摘要
分别采用态-态模型和多温度模型进行11化学组元的高温空气正激波流动数值模拟与分析。态-态模型区分中性分子的振动能级和中性原子的电子能级;多温度模型区分平动-转动温度、各中性分子的振动温度和电子温度。波前气流速度5~11 km/s范围的模拟结果表明:在紧靠激波区域,由于离解和电离反应,分子高振动能级和原子高电子能级的分布低于对应温度下的玻耳兹曼分布;与态-态模型相比,多温度模型下振动能、电子能的激发和各内能模式的热平衡都更晚,化学反应更晚发生但更早结束;多温度模型预测的起因于化学反应的振动能损失偏小、起因于电子碰撞电离的电子能损失偏大,获得的各分子振动温度与电子温度不能准确描述粒子能级的非平衡分布。
Abstract
The StS (state-to-state) model and MT(multi-temperature) model were used to numerically simulate and analyze the high-temperature air flow of 11 chemical species behind normal shock waves. The StS model resolved vibrational levels of neutral molecules and electronic levels of neutral atoms; the MT model distinguished the translational-rotational temperature, vibrational temperatures of neutral molecules, and the electron temperature. Simulation results for velocities ranging from 5 km/s to 11 km/s before the shock front demonstrate that immediately behind the shock wave, due to the dissociation and ionization reactions, the higher vibrational levels of molecules and the higher excited electronic levels of atoms are underpopulated relative to the Boltzmann distribution at the corresponding temperatures. Compared to the StS model, the MT model shows that the excitation of vibrational