摘要
为提高远程制导火箭的性能和设计效率,建立了远程制导火箭多学科参数化模型,实现制导火箭高精度性能仿真。提出了基于改进增广径向基的序列近似优化方法,通过各向异性技术提高增广径向基模型的泛化能力,采用递归演化实验设计和快速交叉验证提高近似建模效率,并应用非精确搜索策略进行序列采样,结合算例验证了所提出方法的有效性。开展了远程制导火箭序列近似优化设计,在满足设计约束的前提下,最大射程相较优化前提高了16.7%。
Abstract
To improve the design performance of long-range guided rockets, a multidisciplinary parametric model of long-range guided rockets was first established to achieve high-precision performance simulation of guided rockets. A sequence approximation optimization method based on an improved augmented radial basis function was proposed, which enhanced the generalization ability of the augmented radial basis function model through anisotropic techniques. Recursive evolution experimental design and fast cross-validation were used to improve the efficiency of approximation modeling, and an imprecise search strategy was applied for sequence sampling. The effectiveness of the proposed optimization method was verified through numerical examples. A sequence approximate optimization design of the long-range guided rocket was carried out, and the maximum range increase by 16.7% compared to before optimization while satisfying design constraints.
远程制导火箭(long-range guided rocket,LGR)自诞生以来,在历次实战中显示出强大威力,已成为各国竞相研制的武器系统之一[1-3]。远程制导火箭相较于战术导弹成本更低,且拥有远超常规火箭弹的射程范围、杀伤威力以及打击精度,已广泛融入现代化武器装备体系。随着武器现代化水平的提高,远程制导火箭高性能、低成本、高可靠的设计需求日趋迫切,对现有设计方法提出了更高要求。
远程制导火箭是由多个分系统构成的复杂系统,其设计过程具有多学科、强耦合、非线性、高耗时等特点[4]。然而,现有的优化设计方法与复杂多学科仿真模型结合效率较低,很大程度上限制了远程制导火箭优化设计的工程适用性。因此,通过近似建模技术降低计算复杂度,提升总体设计优化效率,对提高远程制导火箭性能具有重要意义[5-6]。
基于近似模型的优化设计,也称为序列近似优化(sequential approximation optimization, SAO)方法,已被广泛应用于复杂系统优化设计领域。序列近似优化方法的主要内容包括实验设计、近似建模和序列采样等。实验设计为近似模型提供训练样本集,近似模型作为原耗时模型的替代用来快速准确地预测模型输出,序列采样则可用于提高模型精度以及寻找最优解等。常用的近似模型包括多项式混沌展开(polynomial chaotic expansion,PCE)、径向基函数(radial basis function,RBF)、克里金(Kriging)、支持向量回归(support vector regression,SVR)方法等[7-8]。基于近似模型和样本的现有状态,序列采样可以对训练样本进行扩充。常用的采样准则包括潜在最优性准则[9]、信赖域准则[10]、改进期望准则[11](expected improvement,EI)、改进概率准则[12](probability of improvement,PI)等。
