摘要
针对表贴式永磁同步电机中常见的定子匝间短路和转子偏心故障,采用占用空间小、可绕制匝数多的柔性印刷电路板制作探测线圈,并将其布置于定子槽口以捕获磁场信息。对于定子匝间短路故障,提出了利用双正交锁相提取故障特征值的匝间短路故障检测方法,能够对短路电阻、短路匝数以及故障位置进行有效区分,且不受电机转速波动的影响。对于转子偏心故障,提出了基于高频注入的探测线圈差分电桥结构偏心故障检测方法,最终可实现2%的偏心度检测。对于复合故障,引入了基于卷积神经网络的故障区分方案,并对比了不同类型学习方法的性能,试验结果表明:复合故障条件下实现了98%的匝间短路正确率评估,且选用AlexNet在训练数据占比为60%时的偏心检测误差仅为5%。
Abstract
For the common stator winding short circuit and rotor eccentricity faults in surface-mounted permanent magnet synchronous motors, a flexible printed circuit board with small footprint and capable of accommodating a large number of windings was used to fabricate the detection coil, which was then arranged in the stator slots to capture magnetic field information. For the stator winding short circuit fault, a winding short circuit detection method using dual orthogonal phase-locked loop to extract fault characteristic values was proposed. This method can effectively distinguish the short circuit resistance, short circuit winding number, and fault location, and was not affected by the motor′s speed fluctuations. For the rotor eccentricity fault, a differential bridge structure of the detection coil based on high-frequency injection was proposed for eccentricity detection, and ultimately, a 2% eccentricity detection can be achieved. For the composite fault, a fault discrimination scheme based on convolutional neural networks was introduced, and the performance of different learning methods was compared. The experimental results show that under the composite fault condition, a 98% correct rate of winding short circuit assessment is achieved, and the eccentricity detection error using AlexNet with a training data proportion of 60% is only 5%.
永磁同步电机因其具有高效率、高功率密度、高转矩密度以及优异的控制性能而被广泛应用于航空航天、轨道交通以及国防军工等众多领域[1-6]。尤其是随着近年来稀土永磁材料技术的不断发展,其耐高温性能不断提升的同时价格逐步降低,进一步扩大了永磁电机的应用领域,在迭代改进中使永磁电机向大功率、高功率密度方向发展。随着永磁电机应用领域的扩展,对它的可靠性和操作安全性提出了更高要求[7]。无论是汽车、舰船还是航天飞机,其电机一旦发生故障将会对整个系统的安全性带来威胁,产生的后果可能是巨额的经济损失。常见的永磁电机电气故障包括定子匝间短路、转子偏心等,因此本文针对这两种故障及其复合故障开展诊断研究。