and electronic energies and the attainment of thermal equilibrium in different energy modes occur later, while chemical reactions also take place later but reach chemical equilibrium earlier. The MT model underpredicts vibrational energy loss from chemical reactions while overpredicting electronic energy loss due to electron-impact ionization. Moreover, obtained derived vibrational temperatures of molecules and electron temperature fail to accurately characterize the nonequilibrium population distributions of particle energy levels.
高超声速飞行条件下飞行器周围流场出现高温,导致空气发生振动激发和离解、电离等化学反应。由于高空空气密度低因而分子碰撞频率小,振动松弛和化学反应的特征时间可以与流动特征时间相比拟,流动呈现高温非平衡流的特征[1]。高超声速高温非平衡流数值模拟中[2],通常采用的热化学模型有宏观多温度(multi-temperature,MT)热化学非平衡模型和精细的态-态(state-to-state,StS)模型两类。多温度模型通过对各模式内能采用不同温度描述热力学非平衡,采用各模式温度的某种平均作为化学反应控制温度以体现热力学-化学耦合。态-态模型则是一种基于能级考虑的精细模型,将位于不同能级的粒子视为独立组元,直接描述各能级粒子的跃迁和化学反应,本质上可以得到更准确的流场信息和非平衡演化规律。但是,态-态模型计算量巨大,广泛用于多维非平衡流动模拟在当前条件下并不现实。空气动力学领域采用态-态模型的研究主要聚焦于封闭静止气体系统中的非平衡过程(也称为零维问题)模拟[3-4],以及一维或准一维非平衡流动模拟,如正激波后流动[5-6]、准一维喷管流动[7-9]、边界层流动[10-11]等。这些研究关注详细的粒子能级分布演化特征,分析微观过程对流动特性的影响规律,探讨宏观热化学模型的适用范围和局限并提出改进思路。
