,DTC)、有限集模型预测控制[22](finite-control-set model predictive control,FCS-MPC)在内的非PWM驱动策略。
为解决上述方法存在的共性问题,本文引入虚拟电压矢量定向x-y坐标系,在此基础上提出一种无须转子位置和额外注入信号的电流微分模型电感观测方法。推导证明在逆变器开关时间尺度下,d-q轴电感观测与转子位置可实现解耦。所提出电感观测方法解决了同类方法仅适用于SVPWM驱动策略的问题,使这类电流微分模型方法能够通用于DTC、FCS-MPC等无调制的驱动策略。最后,对一台有限集模型预测DTC下的PMSM进行了实验,通过与IEEE-1812标准的直流阶跃测试方法的测试结果进行对比,验证所提方法的准确性。
1 PMSM的基本数学模型及其电感表达式
本节给出开关时间尺度下PMSM的三相静止坐标系数学模型,证明d-q轴电感作为PMSM结构的固有属性,其观测可以与转子位置解耦。首先列写经典的三相静止坐标系下PMSM模型,如式(1)所示。
(1)
式中,u、i、e、R、L分别表示电压、电流、反电动势、电阻和电感变量,下标中的A、B、C表示各变量的A、B、C相分量,符号p为微分算子。
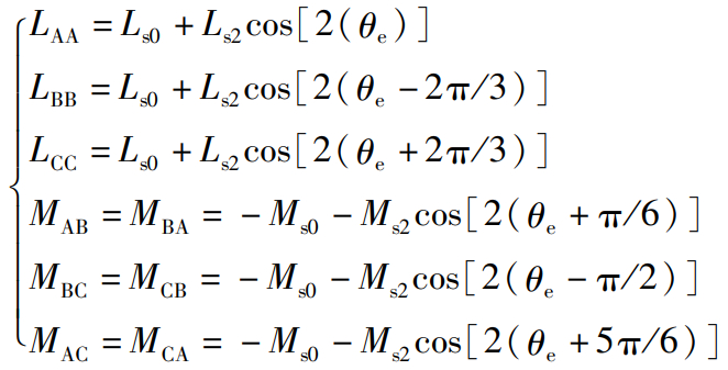
假设三相绕组阻抗参数均衡,保留电感的二次谐波分量可以列写电感方程如式(2)。

(2)
式中,M指代相间互感,θe为转子电角度,下标中的s0和s2分别代表该电感量的直流分量和二次谐波分量。进一步可将三相互感、自感的示意图绘制如图1所示。考虑PMSM的三相绕组正弦分布结构,可以给出简化表达式(3)[2,20]。

(3)
由式(3)和图1可以发现,求取d-q轴电感可转换为求取相自感的直流分量以及二次谐波分量的幅值:
(4)
PMSM相电感的直流分量和二次谐波分量的幅值在磁路任一确定的饱和程度下均为常数且不随电机的转子位置而改变。这意味着d-q轴电感是PMSM的固有属性,因此d-q轴电感观测具有与转子位置信息解耦的可能性,解耦计算的推导过程见第2节。
图1三相静止坐标系下的自感和互感
Fig.1Self and mutual inductance in a three-phase stationary coordinate system
2 电流微分-电感模型
本节引入电流微分-电感模型的基本概念,首先给出传统方法中的d-q轴同步旋转坐标系下的电流微分-电感模型。为实现电感-位置的解耦,进一步引入虚拟电压矢量x-y坐标系及该定向方式下的电流微分-电感模型。
2.1 同步旋转坐标系下的电流微分-电感模型
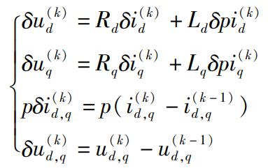
首先将式(1)旋转变换得到d-q同步旋转坐标系下的电机基本方程,如式(5)所示。
(5)
式中变量的下标d、q表示该变量为相应d或q坐标系分量。
在此基础上,给出电流微分模型方法常用的假设条件[16]:
1)电机三相绕组的等效参数均衡,且相邻数个控制周期间PMSM电气参数不突变;
2)观测器的计算周期等于控制周期Ts,且远小于电机的机械时间常数;
3)观测器的采样周期远小于电机的电气时间常数。
基于上述假设条件1和2,可认为时间上相邻的数个控制周期所对应的反电动势近似相等:
(6)
式中上标(k)、(k-1)指代第k和第k-1个周期(或时间段)内的对应变量。
取两个周期的式(5)做差并代入式(6),可以消去反电动势项,如式(7)所示。