定子匝间短路是最常见且危害程度最高的故障,在所有故障类型中,匝间短路故障发生占比达到30%~40%[8]。匝间短路可能由绝缘老化、过电压冲击、机械振动等多种原因引发[9]。针对变频器供电的电机而言,变频器开断带来的过电压冲击是加速定子绝缘损坏的主要诱因[10]。针对现有的研究方法,可以将其分为:基于信号、基于模型和基于数据驱动的三大类匝间短路故障检测方法[11]。其中基于信号的匝间短路故障检测方法包括快速傅里叶变换(fast Fourier transform,FFT)、短时傅里叶变换(short-time Fourier transform,STFT)和小波变换(wavelet transform,WT),并且配合经验模态分解(empirical model decomposition,EMD)等其他方法才能提高其动态检测效果,通常上述方法以定子电流为对象进行分析,但是这些基于绕组端口电流检测方法不仅会受绕组结构和槽/极配合的影响,还会因为控制器带宽而抑制特征信号[12]。除了定子电流,负序电压分量[13]、零序电压分量[14-15]、杂散磁通[16]以及振动信号[17]都可以被用于匝间短路故障的检测。基于模型的匝间短路故障检测方法根据实际电机输出与理论模型输出的差值检测定子匝间短路故障。文献[18]则利用绕组函数理论分析故障下的绕组自感与互感并与实测值进行对比以检测匝间短路故障;文献[19]利用匝间短路使绕组增量电感减小的原理进行故障检测;文献[20]提出了一种基于阻抗的故障检测方法,在此基础上对输入电流、反电势、短路电流和转矩进行了进一步分析;文献[21-22]通过电感、电阻以及反电势等参数的估计可以实现考虑绕组分布和漏磁通的不同短路位置的故障检测。除了对电机已有参数的估计,通过高频信号的注入并测量相应的负序分量也可用于匝间短路故障检测[23]。基于数据驱动的匝间短路故障检测方法是以深度学习为核心的故障辨识方法。通过卷积神经网络(convolutional neural network,CNN)以及循环神经网络(recurrent neural network,RNN)等深度学习算法可以从输入数据中自动提取故障特征,从而避免了在数据量过大的情况下手动提取故障特征难度陡增的问题。就目前而言,振动和电流信号是两类最常用的学习数据源。文献[24]提出了一种基于CNN的LiftingNet网络模型,用于故障分类;文献[25]提出了基于CNN的LeNet-5网络模型,将时间序列的信号转换为二维图像,用于学习故障特征,取得了良好的检测效果。文献[26]利用定子电流和转速信号作为输入提出了一种基于递归神经网络的匝间短路故障严重程度估计方法。基于数据驱动的匝间短路故障检测方法可以在不依赖电机参数的情况下建立输入信号和故障的映射关系,但该方法需要积累大量数据用于学习,前期的训练也比较耗时。
转子偏心故障是永磁电机常见的一类机械故障,制造误差、质量不平衡以及转轴弯曲是诱发转子偏心故障的主要原因[27]。偏心故障发生于电机转子,占所有故障的40%~48%[28]。转子偏心一般被理想化地简化为静偏心、动偏心和混合偏心三种状态[29]。针对现有的研究方法,可以将其分为:基于信号和基于模型两大类检测方法。在基于信号的检测方法中,定子电压电流是最常见也是最方便获取的故障检测信号源[30],当发生动偏心故障时,最小气隙位置以机械周期旋转,定子电流中会出现特征谐波。电机稳态运行时可通过FFT提取故障特征值[31],为了适应电机动态运行场景,同步重采样技术[32](synchronous resampling technique,SRT)、短时傅里叶变换、小波变换[33]等时-频分析方法相继被应用。但这些时-频分析方法均是时间分辨率和频域分辨率的折中,采用WT时存在难以选择合适的母小波函数等一系列问题。文献[34]利用偏心故障发生时气隙磁阻变化会引起探测线圈中磁链变化这个特性,用探测线圈感应电压幅值来推算气隙长度,通过用圆周多个探测线圈的电压幅度形成雷达图以表征偏心状态。静偏心时转子偏心方向的探测线圈感应电压幅值增大,反之则减小。当转子发生动偏心时,该雷达图将沿着偏心方向移动,不同时刻测量出的结果也会沿着不同方向移动,据此可以对两类偏心故障进行区分。但此方法存在检测灵敏度不高、易受干扰等问题,而且无法适用于电机动态运行下的偏心检测。基于模型的检测方法原理是利用电机本体或者控制系统的某些参数会因偏心故障的存在而发生变化,故而可以通过这些参数估计值与实际值的残差开展偏心故障诊断。在已有的文献中,利用偏心下绕组电感的变化是最常用的检测方法。文献[35]利用偏心下由于饱和效应而使d轴可视电感减小这一特性判断偏心故障的发生,假设转子沿竖直方向偏心,且上半部分的气隙小于下半部分气隙,则下半部分气隙长度的增加导致磁阻增加,电感值相应减小,而上半部分由于工作点进入非线性段,气隙减小后铁芯的饱和作用亦造成电感值减小,综合而言,偏心使得d轴电感减小。文献[36]则在文献[35]的基础上,利用增量电感的变化进行偏心和退磁故障检测,该方法通过在d轴注入幅值不同的直流电流,以改变铁芯饱和程度,偏心时由于饱和作用使d轴电感减小,随着注入电流的增大,健康状态的电感和偏心状态的电感趋于一致,但退磁故障发生时由于永磁体提供的磁链幅值减小,因此达到相同的饱和程度需要注入更大的电流。文献[37]提出偏心故障发生时d-q轴磁链增加,所以在相同负载下,d轴电压减小而q轴电压增加,因此可通过d-q轴电压的观测值与控制系统中读取的实测值进行对比以实现对静偏心故障的检测。