序列近似优化方法在飞行器优化设计领域得到了广泛应用。例如,胡嘉欣等[13]基于径向基神经网络和遗传算法提高了机翼结构优化的设计效率。张海瑞等[14]基于克里金模型和期望改善准则提出了气动-弹道一体化飞行器外形优化设计方法。陈树生等[15]基于代理模型全局优化和伴随梯度局部优化的方法,对宽速域高超声速飞行器的布局参数和剖面形状进行了分步优化。宋少倩等[16]引入基于局部增强加点策略的Kriging模型,以航程最优进行固体火箭发动机优化设计。Tola等[17]综合考虑了内弹道热载荷和机械载荷下推进剂装药的完整性,实现了固体发动机药柱的优化设计。Hebbal等[18]基于加法标度函数和高斯过程建立多保真度近似模型,并将其应用于飞行器气动外形优化设计。Wu等[19]开发了一种基于RBF的设计方法来评估固体火箭发动机(solid rocket motor, SRM)的一般设计参数。然而,上述研究主要集中在优化气动或发动机等单一学科上,难以直接适用于远程制导火箭多学科总体优化设计。远程制导火箭多学科优化设计需要综合考虑各学科间的耦合关系,所涉及的变量较多,优化问题维度较高。对现有序列近似优化方法的采样效率、模型泛化性能、算法寻优能力等提出了更高的要求。因此,需要更高效、适应性更强的序列近似优化方法来实现制导火箭多学科集成优化设计。
本文针对远程制导火箭序列近似优化问题,建立了制导火箭多学科参数化仿真模型,提出了基于改进增广径向基的序列近似优化方法,实现了复杂优化问题的高效求解并得到了性能良好的制导火箭优化设计。通过飞行弹道仿真,与初始设计结果分析对比验证了所提出方法的有效性。
1 远程制导火箭总体性能计算模型
1.1 远程制导火箭多学科模型
1.1.1 几何参数化模型
远程制导火箭弹身为圆形截面,按特征分为头部和弹体两个部分。头部外形参数主要包括头部直径、长度和母线参数等,其中母线参数采用样条曲线描述。弹体参数主要包括长度和截面参数。气动面参数包括翼型参数和翼面参数,研究对象为六边形翼,翼平面形状为梯形。此外,采用弹翼前缘端点与头部顶点相对位置描述弹翼沿弹身纵向位置,采用弹翼位置角和安装角描述弹翼沿弹身的周向位置。翼面偏转角用相对于翼面铰链的旋转角表示。
本文按照弹身和气动面对远程制导火箭几何外形进行参数化描述,同时利用弹身和气动面组合实现全弹几何参数化建模。研究对象采用正常式“×-×”型气动布局,弹身为圆柱形,尾翼沿圆周方向均匀分布且为六边形翼型。参数化模型采用CERO软件构建,远程制导火箭几何参数如图1所示。
图1远程制导火箭几何结构
Fig.1Geometric structure of LGR
1.1.2 气动特性模型
气动特性对远程制导火箭总体性能具有重要影响,总体设计阶段多采用估算法计算气动特性。气动估算法的基本思想是将远程制导火箭分解为弹身和弹翼组合体,并对各部件分别进行气动计算。计算后附加考虑部件之间的影响并叠加各部件气动力。远程制导火箭气动特性主要考虑升力及阻力,全弹升力系数CL及阻力系数CD由式(1)和式(2)分别表示。
(1)
(2)
其中,(C·)Body和(C·)Wing分别表示弹身和尾翼的气动系数。
采用Datcom软件进行气动力估算,将外形输入参数转换为四边形网格并输出。输入主要包括外形参数、飞行工况、参考量和控制参数等。飞行工况主要包括马赫数、攻角和飞行高度等。Datcom输出包括输入信息和气动系数等。
1.1.3 质量计算模型
质量模型是表征远程制导火箭起飞质量、有效载荷以及主要设计参数间关系的方程组。取制导火箭顶点作为弹体坐标系原点;X轴指向弹体尾部为正,与制导火箭纵轴重合;Y轴向上为正,重合于制导火箭垂直对称面;Z轴顺航向向左为正,与制导火箭水平面重合。按上述坐标系计算制导火箭质心,并取瞬时质心为原点计算转动惯量。