(7)
式中算子δ表示两个周期的同一变量或矢量相减,例如。
同理,基于假设条件2、3可以认为在控制周期Ts的时间尺度下有:
(8)
综上,同步旋转坐标系下的电流微分-电感模型可以列写如下:
(9)
由此可以得到一种简单的电感观测方法,当电机反馈角度准确时,该方法亦具有较高的准确性,因此用于后续的实验对比。
2.2 虚拟电压矢量坐标系下的电流微分-电感模型
第1节的推导已经证明,交-直轴电感作为PMSM的物理属性,其观测过程可以与转子位置信息解耦,本小节将推导一种解耦观测方法。
2.2.1 虚拟电压矢量坐标系的定义
为实现观测系与转子位置的解耦,定义虚拟电压矢量为δV=V(k)-V(k-1),如图2中红色箭头所示。以单矢量有限控制集为例,定义一次矢量切换为一周期,图中的V(k)和V(k-1)(黑色箭头)表示第k和第k-1周期作用的逆变器电压矢量。定义虚拟电压矢量坐标系(黄色箭头)的x轴对齐δV方向,并定义其与同步旋转d-q坐标系(蓝色箭头)的夹角为γ。进一步定义δV方向为:
图2虚拟电压矢量的定义
Fig.2Definition of virtual voltage vector

(10)
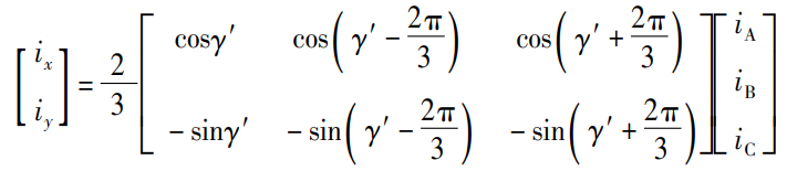
虽然虚拟电压矢量坐标系的角度随逆变器实际作用电压矢量的切换而离散跳变,但每组开关状态对应的x轴位置角可由逆变器实际输出矢量角度合成得到。因此,x-y坐标系电流分量可由实际电流采样值通过Park变换和Clarke变换得到。以恒幅值变换为例:

(11)
为了便于后续推导,此处附上d-q坐标系下的变量与x-y坐标系变量相互变换的表达式:
(12)
(13)
由于虚拟电压矢量的方向始终和x轴重合,虚拟电压矢量的y轴分量始终为0,表示如下:

(14)
由此,本节推导得到一个随电压矢量变化而跳变的x-y坐标系及各变量在该坐标系的分量。
2.2.2 虚拟电压矢量坐标系下的电感观测方法
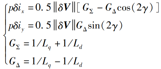
本小节在x-y坐标系下推导一种与转子位置解耦的电感观测方法。首先将式(13)、式(14)中的d-q轴电流、电压变换代入式(9),经过计算化简可以得到如下的表达式:

(15)
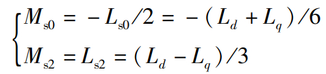
为进一步简化表达,定义变量如下:
(16)
将式(16)代入式(15),重新整理后表示如下:

(17)
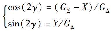
将式(17)的两式进行平方和运算,可消去其中包含了位置信息γ的三角函数项,仅余电流、电压、电感相关项:
(18)
此时,基于2.1节所述的假设条件1,可以假定两个相邻周期的式(18)中电感量不突变,取两个周期的等式左边相等:
(19)
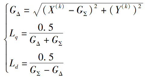
观察上式可以发现,其中的变量X、Y均为已知的电压电流变量,因此可以给出GΣ的计算表达式:
(20)
进一步将式(20)代入式(18),即可得到交-直轴电感的观测方程:

(21)
至此,可以发现所提方法的Ld、Lq并未使用任何转子位置相关变量,实现了电感观测与转子位置的完全解耦。
3 电感观测实现
上一节中推导得到了电感观测的基础表达式,本节将讨论该方法的具体实现。首先讨论电流微分和虚拟电压矢量信息的提取方法,在此基础上进一步说明详细的电感观测流程。
观察式(16)、式(20)、式(21)可以总结发现,要实现所提方法,需要提取准确的电流微分信息pδix,y和虚拟电压矢量δV的幅值与相角。但是电机控制系的反馈量通常仅包含相电流iA,B,C、母线电压Vdc等参数,因此需要讨论如何获取观测电感所需变量。
3.1 虚拟电压矢量信息提取
下面首先给出虚拟电压矢量δV的计算方法。假设控制器已经记录了两个周期的电压矢量和直流母线电压,则可根据逆变器开关状态信息查取两周期作用的逆变器电压矢量角度θ(k-1)和θ(k)。虚拟电压矢量幅值可表示为:
(22)
式中,Vs表示矢量长度,对于两电平逆变器可表示为定值Vs=(2/3)Vdc。
虚拟电压矢量的相位角则可以通过反三角函数求解:
(23)
由此,虚拟电压矢量的幅值和相位角均已实现了实时计算。但是,考虑成本敏感场合的嵌入式控制器无法负担大量三角函数运算,可将逆变器有限个开关矢量组合下的三角函数和反三角函数计算结果编制为表格存储。以两电平逆变器为例,其可产生7种矢量,排除V(k-1)=V(k)的无效情况,共有42种幅值和相位的组合。若进一步考虑矢量作用先后顺序带来的对称性关系,如式(24)所示,最终存储占用还可以降低一半。
(24)
3.2 电流微分信息提取
当得到了虚拟电压矢量的所需信息,接下来讨论对于电流微分信息的提取。一种常规方法是采用简单的欧拉离散,如图3(a)和式(25)所示。
(25)
式中的采样周期在实际控制系统中等于控制周期Ts,需满足第2.1小节中讨论的假设条件,即Ts远小于电机的电气和机械时间常数。此外,实际开关器件在导通—关断期间,器件寄生电容容易与线路寄生电感等发生谐振,产生电流尖峰,且式(25)差分运算会显著放大噪声,因此过采样过程需规避开关时刻。对于采样频率等于开关频率的欧拉离散方法,需在开关动作前严格设置采样时刻,图3(a)中的绿色圈表示采样点。
本文选择使用如图3(b)所示的第二种方法,使用过采样技术结合最小二乘法(least squares,LS)以提升电流微分信息提取的精确度[19]。基于高带宽电流霍尔和现场可编程门阵列(field programmable gate array,FPGA)控制器,在实验中实现了1 MHz的采样频率,在10 kHz的控制频率下每个控制周期最多可实现100次采样。但是考虑开关节点的谐振问题,本文选择采样开关过程的后85%区间,并在采样结束后的15%区间进行最小二乘法拟合电流斜率。
图3电流微分信息提取
Fig.3Current differential information extraction
3.3 电感观测流程
由此,可以给出本文所提电感观测方法的计算流程,如图4所示。
图4所提方法的电感估计流程
Fig.4Process of the proposed inductance estimation method
对于本文举例的有限集控制策略,在每个控制周期需要判断电压矢量是否切换,而对于标准SVPWM驱动的算法,则在绝大部分情况下无须进行判断[16]。当发生矢量切换,则可认为产生了一个新的虚拟电压矢量δV,进而通过式(22)~(23)或离线表格得到其幅值和相位。使用虚拟电压矢量的相位角,可以将这个周期LS得到的电流微分变换到x-y坐标系内更新pδi(k)x,y。当获得了计算电感的所需变量,可将其代入式(20)~(21)计算得到Ld和Lq。最后可以根据实际需求加入低通滤波器对观测结果进行处理,由于d-q轴电感为直流量,因而低通滤波器设计带宽可以非常低而不会引入明显的稳态误差。
4 实验结果及分析
本小节使用的电机实验平台参数见表1,此处被测电机为Ld≠Lq的内嵌式PMSM。对于表贴式PMSM的GΔ=0特殊情况,所提方法同样适用。控制器采用dSPACE Microlabbox,在FPGA上实现被测电机的有限集模型预测控制算法和电流微分信息提取。表中下标RLC表示电桥离线测定的参数,该测试结果可视为零电流的空载参数。