针对定子匝间短路和转子偏心两类故障复合发生时的检测方法也可分为基于信号处理以及基于深度学习两大类。文献[38]研究了内嵌式直流无刷电机在匝间短路故障和动偏心故障下的电流频谱特性,并通过不同的特征频率诊断故障类型。该研究发现匝间短路故障时定子电流的2k-1倍基频处会出现特征谐波。动偏心故障时定子电流的1+(2k-1)倍基频处会出现特征谐波。当两种故障同时发生时,两种故障的特征频率同时出现,不会相互覆盖。同时作者验证了该方法对转速的鲁棒性。文献[39]同样使用气隙磁场信号诊断匝间短路故障和静偏心故障。该方法分别通过探测线圈和霍尔传感器获取气隙磁场的时间-空间信号,通过分析信号的频域特性发现匝间短路故障时磁场信号存在大量高次谐波,这和偏心故障时的谐波分量差异较大,由此实现了两种故障的诊断。在电机故障诊断领域,基于深度学习网络的故障诊断方法同样被广泛用于多故障诊断。文献[40]对比研究了卷积神经网络、长短期记忆网络、支持向量机在诊断直流电机故障时的性能。文中涉及的故障状态包括两种轴承故障、两种偏心故障和匝间短路故障。通过用不同深度学习网络提取定子电流中的故障特征实现诊断。
本文针对定子匝间短路故障、转子偏心故障以及两者同时发生时的复合故障,分别提出了利用双正交锁相提取故障特征值的匝间短路故障检测方法、基于高频注入的探测线圈差分电桥结构偏心故障检测方法,以及引入了基于卷积神经网络的故障区分方案。
1 定子匝间短路故障检测方法
现有匝间短路检测方案灵敏度低,难以适用电机动态下的故障检测。考虑到脉冲宽度调制(pulse width modulation,PWM)供电下电机的电枢绕组通常含有特定开关次谐波电流分量,并在探测线圈中感应出相应频率的感应电压分量,因此,提出利用与探测开关频率相关的感应电压分量作为特征量开展匝间短路故障检测方法研究。由于该特征量受调制比影响,幅值和频率随转速变化,为了保持在电机动态运行下的检测能力,一方面,利用相邻两个探测线圈特征量相互正交的特性,结合数字正交锁相(digital lock-in amplifier,DLIA)实现特征值幅值提取。另一方面,充分利用探测线圈的空间分布特性,摒弃传统依赖时间尺度上特征量与设定阈值的比较结果来判断故障是否发生的方法,采用空间上多探测线圈测量特征值的状态对比,以实现在线快速准确诊断。最后,为了定量刻画故障程度,将多个探测线圈的感应电压值进行归一化处理,并将其畸变率作为故障程度的指标。通过开展不同短路电阻、不同短路匝数以及不同负载下的动态验证实验,验证了所提方法能够对短路电阻、短路匝数以及故障位置进行有效区分,且不受电机转速波动的影响。
1.1 探测线圈的设计及布置方案
探测线圈用于捕获气隙中的磁场信息,以反映电机状态。合理布置探测线圈以及增加探测线圈匝数可以提高有效信号的强度。目前的高功率密度电机结构紧凑,槽满率较高,因此,本文选择柔性印刷电路板(printed circuit board,PCB)制作探测线圈,通过PCB打印技术可在不到1 mm的厚度内印刷12层线圈,最终的探测线圈匝数可达106匝。
研究对象是72槽12极的六相开绕组永磁同步电机,其绕组为整距分布式绕组,因此,探测线圈在定子圆周上等间隔排列于24个槽内,相邻两个探测线圈间隔一极布置,以保证相邻探测线圈中的感应电压信号彼此正交。
1.2 故障状态下的电机模型与特征值提取方法
健康状态下电机定子绕组的等效电路模型如式(1)所示:
(1)
其中:
(2)
(3)
其中,u,R,i分别为相绕组电压、电阻和电流,L为相绕组电感,θe为电角度,ψf为磁链幅值,F(θe)为探测线圈的单位磁链。
将式(2)~(3)代入式(1)可得:
(4)
探测线圈中的感应电势由定子上电枢绕组的互感磁通和转子永磁体磁通产生,可以表示为:
(5)
其中,Mps是相绕组与探测线圈的互感。当匝间短路故障发生时,式(5)的第二部分保持不变,而相电流以及相绕组与探测线圈的互感矩阵将随着故障程度以及故障位置的变化而变化。由式(5)可以看出,探测线圈中感应电压的主要分量是由永磁体提供,由于永磁体经过正弦削极,故此部分反电势仅包含基频和三倍基频等主要成分。
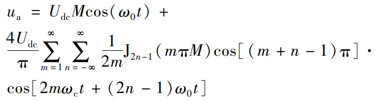
PWM供电下的电压谐波组成。在自然采样、双边触发规则下,相电压可以表示为:

(6)
其中,Udc,M,ω0,ωc和Jx分别为直流母线电压、电压调制比、基波角频率、载波角频率和贝塞尔函数。当式(6)中的m=n=1时,可得相电压幅值a1:
(7)
其中,选取开关频率附近的边带谐波2ωc±ω0作为特征频率。可以看出,随着转速的变化,该特征频率会随之移动。因此,传统的频谱分析方法很难适用于动态运行下特征频率处电压幅值的提取。