正激波后流动可以说是最典型和最重要的一类非平衡流动,20世纪90年代开始的态-态模型正激波流动模拟始于纯氮[12-13]和纯氧[6],后来发展到5化学组元(N2、O2、NO、N、O)空气[5,14],2009年开始扩展到11化学组元(增加了N+2、O+2、NO+、N+、O+、e-)空气[15]。这些研究一方面关注态-态模型本身的发展,如从只是区分振动能级(振动态-态模型)、只考虑基态电子能级,到采用转振态-态模型、电子能级态-态模型,态-态速率系数的计算方法和精度也在提高;另一方面关注与多温度或双温度模型结果的对比,指出了多温度模型在一些强非平衡条件下的局限性。
对高温空气考虑5化学组元的研究一般是针对波前气流速度u1为3~9 km/s范围的情况。Treanor等[5]对u1为3~4 km/s条件的研究表明,态-态模型和多温度模型结果接近;但Kunova等[16]发现u1接近5 km/s后态-态模型与多温度模型得到的O原子数密度差别最高达到70%;Su等[17]在u1为5.6~8.1 km/s和Gu等[14]在u1为3~7 km/s范围的研究均发现态-态模型得到的NO摩尔分数峰值高于多温度/双温度模型,且差别随u1增大而加剧。
对高温空气考虑11化学组元的代表性工作是针对FIRE Ⅱ 再入轨道点速度高度条件进行的。Panesi等[15,18]对FIRE Ⅱ三个再入轨道点(H={53 km,71 km,76 km},对应u1={10.48 km/s,11.31 km/s,11.36 km/s})条件下的正激波后流动计算中,采用碰撞辐射(collisional-radiative,CR)模型:考虑N的46个和O的40个电子激发态能级,对各分子离子考虑4~5个电子激发态能级,各中性分子的振动能级分布采用各自振动温度下的玻耳兹曼分布描述,离子分子的振动能级和N+、O+的电子能级分布则由N2的振动温度确定。结果表明,H=53 km、u1=10.48 km/s条件下激波后原子的电子能级较早满足电子温度下的玻耳兹曼分布,但H=76 km、u1=11.36 km/s条件下原子的高电子能级由于电离或辐射而明显低于玻耳兹曼分布;分子的电子能级仅在激波后非常小的区域内偏离玻耳兹曼分布。Du等[19](2022年)的研究还包含了FIRE Ⅱ的H=63 km、u1=11.14 km/s轨道点。除对N和O分别考虑46和40个电子能级外,对分子(包括分子离子)各考虑了4~11个电子能级,对N2和O2的电子基态分别考虑68个和47个振动能级。结果表明近激波区域,高振动能级由于快速的离解反应,密度远低于玻耳兹曼分布,原子的高电子激发态能级也表现出明显的欠分布。获得的非平衡区域各内能模式温度与多温度/双温度模型的计算结果有明显差异,但平衡值一致。
综上,现有采用态-态模型的正激波流动研究涵盖了很宽的速度(温度)和压力(密度)范围,获得了不同条件下的流动热化学特性(包括详细的粒子能级分布)非平衡演化特点,及各类重要跃迁机制和化学反应的贡献。在与多温度/双温度模型的对比方面,5化学组元情况主要围绕NO峰值和振动温度分布开展,11化学组元情况仅与双温度模型对比了温度分布。