1.1.4 动力系统模型
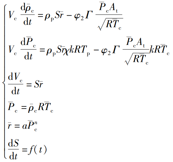
远程制导火箭采用固体火箭发动机作为动力系统,发动机几何参数主要包括燃烧室圆筒段长度、喷管喉径、药柱翼深、翼长、翼宽以及翼倾角等。发动机工作过程涉及燃烧流动和传热,其内部工作过程十分复杂,采用如式(3)所示的零维内弹道方程组对动力系统性能进行描述。

(3)
其中,Vc为燃烧室总自由容积,为燃气平均密度,ρp为推进剂密度,S为装药总燃面面积,为平均燃速,φ2为流量修正系数,Γ为比热比的函数,为发动机平均压强,At为喉部面积,R为气体常数,为平均温度,χ为散热系数,k为比热比,Tp为推进剂定压燃烧温度,a为燃速系数,n为燃速压强指数。
根据所构建的零维内弹道计算模型求解发动机喷管质量流率、推力F、总冲I及比冲Isp等重要参数,具体计算过程及相应假设可参考文献[20]。
1.1.5 弹道仿真模型
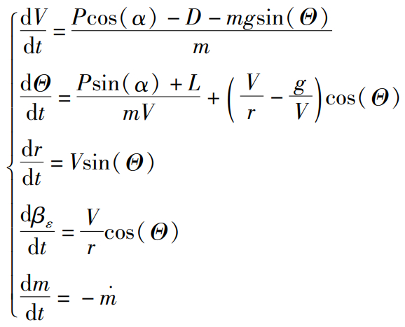
弹道仿真即对设计方案的飞行性能进行仿真模拟,是验证总体方案设计合理性的重要环节。弹道学科模型将制导火箭视为质点,以三自由度弹道方程组进行弹道解算。弹体质心运动规律可描述为:
(4)
式中,V,θ,x,y,m,t分别为远程制导火箭在弹道坐标系下的飞行速度、弹道倾角、横坐标、纵坐标、质量以及飞行时间。
结合弹体受力情况,速度系下弹体质点运动方程为:

(5)
其中,α为仰角,P为发动机推力,D为气动阻力,L为气动升力,g为重力加速度,为质量流率,Θ为当地速度倾角,βε为射程角,r为弹道上任意点的地心距。该式为典型常微分方程组,在给定攻角序列后,可计算得到不同工况下的气动升阻力数据,并可结合质量和动力特性求解全弹道飞行数据。
1.2 学科模块集成
远程制导火箭总体方案涉及几何、气动、质量、动力和弹道等多个学科,其中几何参数化模型为气动和质量学科提供参数基础,动力学科采用固体发动机零维内弹道计算模型,弹道学科采用三自由度弹道仿真模型。同时考虑大气参数与程序攻角序列等,基于总体方案对远程制导火箭进行飞行仿真得到飞行性能数据,具体仿真数据的传播过程如图2所示。
图2多学科仿真数据的传播过程
Fig.2Dissemination process of multidisciplinary simulation data
按照学科划分,对远程制导火箭总体方案进行简要介绍。首先明确方案设计约束,总体方案中涉及的约束较少,主要包括飞行高度低于100 km、发动机质量不超过4 500 kg、弹道末端马赫数应大于2、落速倾角应小于-75°等。发动机为单室单推力固体火箭发动机,平均推力为200 kN,工作时间为40 s左右;发动机采用“椭球形”等壁厚封头,前后封头开口直径均为200 mm;喷管喉径为120 mm,出口外径为290 mm,长度为330 mm。装药构型为翼柱型,翼槽数为9。飞行仿真中,地球模型简化为无自转圆球,攻角序列数量为6。最终得到的总体方案各学科具体参数如表1所示。
根据给定初始条件执行仿真程序,得到总体方案弹道曲线以及飞行参数变化曲线,如图3所示。从图3(a)可以看出,最大飞行高度约为80 km,射程约为940 km。飞行过程中,发动机推力、攻角、速度倾角、马赫数、法向过载、静稳定裕度、配平舵偏角、驻点热流密度、动压随时间变化曲线如图3(b)~(j)所示。发动机工作时间约为45 s,点火后,发动机推力急剧增加并在工作时间内维持在200 kN左右直至降为零。飞行最大法向过载约为4g,最大动压约为220 kPa,均在可承受范围内。经过多次机动后,制导火箭以2.2左右末端马赫数以及-80°左右速度倾角命中目标,这说明方案满足总体设计约束,具有合理性。
表1远程制导火箭总体方案参数设置
Tab.1Overall parameter settings for LGR
图3初始方案飞行性能曲线
Fig.3Flight performance curve of the initial plan
2 基于改进增广径向基的序列近似优化方法
