摘要
针对模块化多电平变流器低速大转矩工况下显著的电容电压脉动问题,现有高频注入抑制方案会增大器件应力与损耗并引入过调制风险,且参数优化缺乏全工况适应能力。为解决该问题,提出一种考虑多约束条件的高频注入参数自适应优化策略:基于系统特性和稳态模型,运用变步长梯度下降法离线生成满足电压脉动与调制波约束要求的最小注入电流基准参数表;进而设计在线自适应修正机制,实时依据电容电压脉动和调制信息动态调整注入参数,补偿模型偏差及工况变动,形成离线全局优化与在线局部寻优的协同架构。仿真与实验表明,所提策略在维持电压脉动抑制效果的同时显著降低了注入高频环流,并具备动态追踪最优目标的能力。
Abstract
Modular multilevel converters exhibit significant capacitor voltage ripple under low-speed, high-torque operating conditions. Existing high-frequency injection suppression schemes increase device current stress and losses while introducing overmodulation risk, and their parameter optimization lacks full operational-condition adaptability. To resolve this issue, a high-frequency injection parameter adaptive optimization strategy considering multiple constraints was proposed. Based on system characteristics and a steady-state model, a variable-step gradient descent algorithm was employed offline to generate a minimum injection-amplitude base parameter reference table that satisfies both capacitor voltage ripple and modulation wave constraints. Subsequently, an online adaptive correction mechanism was designed. Injection parameters were dynamically adjusted in real-time according to acquired capacitor voltage ripple and modulation information, compensating for model deviations and operational variations, forming a coordinated architecture of offline global optimization and online local refinement. Simulation and experimental results show that the proposed strategy maintains the capacitor voltage ripple suppression effect while significantly reducing high-frequency circulating currents, demonstrating dynamic tracking capability for the optimal objective.