表1被测电机参数
Tab.1Parameters of the tested PMSM
首先,给出一组id=0 A、iq=2 A、0.1ωn轻载工况的观测结果如图5及图6所示。图5展示了电感观测方法在初始阶段收敛的动态过程,结果显示当给定电感观测初值为0,本文所提方法和d-q系方法均可以在20 ms以内迅速收敛至接近的稳态值。图6展示了电机在该低电流工况下稳态运行时提取的电流微分信息及电感观测结果。图例括号中的缩写标识了不同的电感测试方法,其中包括:本文所提出的虚拟电压矢量坐标系方法(xy);2.1小节中的同步旋转坐标系方法(dq);IEEE-1812标准中提到的直流阶跃测试(DC)[1];电桥测试结果(RLC)。需要注意的是,图中的直-交轴电感Ld和Lq的离线对照方法(黑色线)并不相同,d轴电感的离线测试对照RLC电桥测试值,而q轴电感的离线测试则对照2 A电流下的直流阶跃测试结果。该对照方法的变化是由于直流阶跃测试仅可测得注入电流所对应坐标轴方向的电感,注入q轴电流时无法得到d轴电感。本文所提方法d轴观测结果平均值为7.05 mH,和电桥测试结果(7.2 mH)相差约2.1%;q轴测试结果平均值约为16.4 mH,和直流阶跃测试结果(16.17 mH)相差约1.4%。综上,由于该轻载工况下铁芯无明显饱和,本文所提x-y系方法和d-q系方法稳态电感观测结果基本一致,且与离线测试结果吻合,初始收敛迅速。
图5轻载工况实验观测结果(收敛过程)
Fig.5Experimental results under light load (convergence)
图6轻载工况电感估计实验结果(稳态)
Fig.6Inductance estimation results under light load (steady state)
接下来,图7展示了电机运行速度改变时电感观测方法的输出结果。测试过程中被测电机控制在id=0 A、iq=10 A较高电流下且全过程电流指令不变。起初负载电机控制恒速0.6ωn,在3.8 s时刻电机速度降低至约0.2ωn。当初始0时刻启动观测器,文中所提方法观测得到的d轴和q轴电感分别收敛到约6.55 mH和13.5 mH,在速度切换前后电感观测结果无明显跳变,且不存在尖峰和抖动,证明了基于电流微分的方法并不依赖稳态运行假设。结果中速度变换前后电感变化较小的现象符合IEEE测试标准及相关文献的讨论,即电感饱和与电流强相关而与速度关系较弱。作为对照的d-q系方法在速度变化前后则表现出明显的变化趋势,如图中紫色箭头所示,其d轴电感从6.4 mH上升到6.6 mH,q轴电感从12.4 mH上升到13.5 mH。可以总结发现,两种电流微分模型方法在低速下结果较为一致,而高速下使用了转子位置角的d-q系方法观测结果显示出3%至9%的变化。为了解释d-q系方法受到速度变化影响的原因,图8给出了额定负载、减速暂态下未经低通滤波的d-q系和x-y系方法电感观测结果。图中可以发现,d-q轴电感分别以30°为周期波动,此处将这些角度称为“异常角”。异常角附近的电感观测结果中偏大值和偏小值的分布并不对称,经过低通滤波器后的结果难以避免带有误差。随着转速上升,电机转子经过异常角附近的频率增加,当低通滤波器未随着速度变化调整带宽,则滤波后的结果受到异常角的影响将加剧。而x-y系方法由于实现了电感观测与真实转子位置角的解耦,因而不存在随转子位置而出现的异常波动,易于滤波。
此外,对于图7中离线测试结果电感值偏大的现象需分情况讨论。对于d轴的电桥测试结果,其测试条件为毫安级别电流的空载工况,其整体磁路仅存在永磁体磁通,其漏磁不足以使隔磁桥完全饱和。而图7的高负载工况下,q轴较高的电流已经使得隔磁桥饱和,进而导致d轴电感下降,该现象与文献[23]中的结论一致。对于q轴的直流阶跃测试结果偏大的现象,应通过该测试方法本身的特性予以解释:当静止的电机绕组突然施加阶跃电压,其体现出阻感负载特性,电流随时间上升,在q轴电流上升的过程中磁路逐渐饱和,电感呈不断下降的趋势,其时间常数是连续变化且单调递减的。然而标准的直流阶跃法仅测量特定电流水平下电流阶跃响应的总时间常数,因此计算得到的电感往往大于该稳态电流水平下的实际增量电感。实际上,可以从表达式推导证明直流阶跃测试得到的q轴电感值接近(且略小于)该电流水平下的视在电感。