本文针对40~60 km高空大气条件,在波前气流速度5~11 km/s范围,考虑11化学组元,开展正激波流动的态-态模型与多温度模型对比研究,从各类条件下的重要跃迁机制和对非平衡源项的贡献等方面,分析两种热化学模型得到的非平衡演化过程差异的内在原因。根据Panesi等[18]得出的分子的电子激发能级非平衡分布区域很小和Campoli等[20]指出的忽略NO振动激发能级会导致NO密度峰值降低1至2个数量级的结论,本文态-态模型中仅考虑中性原子(N、O)的电子激发能级、考虑中性分子(N2、O2、NO)电子基态的振动能级、分子离子(N+2、O+2、NO+)的振动能级,以及除N和O外所有重粒子的电子激发能与自由电子平动能处于平衡,统一由电子温度描述。多温度模型则包含平动-转动温度、中性分子各自的振动温度,以及描述自由电子平动能和所有重粒子电子激发能的电子温度,共计5个温度。
1 热化学模型与流动控制方程
采用冻结激波假设,紧靠激波处气流参数采用量热完全气体假设下激波关系式确定,即宏观动能的减少全转为平动-转动能的增加。之后开始发生振动、电子能激发和化学反应。激波后计算域和多温度、态-态模型基本思想如图1所示。
图1激波后计算域及热化学模型示意图
Fig.1Schematic diagram of computational region and thermochemical model after shock wave
多温度模型下流动控制方程包括各化学组元的连续方程、动量方程、总焓方程、各中性分子的振动能方程、总电子能方程,根据求解控制方程得到的振动能和电子能按照该内能模式的内部平衡导出对应温度,综合各内能模式温度确定化学反应控制温度。组元连续方程中的质量生成项和能量方程中的源项计算参见文献[21],采用Park高温空气反应模型[22],平动-振动松弛时间采用Kim等在Millikan和White计算式及Park高温修正基础上的修正参数[23]计算。
态-态模型中N2、O2、NO基态电子能级上分别有61、46、48个振动能级[24],N和O分别有46和40个电子能级[15],将各能级上的粒子视为独立组元,共有247个组元。下面详述态-态模型基元反应过程、流动控制方程及源项表达式等内容。
1.1 基元反应过程
影响中性分子基态电子能级上振动能级粒子数变化的主要有三类振动能级跃迁过程和四类化学反应,分别为:
1)振动-平动(vibration-translation,VT)能量交换过程:
(1)
式中,AB(v)表示位于振动能级v上的中性分子,X表示参与碰撞的中性重粒子(N2、O2、NO、N、O)。
2)振动-振动(vibration-vibration,VV)能量交换过程:
(2)
3)振动-电子(vibration-electron,Ve)能量交换过程:
(3)