模块化多电平变流器(modular multilevel converter,MMC)拓扑以其易拓展、高故障冗余性、共直流母线等优点,成为中压传动领域的研究热点[1-4]。但是,MMC子模块电容电压脉动具有与输出电流成正比、与输出频率成反比的特性,使得系统在低频大转矩运行时的电容电压脉动相当剧烈[5-6]。这不仅会降低子模块电容的可靠性,还会影响输出电压的特性,因此,为保证系统的稳定运行,必须采用一定的措施抑制电容电压脉动。
高频注入法是目前较有前景的电压脉动抑制方法,即通过在桥臂电流中注入高频环流、在输出相电压中注入高频共模电压,利用高频环流和共模电压乘积产生的低频功率分量将桥臂瞬时功率中的低频分量抵消,从而在不影响输出的前提下,提高上下桥臂功率交换的频率、降低功率脉动幅值[7-11]。该方法不增加额外硬件,脉动抑制效果明显,缺点是注入的环流增大了器件电流应力和损耗。因此,研究人员提出了多种优化方法[12-21]。
一类思路是改变注入形式,如采用方波共模电压+正弦波环流、方波共模电压+正弦波环流+三次谐波环流和方波共模电压+方波环流等注入形式,可使注入环流峰值分别降低至78.5%、64.7%和50%[12-15]。以上方法虽然降低了注入环流的峰值,但是注入方波共模电压会导致过高的共模dv/dt,引起轴承电流、共模漏电流以及电磁干扰,长期运行将降低电机绝缘性能、影响轴承寿命,而注入方波电流的闭环控制十分困难,在实际工程中很难实现。另一类思路是结合拓扑进行改进,如文献[16]采用全桥型子模块代替半桥型子模块,在应用高频注入法时,可降低电容电压和桥臂环流,但因器件数量翻倍,其优势不明显;文献[17]采用飞跨电容拓扑,将每相上、下桥臂中间抽头通过飞跨电容连接起来,在该结构下采用高频注入法,可使输出端不含共模电压,从而消除了高频共模电压对负载的不利影响。但是该结构增加了额外的电容,且要求子模块数目必须是偶数,经济性和适用性有所降低。
还有一类具有较好应用潜力的策略,其核心思想基于“分段注入控制”或“低频能量脉动部分补偿”,旨在通过在特定频段实施注入控制或针对低频能量脉动实施部分补偿,进而实现降低注入环流幅值的目标。该方法具有灵活的自由度,可以根据系统特点进行针对性优化。文献[18]依据电机运行工况,将其划分为低速、中速及高速三个区间,并针对各区间分别采纳不同的注入策略,此举有效规避了单一注入策略可能引发的注入电流过大问题。然而,该方案在界定各区间转换点时缺乏明确的定量计算依据,且其应用场景局限于流体类负载,对于恒转矩、恒功率等其他类型的负载则不适用。文献[19-21]提出不完全消除低频电容电压脉动的方案,通过调整低频脉动对消比例系数,将电容电压脉动幅值控制在预设范围内,从而降低了注入的环流幅值,展现出良好的工程应用价值。但是,此方案仅聚焦于低频脉动对消比例系数这一控制自由度及电容电压脉动约束,对于共模电压注入比例系数的控制自由度与调制波幅值约束的综合考量尚显不足。
为应对多控制自由度、多约束条件的挑战,本研究围绕参数自适应的全工况优化控制策略展开。具体内容包括:构建适用于磁场定向控制和高频注入控制的闭环稳态分析模型,并基于电容电压脉动约束确定临界工作点(高频注入切换点);厘清控制自由度与系统变量关系,以最小化注入电流为目标函数,采用变步长梯度下降法离线求解最优高频注入参数基准表以实现全工况优化;最后,设计基于实时电容电压脉动与调制信息的在线自适应修正机制,构建完整的参数自适应优化控制策略框架。
1 高频注入法原理及系统控制框架
MMC变频驱动系统的典型拓扑如图1所示,其中,T表示可控功率半导体器件,D表示二极管,通过控制子模块的投入/切除,可在桥臂中点组合输出多电平交流电压以驱动电机工作。将MMC桥臂等效为可控电压源,可以得到如图2所示的MMC单相等效电路模型。
图1三相MMC变频驱动系统拓扑
Fig.1Topology of three-phase MMC variable-frequency drive system