序列近似优化方法被广泛应用于高耗时仿真模型的优化设计中,下面提出基于改进增广径向基的序列近似优化方法,具体包括实验设计、近似建模和序列采样等。应用实验设计方法生成少量样本建立精度相对较低的初始近似模型,采用新增样本对训练集进行逐步扩充,动态更新近似模型。新增样本点在对已有近似模型进行精度校验的同时,还可逐步提高模型精度,从而实现全局最优解的高效预测。
2.1 递归演化LHD方法
序列近似优化过程中,广泛采用拉丁超立方设计(Latin hypercube design,LHD)作为实验设计方法。基于远程制导火箭优化设计所需的变量和范围,通过LHD可获得给定数量的实验样本。将样本带入仿真模型获得输出,从而为远程制导火箭近似建模提供训练集。然而,现有LHD方法大多难以兼顾设计效果和计算效率,且多为样本数量需事先给定的一次性采样方法。近似模型的精度与训练数据规模密切相关,样本冗余会导致资源浪费和过度训练,样本不足则难以保证模型预测精度。因此,动态生成均匀性良好的实验设计对提高远程制导火箭近似建模效率至关重要。
本文引入递归演化拉丁超立方设计[21](recursive evolutionary LHD,RELHD)方法开展实验设计,该方法采用排列信息继承算法更新和优化现有设计,通过递归拆分算法将样本集划分为多个较小的子集以提高计算效率并进行序列扩充。在实际建模过程中,可首先生成数量较小的样本,之后通过RELHD进行序列扩充来逐步实现理想样本数的实验设计。该方法扩充过程如图4所示,从图4中可以看出,现有样本点位置保持不变,新增样本在未采样区域进行均匀填充。该方法能够以较小计算代价实现样本的线性序列扩充,同时兼顾新增样本和已有样本的空间均匀性。
图4RELHD实验设计二维示例
Fig.4Two-dimensional example of RELHD experimental design
2.2 改进增广径向基模型
远程制导火箭优化设计涉及大量高耗时仿真模型的调用,采用近似模型作为仿真模型的替代可有效提高设计效率。常见近似模型中,不同基函数应用于不同问题表现差异明显,模型基函数的选取很大程度上决定了模型的泛化性能。例如,PCE更适用于线性模型的全局预测,而RBF在处理非线性问题时具有明显优势。由于不同模型的基本原理、基函数选择及其参数训练方法不同,建立的近似模型精度存在显著差异。因此,利用不同基函数的特点构建混合近似模型,提高近似模型获取远程制导火箭系统信息的能力具有重要意义。为了利用不同基函数提高近似模型的泛化能力,使序列近似优化更适用于远程制导火箭多学科、非线性、高耗时的特点,构造基于PCE增广的RBF如下:
(6)
其中,λj和ωi分别为PCE和RBF的系数,P1(x)和φi(x)为对应基函数。注意到,φi(x)为Gauss基函数。
(7)
式中,ci为第i个基函数的形状参数。
通过求解式(8)来计算系数λ和ω。

(8)
式中, P1和P分别为P1j(x)和Pij组成的系数矩阵。
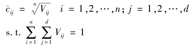
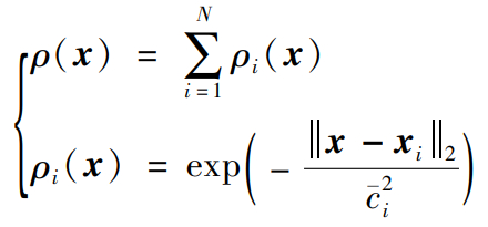
由于样本的空间分布不均匀,基于样本密度选择合适的形状参数可以有效提高元模型的精度。采用样本的局部密度来表征样本的稀疏性,其表示如式(9)所示。

(9)
其中,与形状参数类似,表示样本对局部密度的影响。将训练样本的影响体积归一化,得到每个样本和维度对应的形状参数参考核宽度:

(10)
式中,Vij为训练样本的影响体积。最终的核宽度由比例因子λj乘以得到。

(11)
因此,式(7)中的各向异性表达式可构造为:
(12)
最终各向异性方法改进的增广径向基模型为:

(13)
采用快速交叉验证方法对模型的泛化误差进行评估,该方法的预测误差Δy如式(14)所示,详细推导过程可参考文献[22]。
(14)
式中,Ypre,r和Yr分别为r个训练样本的预测值和实际输出,ωr为对应权重系数。
2.3 非精确搜索采样准则
采样准则是序列近似优化的核心步骤之一,其基本原理是优化式(15)以确定下一个样本。
(15)
式中,为第k次序列采样时的近似模型, X为全样本集,F[·]为基于当前模型和样本点所得的加点准则。