1.3 基于DLIA的特征值提取方法
由式(6)可知,相绕组中的高频电压分量是逆变器开关频率经电基频调制的结果,因此探测线圈中也会存在相同的频率分量。但在变速运行下电基频作为动态量使得特征频点也随之动态变化,所以传统的频谱分析方法在动态条件下的特征信号提取不再有效。针对这一问题,提出了一种基于DLIA的幅值解调算法。算法流程图如图1所示,可总结为以下三个步骤:
1)将正交的两路原始信号分别乘以互为正余弦的两路参考信号;
2)低通滤波得到信号包络;
3)对四路信号进行平方计算并记为fi(rr)(i=1,2,3,4),通过正弦和余弦两个包络获取幅值。
图1包络幅值计算过程
Fig.1Process of envelope amplitude calculation
1.4 匝间短路故障检测方法验证
对于匝间短路故障而言,短路电阻、短路匝数是描述匝间短路故障的重要参数。因此,开展了考虑这些参数变化工况的实验,验证所提方法的有效性。搭建实验平台对前述的理论进行验证。该平台主要由六相永磁同步电机、感应电机负载和开关频率为2 kHz的六相逆变器组成。实验样机在加工过程中将相绕组拆分为若干个线圈单元,并将每个线圈单元的两端作为抽头引出连接至电机接线盒。
1 号探测线圈输出波形如图2所示。
图2探测线圈感应电压波形
Fig.2The induced voltage waveform in the search coil
定子圆周上等间隔布置的24个探测线圈(SC1~SC24)两两正交,因此,可对每相邻两个探测线圈利用1.3节所述方法处理以提取特征频率处的电压幅值。
电机转速从100 r/min增加到120 r/min期间计算得到的特征量幅值如图3(a)所示,其中图3(b)展示出了转速的变化过程,可见,随着转速的变化提取到的特征值也随之变化,但在任意时刻各探测线圈中提取到的特征值相等。
图3变速运行下的测试结果
Fig.3Test results under variable speed operation
探测线圈特征频率处的电压值随着转速的变化而变化,但任意时刻所有探测线圈中的特征值都相等。因此,可对任意时刻每个探测线圈特征频率处的电压进行归一化处理。由于匝间短路只会对故障点附近的探测线圈特征值产生影响,而对其他位置几乎没有影响,因此,归一化的策略需要首先判断计算出的24个特征值中与平均值最接近且连续的12个探测线圈位置,对这12个探测线圈中的特征值求取平均值作为归一化的基准。
1.4.1 短路电阻变化
保持短路匝数和短路位置不变,开展不同短路电阻下的匝间短路故障模拟实验。为了避免因短路电流过大而使绕组过热对电机造成损坏,短路电阻的阻值分别设置为1 Ω(R1)、2 Ω(R2)和3 Ω(R3)。不同短路电阻下经过归一化处理的探测线圈各特征值如图4所示,随着短路电阻的减小,故障越严重,故障位置探测线圈中特征值的变化量越明显,经过归一化处理相应位置的凹陷程度越大,局部放大图如图4(b)所示。
图4不同短路电阻下感应电压归一化的结果
Fig.4Results of normalization of induced voltage under different short-circuit resistors
为了进一步衡量故障程度,定量描述图4(b)中的凹陷程度,以每一时刻所有探测线圈归一化后的特征值方差作为故障程度指标,得到不同短路电阻下的检测结果如图5所示,其中,Rf表示故障电阻。分析发现,当电机处于健康状态时,特征值方差接近于零,一旦出现匝间短路故障,特征值方差会明显大于零,且随着短路电阻的减小,即故障程度的增加,特征值方差也随之增大。
1.4.2 短路匝数变化
短路匝数是描述故障程度的另一个重要指标,在短路电阻以及电机运行转速恒定时,短路匝数越大,短路回路中的短路电流将越大,对电机的危害也就越明显。将短路电阻设置为1 Ω,短路位置设置在同一槽内,得到不同短路匝数下探测线圈输出特征值经过归一化后的结果如图6所示,随着短路匝数的增加,故障位置附近探测线圈的特征量变化幅度越大,在雷达图中的凹陷越明显,按照时间序列求所有探测线圈输出结果的方差,结果如图6(b)所示。
图5不同短路电阻下的检测结果
Fig.5Detection results at different short-circuit resistors
图6不同短路匝数下的检测结果
Fig.6Detection results at different number of short-circuit turns
2 转子偏心故障检测方法
传统的基于定子电压、电流信号或者探测线圈感应电压中的转子分量进行偏心检测的方法通常受限于电机结构,在动态及低速下的信号特征难以提取且存在检测灵敏度低的问题。因此,需要研究不受运行工况影响、灵敏度高的转子偏心故障检测方法。本节开展了基于高频注入的探测线圈差分电桥结构的转子偏心故障检测方法研究。