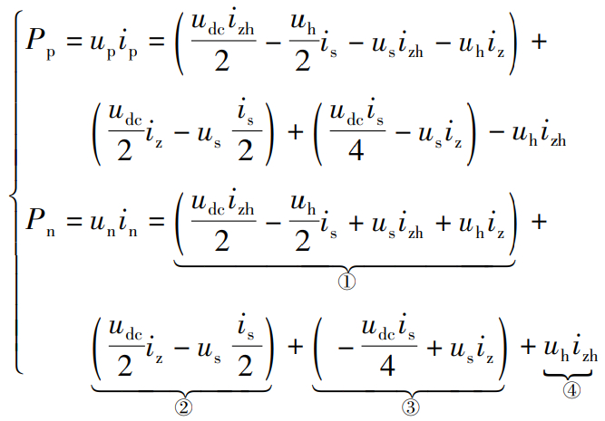
MMC子模块电容电压脉动与输出电流成正比,与输出频率成反比,因此,系统在低频大转矩运行时,电容电压脉动剧烈。这不仅会降低子模块电容的可靠性,还会影响输出电压的特性,因此,为保证系统的稳定运行,必须采用一定的措施抑制电容电压脉动。在不改变拓扑的前提下,目前最有效的脉动抑制方法是高频注入法,即通过注入频率差为基波的高频共模电压和环流,由注入的电压电流乘积产生的低频分量抵消低频的能量脉动,从而降低电容电压脉动幅值。假设输入电压、输出电压、输出电流和桥臂环流分别为udc、us、is、iz,上、下桥臂电压为up、un,注入的高频共模电压为uh,高频环流为izh,忽略桥臂等效阻抗压降,则上、下桥臂电压和电流如式(1)所示。
图2简化单相模型
Fig.2Simplified single-phase model
(1)
上、下桥臂的瞬时功率如式(2)所示。由式(2)可知,如果控制二倍频环流抵消二倍频功率脉动,则第②项为零;注入高频电压电流乘积产生的低频分量抵消第③项中的低频分量,那么瞬时功率脉动的低频分量便转移为高频分量,从而使电压脉动得到了降低。因此,注入电压和电流应满足式(3),其中,k表示抵消比例系数,下标2ωt和lf分别表示二倍频和低频(基波和3次谐波)的分量。

(2)

(3)
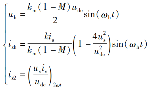
由此可以得到注入的电压和环流如式(4)所示,其中,M为调制比,km为共模电压占用剩余调制空间的比例,ωh为注入频率。注入频率通常选择4~10倍的基准频率,同时低于开关频率的1/10[21]。

(4)
MMC变频器控制系统架构如图3所示,其中ωr表示电机转子角速度,n表示投入的子模块数量,各变量上标“*”表示参考值。控制系统首先进行相总电容电压控制和上、下桥臂电容电压平衡控制,得到直流和基频环流参考量,再叠加注入法所需的二倍频和高频环流参考量后,得到完整的环流参考进入环流控制器。将环流参考量和实际值的偏差经过环流控制器后得到电压参考量,再叠加用于调速控制的基频分量和注入法所需的高频共模电压分量后得到完整的输出电压参考。将电压参考经过调制及子模块电容均压控制,最终得到脉宽调制(pulse width modulation,PWM)信号。
图3MMC变频驱动系统控制框图
Fig.3Control diagram of the MMC variable-frequency drive system
2 MMC变频驱动系统稳态分析模型
为明确模型的适用范围,进行如下假设:①当MMC驱动系统运行于稳态时,均压控制、环流控制、电机调速控制使得相关电气量均稳定在目标值;②电机绕组三相对称;③忽略4倍频及以上的环流谐波及2倍频以上的输出电流(注入量除外)。需要说明的是,在计算中所考虑的谐波次数可以根据精度需求给定,下述推导步骤相同。
Step 1:基于电机模型得到输出电气量表达式。
以永磁电机为例,电压方程如式(5)所示,其中,Rs为定子电阻,L、i、ψ分别表示定子电感、定子电流和转子磁链,下标d、q分别表示直轴、交轴。
(5)
磁链方程如式(6)所示,其中,ψf为永磁体产生的磁链幅值。

(6)
转矩方程如式(7)所示,其中,p为电机极对数、J为转动惯量、B为摩擦系数、TL为负载转矩。
(7)
在建立MMC变频器稳态分析模型时,将端口变量id、iq、ud、uq转换到静止坐标系,假设电机三相对称,根据Park逆变换公式,a相的输出电压us和电流is如式(8)所示。
(8)
Step 2:基于MMC内部耦合关系得到输出电压和环流激励电压表达式。
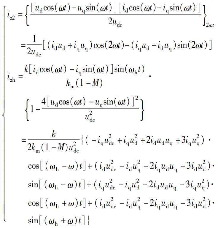