4)重粒子碰撞引起的离解复合反应(dissociation-recombination reaction induced by heavy-particle collision,DRH):
(4)
5)电子碰撞引起的离解复合反应(DR reaction under electron impact,DRe):
(5)
6)两个中性置换(Zeldovich exchange,ZE)反应:
(6)
(7)
7)电荷交换(charge exchange,CE)反应:
(8)
式中,AB+表示AB对应的离子(不区分振动能级),X+表示X对应的离子。
中性组元相关的VT、VV过程和DRH、ZE反应的具体反应和速率系数详见文献[25],对包含离子的DRH,令AB(v)与X+碰撞反应的速率系数和AB(v)与X碰撞反应的相等。表1给出了电子或离子引起的振动能级跃迁过程与相关反应。对Ve过程和DRe,采用Laporta等根据当地复杂势(local complex potential,LCP)计算得到的碰撞截面,然后积分得到速率系数[26-28];对CE反应,由Park宏观反应体系[22]通过文献[17]给出的折合式得到速率系数。DRH、DRe、ZE、CE反应及结合性电离(associative ionization,AI)反应的逆反应生成的N和O,均认为处于电子基态能级。
影响N和O各电子能级粒子数变化的过程主要有重粒子碰撞的原子电子能激发(electronic excitation of atom induced by heavy-particle collision,EaH)过程和重粒子碰撞的原子电离反应(ionization reaction of atom induced by heavy-particle collision,IaH),以及电子碰撞的原子电子能激发(Ea under electron impact,Eae)过程和电子碰撞的原子电离反应(Ia under electron impact,Iae),见表2。对EaH和IaH,采用Annaloro等[29]导出的速率系数公式;对N和O前三个电子能级的Eae过程和Iae反应,采用Bultel等[30]给出的速率系数,对于更高能级,采用Panesi等[15]通过积分碰撞截面得到的速率系数解析表达式。
表1带电粒子碰撞引起的振动能级跃迁过程和化学反应
Tab.1Vibrational energy level transition processes and chemical reactions induced by charged particle collisions
表2原子的电子能级激发过程和电离反应
Tab.2Excitation process and ionization reaction of atomic electronic energy levels