首先,沿水平和竖直两个方向分别布置两套探测线圈,与外接电阻构成差分电路,以分别敏感转子沿水平和竖直两个方向上的位移。通过高频激励源的作用将故障特征频率锁定,以此在提高检测方案抗干扰能力的同时根据频率特征实现转子偏心类型判断;由于偏心和磁路饱和共同影响探测线圈电感值,单一的有限元参数提取或者单一的分布磁路法均难以有效建立转子偏心度、铁芯饱和度以及探测线圈电感值三者之间的关系。因此,提出了基于有限元参数提取融合分布磁路法的电感值精确计算的场路耦合模型。通过有限元提取关键参数不仅可以考虑永磁体相对磁导率对电感的影响,还将永磁体对磁路的作用进行剥离。通过几种特殊偏心度下的有限元参数提取构建偏心故障下的永磁体影响因子数据集,此时再利用分布磁路法处理简化后的磁路模型便不再需要考虑永磁体相对磁导率对磁路的影响。通过实施上述方法极大提高了检测精度,最后开展了实验验证。
2.1 转子偏心探测线圈布置方案
转子偏心直接导致气隙长度变化,进一步影响探测线圈的电感值,将多个探测线圈合理布置构成差分电路,由偏心故障导致的电感变化将使得差分输出不再为零。同时,为了克服常规偏心故障检测方法易受电机运行工况的影响,提出在探测线圈中注入高频信号,通过检测与注入频率相关的特征分量来检测偏心故障的方法。基于差分式探测线圈检测转子偏心故障的布置方案如图7(a)示,L1和L3用来检测水平(横向)转子位移,L2和L4用来检测竖直(纵向)转子位移。
图7(b)中的电阻R为探测线圈及线路电阻,R0与探测线圈构成半桥结构,一般可以根据实际电路电感参数选择电阻大小,在此选择的阻值为2 kΩ。根据电路关系,水平和竖直两个方向的差分输出表达式为:
(8)
图7探测线圈布置方案以及差分电路结构
Fig.7Layout scheme and differential circuit structure of detection coil
其中,U为高频电压激励幅值,ωinj为高频电压激励角频率,i1、i2分别为两个支路的电流。在转子未发生偏心时,在理想情况下探测线圈对称安装,电感值相同,因此连接差分输出的两个点具有相等电势,而转子偏心时对称性被破坏,差分输出结果不再为零。
2.2 考虑饱和等因素的探测线圈电感修正
转子偏心导致探测线圈电感值改变,进而在差分结构中表现出偏心信号,因此,探测线圈电感值的计算对偏心分析至关重要。利用改进绕组函数[41]可以快速计算探测线圈电感,为了进一步考虑铁芯饱和的影响可以利用分布磁路法加以修正[42]。
以水平方向偏移0.5 mm(静偏心4.55%)为例,分别以4个探测线圈中心轴线与气隙中心线交点处的磁场来近似表征每个探测线圈所处磁环境。
考虑永磁体材料属性以及不考虑永磁体材料属性时四个点在一个电周期内的气隙磁密波形如图8所示。
显然,考虑永磁体材料属性,即计及永磁体相对磁导率之后,气隙内的参考点磁场强度大于不考虑永磁体材料属性时的值。通过将两种情况下的磁场数据做比值便可得到永磁体材料属性对气隙磁场的影响因子如图9所示。
图8参考点气隙磁场
Fig.8Air-gap magnetic field of reference point
图9参考点磁场影响因子
Fig.9Influencing factors of the magnetic field at the reference point
根据上述磁场影响因子获取方法,设置不同故障程度,得到不同偏心度下的磁场影响因子。
传统的分布磁路法在计算气隙磁势时将永磁体部分按照几何关系考虑每个角度处的磁路长度,并按照估算出的平均磁密进行计算。然而真实磁路并非理想磁路,最终使得计算结果存在一定偏差。而本文通过牺牲一定程度的简洁性和计算量,利用有限元进行参数提取以期进一步提高计算精度。
与常规分布磁路法的计算思想相同,此方法通过不断迭代使得总磁压降与励磁磁势之间的误差满足设定精度要求,但其改进了各磁回路的磁密以及各磁回路的总磁压降的计算过程。为了克服计算永磁体部分磁密和磁压降带来的误差问题,本文通过有限元模型提取出永磁体对磁场的修正系数并保存为数据表。在计算气隙磁密过程中可将整个永磁体的相对磁导率视为1,故而只用考虑由偏心等因素带来的气隙差异以及铁芯饱和的影响,最终得到这两个因素对气隙磁场的影响因子。
在同时考虑铁芯饱和以及永磁体相对磁导率之后,以偏心0.5 mm为例,计算出的探测线圈电感如图10所示。
图10修正后的电感值
Fig.10The corrected inductance value
从图10可以看出修正后的计算电感值与有限元仿真得到的电感值相比无论是上包络还是下包络都能较好地吻合,计算精度得到进一步提高。
2.3 实验验证
由于在模拟转子动偏心过程中通常需要更换转子轴承等,此操作不仅需要特定的工装,而且在更换过程中会有较大发生定转子碰撞的风险,因此,本文从样机安全性的角度出发,选择静偏心故障进行验证。
电机定子机壳设计了U型螺孔,通过该U型孔将螺栓固定于平台底座之上。通过限位块和螺栓的作用可以使电机定子沿着水平方向左右移动,从而达到模拟静偏心的目的。