将式(8)代入式(4),可得式(9)所示注入环流表达式。由于角频率为ωh-3ω和ωh+3ω的分量远小于ωh-ω和ωh+ω的分量,为简化计算,izh的表达式仅保留了角频率为ωh-ω和ωh+ω的分量。

(9)
桥臂电流主要由直流环流Iz0、基频输出电流、二倍频环流和高频环流组成。以a相上桥臂为例,桥臂电流ip可表示为:
(10)
根据控制架构,调制信号由直流、二倍频、ωh-ω、ωh+ω频次的环流控制量、基频调速控制量以及ωh频次的共模电压注入量组成。a相上桥臂的平均开关函数Sp可表示为:
(11)
其中,Mz0为直流量,M、Mz2、Mh、Mzh1、Mzh2分别表示基频、2倍频、角频率为ωh、角频率为ωh-ω、角频率为ωh+ω的调制波幅值,θ、θ2、θh1、θh2分别表示基频、2倍频、角频率为ωh-ω、角频率为ωh+ω的调制波相角。
基于平均开关模型可知,流过子模块电容的电流icp为:
(12)
当MMC运行于稳态时,电容电流的直流分量应为0,否则电容电压会持续升高。因此,将式(10)~(11)代入式(12),并令直流分量为0,可得:
(13)
子模块电容电压如式(14)所示,其中,Uc0表示电容电压直流分量,Csm表示电容容值。将式(10)~(11)代入式(14)可得上桥臂电容电压ucp。
(14)
同理可得下桥臂子模块电容电压ucn,假设桥臂内子模块数量为N,由式(15)可得桥臂电压up、un。
(15)
根据up、un可得到桥臂输出电压uout和环流激励电压uz,为便于联立平衡方程,将各频次三角函数转化为Axsin(ωxt)+Bxcos(ωxt)的形式。
(16)
Step 3:基于基尔霍夫定理得到输出电压和环流激励电压表达式。
以上输出电压uout和环流激励电压uz是根据MMC内部电气量耦合关系推导得到的。此外,uout和uz还可以根据MMC外部电气量间的关系和基尔霍夫定理推导得到,如式(17)所示。
(17)
Step 4:联立平衡方程并求解。
将式(8)~(9)代入(17),并与式(16)联立,等式两边各频次三角函数的系数应相等,由此可得式(18)所示的平衡方程。
(18)
平衡方程组参数及变量如表1所示。
表1平衡方程组参数/变量
Tab.1Parameters and variables of the equilibrium equations
MMC参数和电机参数由其自身确定,而注入参数则由注入控制策略给定。结合上节的控制架构,可以将稳态时的被控制量Uc0、id、iq、iz2、izh视作已知量,对应的控制量Mz0、M、θ、Mz2、θ2、Mzh1、θh1、Mzh2、θh2视作未知量,进而得到待求解方程组。由于方程组达到9阶且高度非线性,难以得到解析解,因此可采用牛顿-拉夫逊法求其数值解[22]。
3 高频注入切换点与最优参数计算方法
3.1 切换点计算
MMC子模块电容电压脉动随着运行频率和负载的变化而变化,当脉动过大时,子模块电容将降低可靠性。因此需将子模块电容电压脉动限制在约束范围内,如式(19)所示。其中,RF表示脉动系数,ΔUc表示实时电压与额定值的差值,下标lim表示限制值,ε1表示容差。
(19)
假设频率f保持不变,则电容电压脉动随着负载转矩的增加而增加,当电压脉动系数等于临界值时,此时的运行工况点(f,TL)即为切换点。由于难以获得待求解方程的解析形式,本文采用弦线法求取切换点,即采用差商代替牛顿公式中的导数,得到以下离散化形式:
(20)
当满足式(21)所示条件时停止迭代,此时的TL_k+1即为该频率下的切换点负载。
(21)
当频率发生改变时,切换点亦随之改变。以Δf为步长计算不同频率下切换点,直至频率达到额定频率或切换点转矩达到额定转矩,此时所有切换点的连线即为切换曲线。