注:方程中H代表重粒子组元。
上述Ve、DRe、Eae及Iae过程采用电子温度,其余过程采用平动-转动温度计算速率系数。态-态模型下微观过程的逆向速率系数由细致平衡原理得到。
1.2 流动控制方程
正激波后定常一维无黏流动的控制方程组如下。
总体连续方程:
(9)
组元连续方程:
(10)
动量方程:
(11)
总焓方程:
(12)
电子能方程:

(13)
式(9)~(13)中,ρ表示混合气体的密度,u为速度;态-态模型下共有247个组元,=247,ci表示第i组元的质量分数,表示单位时间单位体积中生成的i组元的质量;p为混合气体压强,x表示离开激波的距离,h是单位质量气体的焓,pe为电子压强,ee,i是单位质量i组元的电子能,为电子能生成项。
1.3 热力学关系
单位质量的第i组元内能包含平动能etr,i、转动能erot,i、振动能evib,i、电子能ee,i和生成焓:
(14)
其中重粒子的平动和转动能由平动-转动温度Ttr计算;中性分子的振动能直接由其所处能级描述,分子离子(N+2、O+2、NO+)的振动能根据谐振子假设用电子温度计算;对N和O考虑电子激发能级,其电子能由所处电子能级确定;假设除N和O外所有重粒子的电子激发能和自由电子的平动能处于平衡,统一由电子温度描述。
高温热完全气体化学反应混合物的状态方程为

(15)
式中等号右端第二项即为电子压强pe,Te表示电子温度,Ri为第i组元的气体常数,Re-为电子组元的气体常数。
另外,态-态模型本身无振动温度的概念,但为了与宏观多温度模型做比较,令非平衡振动能与等效振动温度对应的平衡振动能相等,从而得出分子组元的等效振动温度Tvib,AB,详见文献[25]。与振动温度类似,可以导出A原子的等效电子激发温度Texc,A:

(16)
式中,和gA(i)分别为A原子第i电子能级的能值和简并度,n为粒子数密度,QAexc为电子配分函数,kB为玻耳兹曼常数。
1.4 组元连续方程和电子能方程中的源项
中性分子组元的质量生成项可表达为
(17)
等号右端项分别为振动能级跃迁、离解复合反应、置换反应、电荷交换反应引起的质量生成项,前三项的详细表达式见文献[25],电荷交换反应引起的质量生成项表达式与置换反应类似。
电子能方程式(13)中的源项为
(18)
1)为重粒子平动能与自由电子(translation-electron,TE)能量交换过程引起的自由电子能生成项:

(19)
式中,
是普适气体常数,
为第i组元的摩尔质量,νe,i为自由电子和i组元(重粒子)的有效碰撞频率,
是普适气体常数,
为第i组元的摩尔质量,νe,i为自由电子和i组元(重粒子)的有效碰撞频率,

(20)
σe,i为自由电子与重粒子的碰撞截面,由相应拟合式[31]得到。
2)为来源于N2、O2、NO三种分子和自由电子间的DRe反应和Ve过程的电子能生成项:

(21)
式中,表示由DRe反应引起的AB(v)分子质量生成,为AB分子由电子碰撞从w振动能级跃迁到v振动能级的速率系数,NA为阿伏加德罗常数,DAB是一个AB分子的离解能。
3)为N和O与电子碰撞的Eae和Iae反应引起的电子能生成项:

(22)
式中,表示由自由电子碰撞电离激发反应引起的A(i)原子质量生成,为A原子由电子碰撞从i电子能级跃迁到j电子能级的速率系数,IA是一个基态A原子的一级电离能。
4)为除N和O外,其余组元的质量生成带来的电子能生成项:

(23)
2 数值方法与程序验证
2.1 数值求解方法
首先改写流动控制方程组。对态-态模型,以(ci,Ttr,Te,u)为求解变量;对多温度模型,以()为求解变量。从原始控制方程导出求解变量对x导数的表达式。对态-态模型为,其中dci/dx有247个;对多温度模型为,其中dci/dx有11个,dTvib,AB/dx有3个。数值求解上述常微分方程组形式的流动控制方程时,由于各类微观过程的速率差别大,会出现严重刚性问题,故采用了变系数的常微分方程求解器DVODE高效求解方程组[32]。
2.2 程序验证
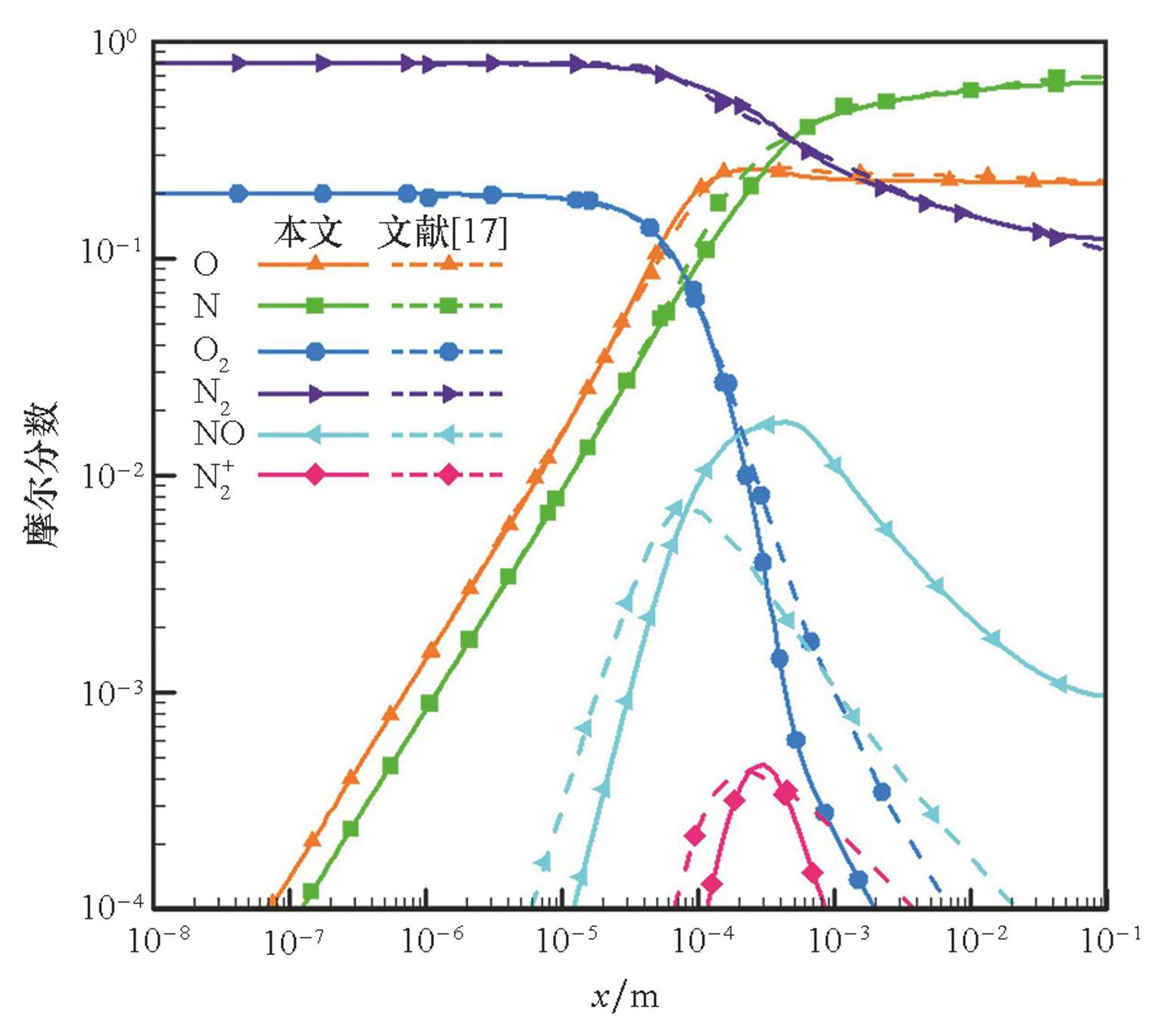
对文献[17]的波前气流条件——T1=298 K,p1=33.33 Pa,u1=8.06 km/s,采用态-态模型进行正激波后流动计算,验证本文数值方法与计算程序的正确性。图2对比了本文和文献得到的组元摩尔分数随离开激波距离的变化。由图可见,本文计算的N2、O2、N及O的摩尔分数变化曲线都与文献非常接近,只是NO和N+2存在差别,这是因为本文采用的反应过程的速率系数与文献有差异。经过进一步与文献[14]比较,可以认为本文得到的NO摩尔分数峰值处于合理范围。另外,本文平动温度和各振动温度及电子温度的变化曲线与文献趋势相同、平衡值一致,不再给出曲线。
3 计算结果与分析
3.1 算例设置
对40 km、50 km、60 km三组高空大气条件和u1分别为5 km/s、7 km/s、9 km/s、11 km/s的四组波前气流速度条件,共计12个算例,分别采用态-态模型和多温度模型开展了正激波后流动计算。下面以60 km高空大气条件(T=247 K,ρ=3.1×10-4 kg/m3)下两个波前气流速度(7 km/s和11 km/s)为代表,进行结果分析。波前气流N2和O2的摩尔分数分别设为0.8和0.2。
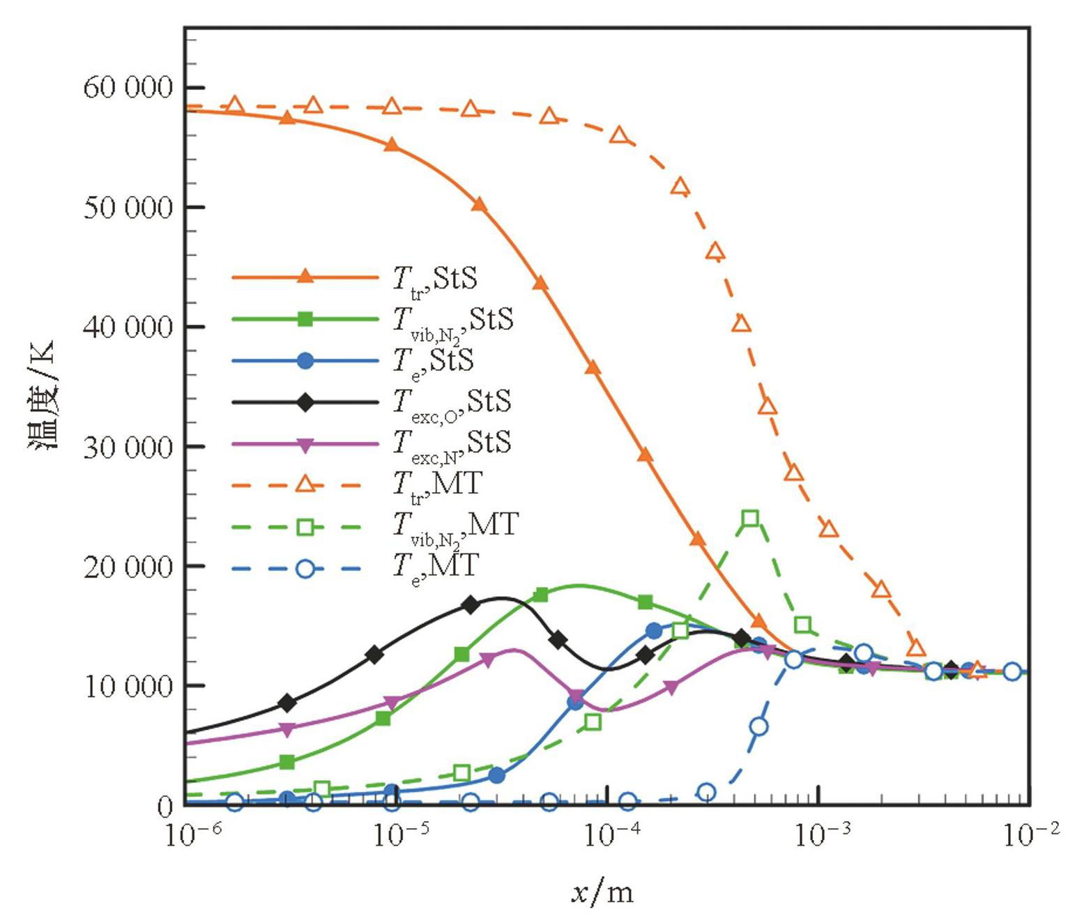