分别在100 r/min和200 r/min空载两种工况下开展不同偏心度的静偏心模拟实验,得到水平和竖直两个方向的特征值电压如图11所示。
图11不同偏心度下的实验结果
Fig.11Experiment results under different degrees of eccentricity
图11的实验结果表明差分电路输出特征值与故障程度成正比,且检测结果不受转速影响,为了进一步验证检测方案对转速的鲁棒性,在相同转子偏心度下,分别在100 r/min、200 r/min以及300 r/min下开展实验,结果如图12(a)所示,在变速运行时的实验结果如图12(b)所示,可见,不论是恒速运行下的检测结果还是变速运行下的检测结果均保持一致。
图12相同偏心度不同转速下的实验结果
Fig.12Experimental results under different speed with the same degree of eccentricity
相同偏心度不同负载下的实验结果如图13所示,可见,负载从0 Nm变化到30 Nm的过程中无论是水平方向的检测结果还是竖直方向的检测结果都保持不变,因此,此检测方案对负载也有极强的鲁棒性。
图13相同偏心度不同负载下的实验结果
Fig.13Experimental results under different load with the same degree of eccentricity
与理论、仿真结果不同的是,特征量的绝对值有较大差异。分析其原因是探测线圈安装于槽口,由于安装误差使得即使在转子不发生偏心时各个探测线圈的电感也存在差异,故而在零偏心状态也会有特征量的输出。但是对比发现,无论是实验、仿真还是理论计算,故障程度和特征值之间都保持相同的变化率,因此,在实际应用中可在零偏心状态下测量一次差分电路输出结果,并将其作为探测线圈安装误差的校准值,以此为基础便可实现静偏心的精确测量。
3 偏心和匝间短路复合故障检测方法
为了分析匝间短路对偏心检测的影响,以最大短路匝数36匝为例,短路回路和探测线圈之间的相对位置关系如图14所示,此时故障对磁路的饱和程度影响最大。
图14短路回路和探测线圈的相对位置示意
Fig.14Schematic diagram of the relative position between the short-circuit circuit and the detection coil
当短路电流为100 A,会形成反向饱和,探测线圈电感和差分电路输出结果如图15所示。
图15匝间短路对静偏心检测的影响(100 A)
Fig.15Influence of interturn short circuit on static eccentricity detection (100 A)
可见,短路位置、短路电流的大小都会对偏心检测结果产生影响,难以用统一的理论加以修正以去除其对偏心检测的影响。
偏心后气隙的变化导致各探测线圈与各相绕组之间的互感发生变化。以a相绕组与各个探测线圈互感变化情况进行分析,未发生偏心以及分别发生0.5 mm、0.9 mm静偏心三种工况下的互感如表1所示。以a相与SC5之间的互感变化为例,从偏心0 mm到偏心0.5 mm,二者的互感值变化了3.65%(变化率1),从偏心0 mm到偏心0.9 mm,二者的互感值变化量为6.36%(变化率2),变化的倍数为1.74。而此时a相与SC17之间的互感变化倍数为1.87,说明同一偏心度下引起的相绕组和探测线圈之间的互感变化率不相同,即不同偏心度下互感变化率与偏心变化率之间没有清晰的映射关系。因此,偏心对匝间短路检测的影响难以通过简单的系数修正实现特征量的解耦。
表1不同偏心度下a相绕组与探测线圈互感变化率
Tab.1Change rate of mutual inductance between a-phase and detection coil under different degrees of eccentricity
因此,可基于已有的实验数据探索基于深度学习算法的复合故障解耦检测。通过分析不同类型的深度卷积神经网络算法的适用性,提出在本应用中评估正确率和正确率波动最优的深度学习算法,实现永磁同步电机复合故障高效、可靠诊断。
3.1 复合故障下的匝间短路故障检测
当偏心故障与匝间短路故障复合发生时,匝间短路故障的程度评估能力会受影响。因此,本节使用深度卷积神经网络对复合故障时匝间短路的故障程度进行评估,评估内容包括短路匝数和短路电阻。为进行对比验证,选取AlexNet、ResNet18以及SqueezeNet这三种可靠性经过充分验证的现有网络架构开展研究,主要参数列于表2中。
表2本文中进行分析的架构参数
Tab.2Parameters of the architecture analyzed in this article