在优化初期,序列采样主要在未知区域进行,以提高模型的准确性。随着元模型的精度逐渐提高,填充准则的主要功能变成了预测最优结果。考虑元模型和最优解的定位不准确,优化早期对填充准则的搜索对整个优化过程意义不大,本文采用基于非精确搜索的采样准则。该准则不需要准确搜索最优点,只需要选取与现有样本存在一定距离且性能有所提升的样本点。同时,引入外部精英库的概念来存储多个较优个体:初代精英库设置为初始实验设计,后续精英库更新过程中,样本数量始终保持不变。非精确搜索的采样过程如图5所示。该操作可以引入差分进化(differential evolution,DE)算法的搜索机制[23],使采样点具有一定的随机性,增加其全局探索能力。同时,非精确搜索逐渐提高了采样点的性能。此外,使用精英库初始化进化算法能够使它们在更少的进化代数中满足终止条件。
图5基于非精确搜索的采样过程
Fig.5Sampling process based on inaccurate search
2.4 算法流程与验证
提出了一种基于改进增广径向基的序列近似优化方法。通过递归演化实验设计获取均匀性良好的初始设计,通过各向异性和快速交叉验证改进的增广径向基实现近似模型快速构建,通过非精确采样准则进行高效自适应采样,所提方法的主要步骤如下。
步骤1:根据设计变量的范围,采用RELHD进行初始采样。
步骤2:调用高精度仿真模型,得到每个采样点对应的目标函数和约束条件,形成训练样本集[xi,yi]和序列采样数k=0的初始精英库。
步骤3:基于样本集构造目标函数和约束条件的近似模型。
步骤4:将精英池设置为DE的初始总体,参考最优值为yN,并使用DE对下一个采样点xk+N进行不准确采样。
步骤5:在xk+N处运行高精度仿真模型,得到填充点的输出yk+N。
步骤6:更新精英池,如果是yk+N<y1,则更新x1=xk+N,y1=yk+N,并重新排序精英池以使其成为y1<y2<···<yN,否则,不更新精英库。
步骤7:确定xk+N到现有采样点的距离以及yk+N和之间的相对误差小于给定的精度ε。
步骤8:当同时满足收敛条件或序列采样频率达到给定的最大值时,转到步骤9,否则转到步骤3。
步骤9:优化终止,输出[xN,yN]作为近似最优解。
为了验证所提方法的性能,选择4个具有代表性的优化基准案例进行测试。测试函数维度从6~20不等,其细节如表2所示,具体表达式参考文献[24]。选择3种具有代表性的序列近似优化算法作为参照组,包括高效全局优化[11](efficient global optimization, EGO)、混合自适应元模型[25](hybrid adaptive meta-model, HAM)和基于代理模型的并行计算全局优化[1](surrogate-based global optimization with parallel computing, SGOP)。上述所有算法在每个例子中独立运行10次,以消除随机因素的影响。算法参数设置如下:示例的种群大小设置为50;将实际模型计算的最大数量设置为500;初始样本大小设置为测试函数维度的3倍。如果优化找到目标最优解或达到真函数计算的最大次数,则优化算法将终止。
表2测试算例简介
Tab.2Description of test cases
各种算法的优化结果如表3所示。表3中每个函数的第一行是从算法的10次运行中获得的最优解的平均值,第二行是10次运行的真实模型计算的平均次数。对于每个函数,从4个算法中获得的真实模型调用的最佳平均值和最少数量用黑体突出显示,表示在本例中具有最佳精度、效率性能的算法。在该示例中,存在算法在500个真实模型计算中没有找到所设置的最优目标值的情况。实际模型计算次数后括号中的数字表示相应算法在10次优化中失败的次数,即未找到目标最优解的次数。从表3中所示的最优解和真实模型调用次数的数据可以看出,所提出的方法在最优解和实际模型计算次数方面都具有明显优势。
表3测试函数优化结果对比
Tab.3Comparison of test function optimization results
3 远程制导火箭序列近似优化设计
下面基于所提出的序列近似优化方法对远程制导火箭序列优化设计问题开展研究,并进行飞行弹道仿真与结果对比分析。