有两点需要特别说明:首先,切换曲线的获取是基于稳态模型的推导,考虑到电机运行状态发生变化时存在的过渡过程,本方法主要适用于时间常数相对较大的大容量电机驱动场景。在此类场景中,由于动态过程相对缓慢,可以采用稳态分析方法对动态过程进行近似评估,从而确保切换曲线的准确性和实用性;其次,通过上述方法计算得到的f-TL曲线是切换曲线的一种表现形式,其本质是在特定的电机控制策略下,为满足MMC电容电压脉动约束要求而确定的“频率-临界负载”关系。针对不同类型的负载,可以对切换曲线进行灵活调整。例如,在恒功率负载场景下,可以采用f-P(频率-功率)切换曲线;而在流体类负载场景下,由于频率与负载转矩之间存在明确的对应关系,切换曲线可以进一步简化为特定的切换频率点。此外,对于不同类型的负载,还可以通过将其等效为转矩,统一采用f-TL切换曲线进行注入策略的判定,从而提高了方法的通用性和实用性。
3.2 高频注入最优参数计算
高频注入法可以有效抑制子模块电容电压脉动,但其注入的高频电压和环流占用了调制空间,存在过调制的风险。为保证变频器工作于线性调制区,MMC的电压调制波幅值应小于一定限值,如式(22)所示。
(22)
此外,高频注入法增大了桥臂电流,提高了器件电流应力和损耗。因此,针对采用高频注入法的MMC变频驱动系统,其优化目标应为“在子模块电容电压脉动和调制波幅值不超限的条件下,桥臂电流最小”,即:

(23)
由式(4)可知,参数km和k通过多层级耦合机制共同作用于系统特性,具体表现在以下三个方面:
1)电容电压脉动约束:主要受k参数调控,当k趋近于1时,谐波对消效果增强,显著降低脉动幅度,但会引发高频环流幅值上升;km变化不影响对消效果,但会略微影响高频脉动,然而由于高频脉动分量幅值较小,因此km变化对整体的脉动幅值影响较小。
2)调制波幅值约束:与km和k呈正相关耦合,两者增大将导致调制波幅值逼近安全阈值(mmax≤mlim)。
3)高频环流特性:呈现与km负相关、与k正相关的耦合特性,当km减小或k增大时,桥臂电流显著增加。
由此可以发现参数选择存在显著目标冲突:当追求注入的桥臂环流最小时,km应当尽可能趋近于1,k应当尽可能趋近于0,但是过大的km将导致调制波幅值超限,过小的k将导致电容电压脉动抑制效果不足,电压脉动超限。因此,当脉动系数和调制波幅值均最接近限制值时,调制空间和电压脉动约束空间得到充分的利用,km取得最大值,k取得最小值,此时注入的高频环流最小。综上,式(23)所示最优化问题可以等价转化为式(24)的形式。
(24)
此时问题转化为了一个无约束条件的多目标优化问题。为便于求解,通常将多个目标函数归一化后采用加权法转化为单目标优化问题,如式(25)所示:
(25)
权重的选择可由不同目标函数的精度决定,精度要求越高,则权重系数越高,令:
(26)
则加权目标函数的优化精度要求如式(27)所示:
(27)
最优化问题的求解方法有很多,如梯度下降法、牛顿法、信赖域法、智能算法等,需要针对具体优化问题进行合理选择。由于难以获得式(25)所示的目标函数的准确表达式,因此本文基于表2所示系统参数,选择了数个工况点进行逐点遍历以探索目标函数与变量的映射关系。以f=5 Hz,TL=0.4p.u.为例,目标函数随km和k变化的结果如图4所示,可以看出目标函数关于km和k的偏导数呈分段近似线性。从收敛速度和计算量考虑,本文采用变步长梯度下降法进行求解。
表2MMC变频驱动系统主要参数
Tab.2Main parameters of MMC variable-frequency drive system
梯度下降法的基本思想是向函数上当前点对应梯度(或者是近似梯度)的反方向的规定步长距离点进行迭代搜索。为提高收敛速度同时避免跨越最优解,本文采用一阶信赖域法进行变步长搜索。其基本思想是采用一阶函数对目标函数进行拟合,当拟合效果好时增加步长,当拟合效果差时缩小步长。具体搜索过程如下:
Step 1:设置初始点x0=(km0,k0)T,初始步长α=α0。
图4目标函数随km和k变化(f=5 Hz,TL=0.4p.u.)
Fig.4Objective function varies with km and k (f=5 Hz, TL=0.4p.u.)