图7速度突变工况实验观测结果
Fig.7Experimental results under speed step condition
在图9中给出了一组过载工况的暂态实验结果。起始时刻电机系统运行在id =0 A、iq=12 A的电流过载工况。根据扭矩磁链和电流的对照表格,在约6.2 s时刻降低扭矩指令并在9 s时刻调节磁链指令,使电机系统最终到达id=-2 A、iq=2 A的工况。可以观察到,当d轴正向电流上升,d轴磁路因为强磁电流显著饱和,电感下降至不足6 mH;而随着d轴电流回落至-2 A,电感值随之恢复。此外随着q轴电流降低,Lq显著上升,准确反映了q轴磁路饱和程度降低的趋势。全过程中本方法运行稳定,id=0 A时所提方法仍然可以稳定更新。
图8减速过程中电感估计实验结果(未滤波值)
Fig.8Experimental results of inductance estimation during deceleration (raw value)
图9电流阶跃工况实验观测结果
Fig.9Experimental results under current step
基于上述分析可以发现PMSM电感变化对于速度变化不敏感而受电流影响较大。因此图10进一步给出了所提方法在不同电流水平下与IEEE-1812标准所提直流阶跃测试的对比结果,离线测试的阶跃稳态电流标记为大写的Id、Iq。为了获得与直流阶跃测试相同的定子电流,本文所提方法测试d轴电感时q轴电流控制为0,同理在测试q轴电感时d轴电流控制为0。考虑电流微分模型方法得到的是增量电感,使用文献[16]中的方法将增量电感进一步计算为视在电感Lda、Lqa。应注意,虽然图中横坐标标示了电流正负,但其仅指示了在线测试的工况,因为电机实际运行中通常仅考虑负向弱磁电流;而根据IEEE-1812标准中的测试流程,阶跃测试的电感值为正向和反向阶跃激励测试结果的均值。
首先,从图10中的整体电感变化趋势可以发现,随着q轴电流逐渐增大其磁路饱和程度逐步加深,电感值呈降低趋势;d轴磁路需考虑永磁磁通影响,当小于0的去磁电流逐渐增大,d轴合成磁通逐步降低,进而电感量回升,但变化量级小于q轴电感。接下来,引入均方根误差(root mean square error,RMSE)对所提方法测试结果相对直流阶跃测试的差别进行衡量,d轴电感RMSE约为0.46 mH,q轴电感RMSE约为0.37 mH。d轴电感RMSE稍大是由于正向阶跃和反向阶跃的均值计算:对于磁路对称的q轴,其正反向电流阶跃下的电感几乎一致;对于存在永磁磁通的d轴磁路,其存在正反向阶跃下的电感不对称性,故误差稍大,但测试整体趋势仍然吻合较好。综上,本文所提方法与直流阶跃测试方法所测得的电感变化趋势一致且数值较为接近,验证了其有效性。
图10所提方法与直流阶跃测试方法在不同电流下的对比
Fig.10Comparison of the proposed method with DC step test at different currents
5 结论
本文提出了一种与电机转子角度解耦的d-q轴电感在线观测方法。主要结论如下:
1)建立基于电流分段线性化的PMSM开关时间尺度电流微分-电感模型,证明从开关电流纹波中可以提取电感信息,因而无须任何额外注入电流信号,避免增加转矩脉动和系统损耗。
2)基于所提出的虚拟电压矢量定向x-y坐标系和相应的旋转变换方法,推导证明所提方法可以应用于任意开关矢量序列。因而本方法得以应用于DTC、FCS-MPC等无PWM环节的驱动策略下。
3)推导验证了PMSM的d-q轴电感作为电机固有结构特性,其可独立于转子位置被观测,并提出一种无须转子位置的电感在线观测方法。
实验验证了所提方法可在无须注入额外指令的前提下运行于0稳态电流工况,且具有毫秒级的收敛速度。此外,所提方法与IEEE-1812标准中离线测试方法进行对比的结果显示,两种方法电感值随电流变化的趋势和数值均体现出一致性,其中d轴电感观测RMSE约6.2%,q轴电感观测RMSE约2.4%,验证了所提方法的准确性。