3.1 优化问题
3.1.1 目标函数
总体优化问题的确定,即设定优化目标函数、设计变量和约束条件等,是开展远程制导火箭总体优化设计的前提。其中,目标函数的选取直接影响优化结果的实用价值。优化过程中,需要对设计目标统筹兼顾,在满足约束前提下实现最优设计。远程制导火箭射程远、飞行时间长,其主要任务是给予对方远距离高价值目标精确打击,射程是其重要性能指标之一。因此,选择远程制导火箭射程Rf作为优化目标函数。
3.1.2 设计变量
总体优化并不是将模型涉及的所有参数都作为设计变量进行优化,选取的设计变量应对远程制导火箭性能具有重要影响,同时降低选取变量之间的耦合度。综合考虑,远程制导火箭设计变量及取值范围如表4所示,表中未涉及的参数设为定值。
表4远程制导火箭优化设计变量
Tab.4Optimization design variables for LGR
3.1.3 约束条件
约束条件是模型优化过程中必须满足的前提,主要为设计变量和响应指标约束。在确定目标函数及设计变量后,从应用需求和工程实际出发,确定约束条件如下:
1)发动机质量约束:发动机总质量mmotor≤4 500 kg。
2)飞行高度约束:飞行最大高度Hmax≤100 km。
3)马赫数约束:考虑气动加热问题,最大马赫数Mamax≤15,为保证突防能力与打击效果,末端马赫数Maend≥2。
4)稳定度约束:静稳定裕度η≥0.2。
5)飞行角度约束:飞行攻角最大绝对值|α|max≤20°,配平舵偏角|δ|max≤20°,考虑打击效果及避免触地弹跳,落速倾角Θf≤-75°。
6)过载约束:考虑结构载荷,最大法向过载|nymax|≤7g,最大轴向过载|namax|≤30g。
7)动压约束:考虑结构强度,最大动压qmax≤250 kPa。
8)热流密度约束:驻点热流密度qwmax≤30 MW/m2。
对设计变量进行优化,使设计在满足约束前提下,获得最大纵向射程,远程制导火箭总体设计优化问题定义为:

(16)
式(16)为多维约束优化问题,应用弹道计算程序进行优化面临求解困难。为简化计算复杂度,下面基于动态近似建模方法,应用序列近似优化方法对上述问题进行求解。
3.2 优化结果及分析
序列近似优化过程中,目标函数值迭代过程如图6所示。由图可知,优化结果迭代约620步收敛。通过优化,射程从初始的940 km上升至1 097 km,增长16.7%左右,发动机总质量由初始方案的4 400 kg下降至4 373 kg。初始方案和优化方案的设计变量和飞行性能仿真结果对比如表5和图7所示。
图6目标函数迭代过程
Fig.6Objective function iteration process
表5远程制导火箭优化设计结果
Tab.5Optimization design results of LGR
观察初始方案与优化方案的具体参数和飞行性能,进行设计性能对比分析。由表5可知,几何外形参数中,优化方案的头锥长度明显增加,尾翼安装位置与半翼展位置前移,气动性能提升;动力系统参数中,药柱翼宽增加以获得更大燃面从而提高发动机推力,其余参数变化不大;飞行弹道参数中,发射速度倾角略微增加,攻角序列存在较大变化。由图7可知,制导火箭最大飞行高度提升至100 km左右,发动机推力略微增加,落速倾角与末端马赫数略有提升,最大法向过载显著增加,动压变化较小,飞行性能变化与参数分析结果较为一致。
图7初始方案与优化方案飞行性能比较
Fig.7Comparison of flight performance between initial and optimized plans
4 结论
1)建立了远程制导火箭总体性能分析模型。按照几何、气动、质量、动力和弹道等学科,构建远程制导火箭总体性能计算模型,给出初始方案并完成弹道仿真。
2)提出了基于改进增广径向基的序列近似优化方法,通过递归演化实验设计和快速交叉验证提高近似建模效率,并基于非精确策略进行自适应采样,算例结果显示所提出方法具有明显优势。
3)针对远程制导火箭多学科优化问题,采用所提方法得到了满足约束且性能优越的优化设计方案,射程由初始设计的940 km上升至1 097 km,提高约16.7%。