Step 2:采用差商法计算近似偏导数,从而获得近似梯度,令。
Step 3:当fobjj+1≤ε时,输出xj+1,迭代停止。
Step 4:令,,若γj >0.75,则α=2α; 若γj< 0.25,则α=α/4; 否则α不变。
Step 5 若γj≤ 0,则不接受当前点并退回上一点,即xj+1=xj;否则接受当前点进行下一步迭代。转入Step 2。
3.3 算例分析
3.3.1 切换点
按照上述高频注入切换点计算方法,取RF lim=5%,Δf=1 Hz,通过MATLAB计算得到切换点表并绘制成图5所示切换曲线。在PLECS中建立MMC变频驱动系统仿真模型,代入系统参数及切换点数据,以运行频率3 Hz、5 Hz、7 Hz为例,仿真结果如图6所示。从图中可以看出,子模块电容电压脉动系数分别为4.985%、4.99%、4.995%,与目标限制值RF lim的相对误差小于0.2%,验证了切换点计算方法的正确性。
图5高频注入切换曲线
Fig.5High-frequency injection switching curve
3.3.2 最优注入参数
以f=5 Hz,TL=0.4p.u.为例,取mlim=0.95,ε1=0.05,ε2=0.01,迭代过程如表3所示。迭代7次后,目标函数值已达到精度要求,此时km和k即为最优参数。代入最优参数进行仿真,结果如图7所示,可以看出电容电压波动系数为5.15%,调制波最大值为0.943,与目标值误差在容差范围之内,验证了最优注入参数计算方法的正确性。
图6切换点子模块电容电压波形
Fig.6Switching the capacitor voltage waveform of the point module
表3迭代过程示例
Tab.3Example of iterative process
图7采用最优参数后MMC关键电气量仿真波形
Fig.7Simulation waveform of key electrical quantities of MMC adopting optimal parameters
基于最优注入参数计算方法,以固定的步长Δf、ΔTL遍历电机频率f∈[fmin,fmax] 与负载转矩 TL∈[TLmin,TLmax] 构成的工况空间,求解每个工况点(f,TL)下的高频注入参数最优解(km,k),最终生成以(f,TL)为索引的高频注入参数基准表。表的覆盖密度与工况范围需根据实际应用需求设计,本文取Δf=1 Hz,ΔTL=1 N·m, f∈[1 Hz,15 Hz] 与负载转矩 TL∈[TL_switch,TL_rate](TL_switch为当前频率的切换点转矩,TL_rate为额定转矩),计算得到的参数基准表如表4所示。在具体应用时,将离线计算得到的最优高频注入参数基准表固化到控制器中,可快速匹配当前工况需求。
表4高频注入参数基准表示例
Tab.4Example of high-frequency injection parameter benchmark
4 高频注入参数在线自适应修正策略
针对实际运行中工况变化引发参数漂移导致的控制性能劣化问题,本文在离线计算最优参数基准表的基础上,提出一种高频注入参数在线自适应修正策略,通过实时检测电容电压脉动和输出调制波,对km、k进行修正,以补偿模型参数偏差及工况变化带来的影响,形成“离线全局优化+在线局部寻优”的协同优化架构,既确保快速响应,也可以应对模型误差和工况变化。
根据式(4)可知,当k增大时,需注入的高频环流增大,控制环流所需的调制比增大,脉动抑制效果增强,因此mmax增大、RF减小;当km增大时,由于对消比例系数不变,RF基本保持不变,同时注入的共模电压增大,需注入的高频环流减小,其对mmax的影响可做以下估算:
当注入共模电压比例系数变化Δkm时,相应的调制波变化Δmh如式(28)所示。
(28)
高频注入环流的调制波的计算公式如式(29)所示,将式(9)代入式(29),可以得到注入环流调制波变化如式(30)所示。
(29)

(30)
其中,
(31)
根据绝对值不等式可得:
(32)
当k、km满足式(33)时,mmax随着km单调递增。
(33)
基于第3节计算得到的最优参数表,式(33)左右两边表达式的最大值和最小值随频率变化的结果如图8所示。从图中可以看出,不等式左边恒小于右边,因此mmax随着km单调递增。
图8式(33)随频率变化曲线
Fig.8Frequency-dependent curve of equation (33)