实验中,样机运行在100 r/min、0 Nm的工况下。在样机静偏心为1 mm的前提下设置匝间短路故障,设置的故障程度包括九种短路匝数与短路电阻的组合,分别为短路15、36匝时设置短路电阻为1 Ω、2 Ω、3 Ω,短路4匝时设置短路电阻为1 Ω,短路8匝时设置短路电阻为1 Ω、2 Ω。采集样机中24个探测线圈的电压信号并将其全部用作故障特征量,其中每种故障程度均采集260组数据,每组数据之间的间隔为50%机械周期。
通过短时傅里叶变换将一维数据转换为二维彩色图像,并将其作为卷积神经网络的输入,深度卷积神经网络需要从这些图像中提取故障特征来评估故障程度。为说明结果的稳定性,每种比例随机选取5组训练/测试样本进行测试。图16所示为训练数据占比为60%时三种卷积神经网络评估结果平均值的混淆矩阵。
图16中,AlexNet和ResNet18对9种故障程度的评估正确率均超过90%,说明卷积神经网络已经能从特征量数据中提取出稳定的故障特征。为全面分析卷积神经网络的评估性能,进一步分析不同训练数据占比时的评估效果。图17为不同网络架构评估结果的正确率平均值和波动平均值随训练数据占比的变化情况。
图16不同卷积神经网络评估结果的混淆矩阵
Fig.16Confusion matrix of different CNN evaluation results
如图17(a)所示,随着训练数据占比的增加,三种卷积神经网络的正确率均提高。当训练数据占比为5%时,ResNet18的正确率仅为36.1%,远低于AlexNet的49.9%和SqueezeNet的44.6%。当训练数据占比达到20%时,三种卷积神经网络的正确率仍保持上述关系,但此时可明显地发现ResNet18和SqueezeNet与AlexNet的差距在缩小。当训练数据占比达到40%时,ResNet18的正确率达到89.1%,超过SqueezeNet的88.4%并与AlexNet的89.5%相当。随后,AlexNet在训练数据占比约为42%时率先突破90%正确率。当训练数据占比达到60%时,ResNet18的正确率达到95.3%,全面反超AlexNet的93.8%和SqueezeNet的90.9%。ResNet18在训练数据占比约为59%时的正确率突破90%。训练数据占比达到80%时,ResNet18的正确率为98.2%,仍高于其他两种卷积神经网络。由此可以看出,ResNet18在大样本下的性能优于AlexNet和SqueezeNet,在小样本下的性能劣于AlexNet和SqueezeNet。
正确率波动反映出卷积神经网络提取故障特征的稳定性,图17(b)中,随着训练数据占比的增加,正确率波动总体呈下降趋势。当训练数据占比为5%和20%时,AlexNet的正确率波动远高于ResNet18和SqueezeNet,其中ResNet18的波动最小。当训练数据占比大于40%后,SqueezeNet的正确率波动几乎保持不变。ResNet18和AlexNet的正确率波动均在训练数据占比为60%时达到最低,并在训练数据占比为80%时略微增加。整体上看,AlexNet在所有训练数据占比下的波动均为三者最高,因此其稳定性最差。ResNet18在小样本下的稳定性优于SqueezeNet。在样本量较大时,SqueezeNet的稳定性优于ResNet18。
图17不同网络架构的诊断性能
Fig.17Diagnostic performance of different network architectures
为考虑全样本量下不同卷积神经网络的性能,将不同训练数据占比下的正确率和正确率波动进行线性量化,绘制雷达图并根据雷达图所围区域的面积衡量其全样本量下的综合性能。全样本量下评估正确率和正确率波动如图18所示,图18(a)中AlexNet所围区域面积最大,为ResNet18所围面积的107.6%,SqueezeNet所围面积的107.8%,该结果表示AlexNet在评估正确率方面综合性能优于ResNet18和SqueezeNet。图18(b)中SqueezeNet所围区域面积最大,为ResNet18所围面积的113.9%,AlexNet所围面积的498.5%,该结果表示SqueezeNet在稳定性方面综合性能优于ResNet18和AlexNet。
综合图17和图18数据可以看出,AlexNet的全样本评估正确率领先其余两种卷积神经网络约8%,但其全样本评估正确率稳定性远劣于其余两者。SqueezeNet的综合正确率与ResNet18相近,综合稳定性领先ResNet18约14%,但其评估正确率绝对值偏低,在训练数据占比为80%时的正确率仅为92%。ResNet18的综合正确率和综合稳定性均非最优,但其评估正确率绝对值在样本量较多的情况下高于其余两种卷积神经网络。
图18全样本量下综合性能对比
Fig.18Comprehensive performance comparison across the entire sample size
3.2 复合故障下的偏心故障检测
本节使用深度卷积神经网络对复合故障时的偏心量进行评估。为进行对比验证,以3.1节选用的三种网络结构为基础构建适用于回归问题的卷积神经网络。