由以上分析可知,电压脉动幅值随k单调递减,调制波幅值随km单调递增。尽管k和km的变化同时会影响电压脉动和调制波幅值,但是由于查表得到的k和km参数已接近最优解,此时微调km对电压脉动的影响可以忽略,因此可以基于电压脉动幅值反馈对k进行独立调节,同时基于调制波幅值反馈对km进行调节,使系统始终围绕“电压脉动≤阈值、调制波幅值≤安全裕度”的边界运行,并逐步向注入电流最小化的局部最优收敛,高频注入参数在线修正策略如图9所示。
图9高频注入参数在线修正策略
Fig.9Online adjustment strategy for high-frequency injection parameters
5 实验验证
为了验证本文提出的优化方法的有效性,在MMC小样机上进行了实验验证。实验系统如图10所示。参数与第3节仿真参数一致。由于实验中需要同时采集系统控制过程量(f、m、k、km等)与电气量,为便于观察对比,实验数据基于状态数据采集系统获取,主控制器将传感器信号、控制过程信号通过光纤传输至数据采集板,再通过以太网传输到上位机,基于LabVIEW实现实时显示和储存。
图10MMC变频驱动系统实验平台
Fig.10MMC variable frequency drive system experimental platform
5.1 切换过程
为验证高频注入模式切换策略的性能,在f=5 Hz工况下开展负载转矩阶跃实验(空载→0.3p.u.→空载),图11~12对比了固定模式与自动切换策略的控制效果。为便于观察,对切入和切出高频注入模式(图11(b)、图12(b))中iz波形的横坐标进行了放大。实验数据显示:当突加0.3p.u.负载时,固定无注入模式电容电压剧烈波动(88~115 V,峰峰值27 V)并引发电机频率振荡(图11(a)),而自动切换策略在负载突变0.02 s后即激活高频注入,将电容电压稳定在95.1~105.2 V(脉动系数5.05%),且在电机频率恢复的过程中未出现明显振荡;从图12(a)、图12(b)对比可以看出,保持高频注入模式在负载突卸后仍注入了高频共模电压和高频环流,这使得电容电压存在高频脉动分量(幅值为额定电压的0.71%);而自动切换策略在突卸负载0.01 s后即切出高频注入模式,避免继续注入不必要的高频环流和高频共模电压,既降低了控制复杂度,也消除了电容电压高频脉动。
图11突加负载实验结果
Fig.11Experimental results of sudden load test
5.2 固定高频注入参数和查表优化对比
为对比传统固定参数的高频注入法和参数查表优化的高频注入法在控制性能上的差异,以下述动态过程为例展开实验验证。该系统首先启动并稳定运行在f=5 Hz,TL=0.3p.u.工况,在实验进行到t=4 s时刻,TL在1 s内逐渐升高到0.6p.u.。实验分别采用固定参数(k=0.8,km=0.8)和参数查表高频注入法,所得结果如图13和图14所示。可以看出,当系统运行在f=5 Hz,TL=0.3p.u.工况时,固定参数高频注入法电容电压的脉动系数为1.85%,调制波幅值为0.84,环流幅值为8.45 A,而参数查表高频注入法脉动系数为4.63%,调制波幅值为0.955,环流幅值为3.26 A。相比之下,后者在电压脉动和调制波允许的范围内,使环流幅值下降了61.4%。随着TL的升高,采用参数查表高频注入法的km和k能够随之调整,使得电容电压脉动系数、调制波幅值、环流幅值最终稳定在4.75%、0.937和13.67 A,与固定参数高频注入法相比,环流幅值降低了23.4%。值得注意的是,与理论计算结果相比,实验结果中电容电压脉动系数和调制波幅值与设定的限制值(分别为5%和0.95)存在一定的偏差。这种偏差可能源于多种非理想因素,包括但不限于模型参数误差、线路中的杂散电阻和杂散电感、三相负载的不对称性、脉冲死区效应以及控制器的延时等。
图12突卸负载实验结果
Fig.12Experimental results of sudden unload test
图13固定参数高频注入法实验结果
Fig.13Experimental results of high-frequency injection method with fixed parameters
图14参数查表高频注入法实验结果
Fig.14Experimental results of high-frequency injection method with lookup table
5.3 在线修正策略
在相同工况条件下,高频注入参数在线修正的实验结果如图15所示。在t=1 s时刻系统启动在线优化过程,此时子模块电容电压脉动幅值小于5 V,调制波幅值大于0.95,在比例-积分(proportional-integral,PI)调节器的作用下,k、km逐渐减小。当PI调节器输出达到稳定状态时,电容电压脉动幅值为5.005 V,调制波幅值为0.951,均符合预设的约束条件。在此过程中,桥臂环流幅值由3.26 A减小至2.7 A,降幅达17.2%。随着TL的升高,电容电压脉动和调制波幅值亦随之发生变化,在PI调节器的持续调节下,k、km逐渐增大并趋于稳定。此时,电容电压脉动系数、调制波幅值、环流幅值分别稳定在5.02%、0.947和12.69 A,与基于参数查表法的结果相比,环流幅值实现了7.17%的进一步降低。实验结果表明,采用在线修正策略后,电容电压脉动系数和调制波幅值可以逐步逼近其限制值,从而有效削弱了模型误差等不利因素的影响,使得环流幅值得到进一步的降低。需要注意的是,从图中可以看出,在负载增加过程中,电压脉动幅值出现了小幅度的超调(+0.26 V),当负载稳定后,脉动幅值在3 s内逐步减小至5.02 V,达到预定的约束目标,这是由于对km和k的调节是步进阶梯式的,需要实时检测电容电压脉动系数和输出调制波幅值,而检测周期与运行频率成反比,其频率越低,则需要的调节过程越长。尽管电容电压短时(秒级)脉动少量超限通常不会造成损害,但在高精度应用中仍需进一步改进。
图15高频注入参数在线修正实验结果
Fig.15Experimental results of online adjustment of high-frequency injection parameters
进一步对比不同频率和负载条件下,采用固定参数(km=0.8,k=0.8)以及文献[19-21]所述方法(文献[19-21]思路类似,均为随工况变化调整k,从而降低注入环流幅值,因此文中以文献[21]为例进行对比,即km=0.8,k=1-f/frate,frate为额定功率)与本文所提方法的运行特性,结果如表5所示。数据表明,采用固定参数和文献[21]所提策略在不同的工况下,均存在“过调控”或“欠调控”的问题。如固定参数法在f=1 Hz、TL=0.2p.u.和f=9 Hz、TL=1p.u.的工况下,电压脉动超限,文献[21]所提方法在f=7 Hz、TL=0.8p.u.和f=9 Hz、TL=1p.u.的工况下,电压脉动超限,且两种策略在所有表中实验工况下,调制波幅值均未逼近限制值。而采用本文策略时,对于各种工况,均可保证脉动系数和调制波幅值尽可能逼近限制值,从而使得系统在满足约束条件的情况下,尽可能降低环流幅值。
表5不同策略多工况对比实验结果
Tab.5Comparative experimental results under multiple working conditions with different strategies
6 结论
针对MMC变频器在低频运行时电容电压脉动过大的问题,提出了一种参数查表自适应的高频注入法。该方法基于精确闭环稳态模型,离线搜索得到高频注入切换点和最优注入参数表。根据实时检测的电容电压脉动系数和输出调制波幅值,在线修正k和km,提高了控制性能,降低了对模型参数准确度的依赖性。通过仿真和实验对比分析,可以得出以下结论:
1)与固定参数高频注入法相比,改进的高频注入法可以实现“满足电容电压脉动和调制波幅值约束条件的前提下,注入电流最小”的目标,既拓展了安全工作区,也减小了安全运行区内所有工况点的桥臂电流。
2)通过预先生成的高频注入参数基准表离线计算,为在线修正提供优化起点,而在线自适应修正机制通过实时反馈电容电压脉动与调制波信息,通过PI调节器在约束边界内动态调整注入参数。该机制可以补偿模型误差并追踪工况变化后的新最优平衡点,从而在保证电压脉动抑制能力和系统运行在线性调制区的前提下,使注入电流始终逼近当前工况的理论下限,显著提升系统的鲁棒性与动态适应性。
3)针对在线参数修正方法的可行性,本文给出了式(33)所示判定条件,其受多个系统参数的影响,需具体情况具体分析。若不等式不能保证恒成立,则在线优化时可考虑对k、km先后优化以解耦,同时需增加mmax随着km单调递增/递减性的判断,但是会牺牲一定的调节速度,其细节有待进一步探索。
4)在动态过程中采用稳态模型求得的参数表虽可实现控制目标,但受电机加速度、转动惯量变化及电磁-机械能量耦合的影响,会出现瞬态电容电压脉动和调制波幅值略微超限的现象。虽然超调持续时间较短,但在高精度应用中仍需改进。需要特别注意的是,由于在线修正k和km需要实时检测电容电压脉动系数和输出调制波幅值,而检测周期与运行频率成反比,因此在极低频运行时,动态响应性能将受较大影响。这一问题在负载快速变化的情况下尤为明显,未来需研究基于预测的延迟补偿算法来改善低频动态性能。