实验中,样机运行在100 r/min、0 Nm的工况下。在匝间短路为15匝、36匝,短路电阻为1 Ω、2 Ω的前提下设置偏心故障,设置的偏心故障程度为0 mm、0.5 mm和1 mm。采集样机中24个探测线圈的电压信号并将其全部用作故障特征量,其中每种偏心故障程度均采集520组数据,每组数据之间的间隔为50%机械周期。
通过短时傅里叶变换将一维数据转换为二维彩色图像,并将其作为卷积神经网络的输入。为说明结果的稳定性,每种训练数据占比下随机选取5组训练/测试样本进行测试,每次的训练/测试样本均随机产生。图19所示为训练数据占比为60%时三种卷积神经网络在不同偏心量数据上的预测结果,此结果为5次训练/测试的平均值。
图19中,AlexNet在三种偏心量下的平均预测误差约为5.6%,考虑允许误差为0.1 mm时的预测正确率为98.08%。SqueezeNet的平均预测误差约为22.5%、ResNet18的平均预测误差约为38.9%。可以看出AlexNet的预测性能明显优于其余两者,SqueezeNet和ResNet18在回归问题中的表现明显不如分类问题。AlexNet在训练数据占比为60%时已经能从特征量数据中提取出稳定的特征。为全面分析卷积神经网络的评估性能,对比了不同训练数据占比时的评估效果,图20为三种网络架构评估结果的正确率平均值和正确率波动平均值、评估误差随训练数据占比的变化情况。其中正确率及其波动数据为允许误差为0.1 mm时的结果。评估误差为偏心量为0 mm、0.5 mm和1 mm时误差的平均值。
图19训练数据占比为60%时不同卷积神经网络对偏心量的预测结果
Fig.19Prediction results of eccentricity by different convolutional neural networks when the training data proportion is 60%
如图20(a)所示,随着训练数据占比的增加,三种卷积神经网络的评估正确率均提高。AlexNet在所有训练数据占比下的评估正确率均远高于ResNet18和SqueezeNet。当训练数据占比为5%时,AlexNet的评估正确率超过90%,达到91.2%。当训练数据占比为80%时,AlexNet的评估正确率为99.23%。SqueezeNet的评估正确率达到90%时其训练数据占比约为70%,ResNet18在训练数据占比为80%时的评估正确率仅为63%,可以看出两者的评估性能较AlexNet有较大差距。
图20(b)中,AlexNet的正确率波动在所有训练数据占比下均小于2%,低于ResNet18和SqueezeNet,说明AlexNet的评估稳定性优于其余两者。图20(c)中,AlexNet的平均评估误差在所有训练数据占比下均小于20%,低于ResNet18和SqueezeNet。综上, AlexNet的评估性能在各方面均优于ResNet18和SqueezeNet,更适合用于偏心量评估。
图20不同网络架构的评估性能
Fig.20Performance evaluation of different network architectures
4 结论
针对传统定子匝间短路检测故障方法存在信噪比低、过分依赖电机运行状态等缺陷,提出了利用探测线圈中开关频边带谐波作为特征量的故障检测方法,为实现动态运行下的检测能力,利用相邻探测线圈中信号的正交特性,采取DLIA技术实现匝间短路故障特征量的提取。采用圆周空间上多探测线圈测量特征值的状态对比,克服了传统依赖时间尺度上特征量与设定阈值相比较的方法鲁棒性差的问题,实现了在线快速诊断。通过实验验证了不同程度匝间短路下的动态验证实验,结果表明所提方法能够对短路电阻、短路匝数进行有效区分,且不受电机转速波动的影响。
针对传统转子偏心故障检测方法通常受到电机结构限制,在动态及低速下的信号特征难以提取且存在检测灵敏度低的问题,提出了基于高频注入的差分探测线圈偏心故障检测方法。通过高频激励源的作用将故障特征频率锁定,以此在提高检测方案抗干扰能力的同时可根据频率特征实现转子偏心类型判断;由于偏心和磁路饱和共同影响探测线圈电感值,提出了基于有限元参数提取融合分布磁路法的电感值精确计算的场路耦合模型。通过几种特殊偏心度下的有限元参数提取构建偏心故障下的永磁体影响因子数据集,再利用分布磁路法处理简化后的磁路模型便不再需要考虑永磁体相对磁导率对磁路的影响。此方法虽然一定程度上增加了计算量,但极大提高了计算精度,最终可实现2%的偏心度检测。
对于偏心与匝间短路复合故障,二者的耦合关系比较复杂,无法通过简单的修正实现解耦检测,因此引入了基于卷积神经网络的故障区分方案。最终实现98%的匝间短路正确率评估,且选用AlexNet在训练数据占比为60%时的偏心检测误差仅为5%。
致谢
海军工程大学吕亚军博士在电磁仿真方面提供了帮助和指导,谨致谢意!