激波后首先发生分子的振动激发,之后进一步发生化学反应和电子能激发。u1=7 km/s条件下O2离解完毕,N2也离解了一半,平衡时N的质量分数约为0.37,只有微弱的电离反应,离子质量分数在10-3量级以下;u1=11 km/s条件下O2和N2均离解完毕,粒子发生了强烈的电子能激发和电离反应,主要的离子是N+和O+,平衡时质量分数分别为0.093和0.016。下面对两个算例,选取其重要的热化学参数对比态-态模型和多温度模型计算结果的差异,结合能量源项、态-态模型得到的粒子能级分布结果分析差异的原因。
3.2 算例结果分析
3.2.1 u1=7 km/s算例结果分析
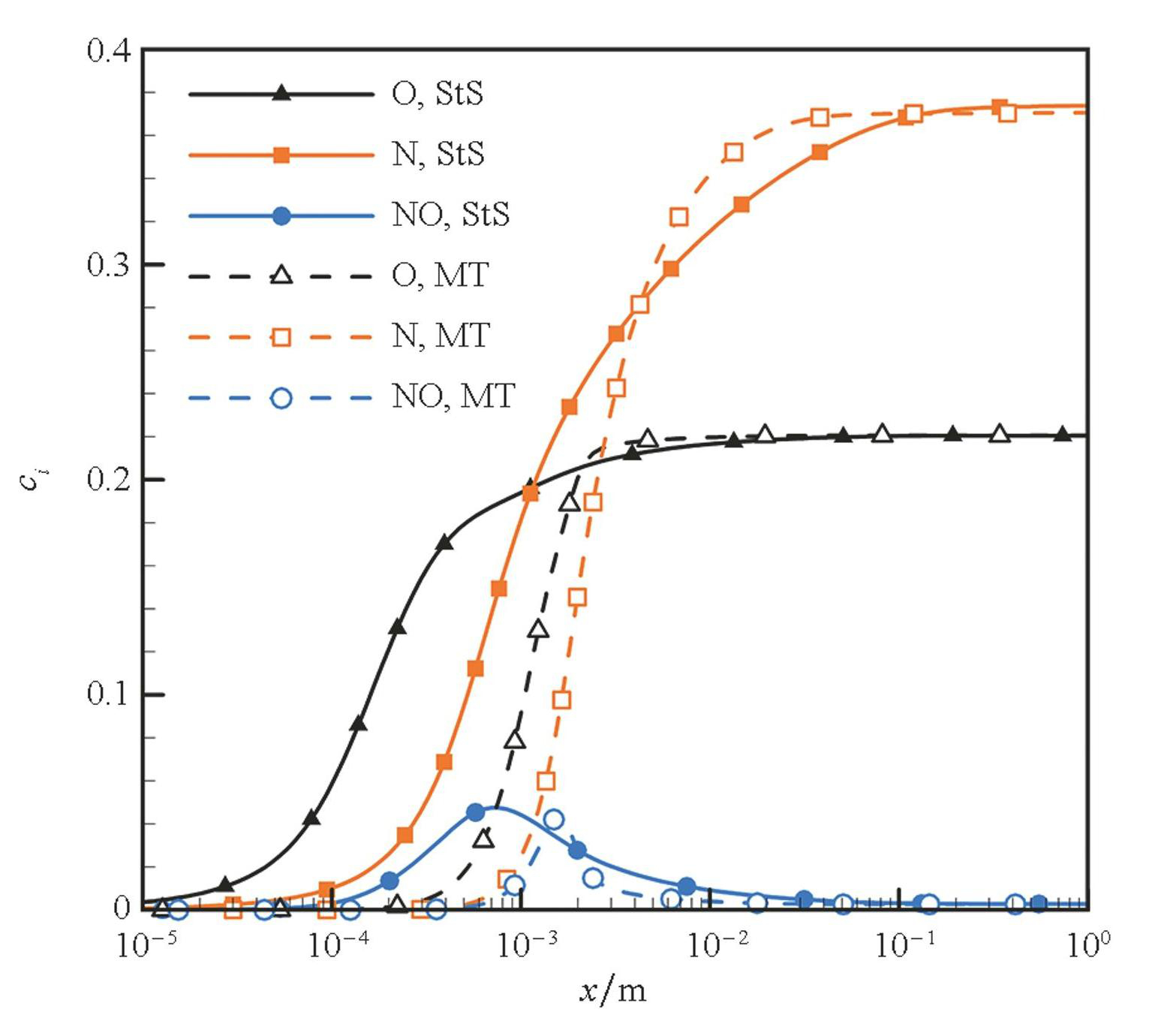
图3给出了两种热化学模型得到的激波后主要化学组元O、N和NO的质量分数演变,表现出态-态模型下化学反应起始早、结束晚的特点,如O2的离解起始于x=1.0×10-5 m,O的质量分数在x=1.0×10-4 m处已达0.06,在x=3.0×10-2 m处达到平衡值0.22;而多温度模型下,O2离解起始于x=5.0×10-4 m,在x=5.0×10-3 m就达到平衡值。N的变化与O类似。对于NO,态-态模型得到的峰值比多温度模型高10%,更早达到峰值。
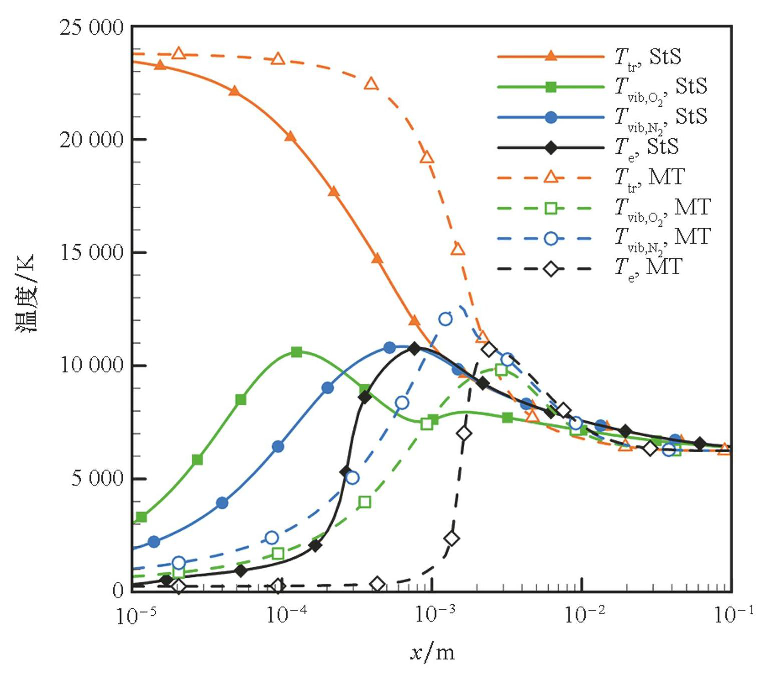
图4给出了激波后平动-转动温度、N2和O2的振动温度及电子温度的演变。冻结激波后Ttr为2.38×104 K,态-态模型下振动激发和化学反应的起始、达到峰值均早于多温度模型(对应着Ttr的下降也开始得更早),N2达到振动-平动-转动平衡也早于多温度模型,离解反应大量发生导致微量O2平衡晚于多温度模型。态-态模型下N2在x=8.0×10-4 m处实现振动-电子能平衡,达到峰值1.07×104 K,在x=1.0×10-3 m处实现振动-电子-平动-转动平衡;而多温度模型下在x=1.5×10-3 m处达到峰值1.26×104 K,Te则在x=2.6×10-3 m处达到峰值1.07×104 K。另外,多温度模型下N2振动激发比O2快,这是因为本算例条件下振动松弛时间的高温修正使N2的振动松弛时间较O2约短30%。多温度模型下振动温度和电子温度从x=2.6×10-3 m至达到平衡都高于平动温度,出现一种“超调现象”。
图3激波后O、N和NO质量分数分布(u1=7 km/s)
Fig.3Mass fraction profiles of O, N, and NO behind the shock wave (u1=7 km/s)
图4激波后平动-转动温度、振动温度及电子温度分布(u1=7 km/s)
Fig.4Profiles of translational-rotational temperature, vibrational temperature, and electron temperature behind the shock wave (u1=7 km/s)
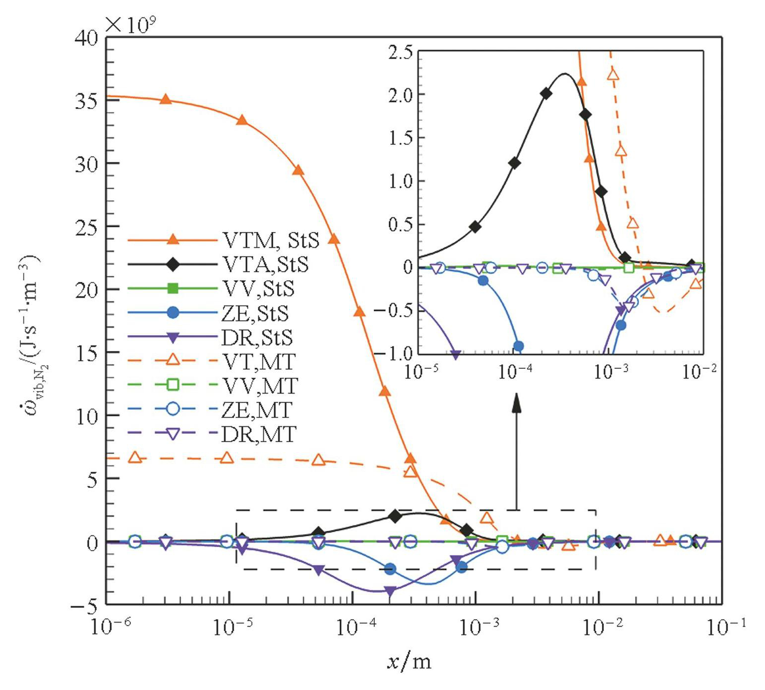
图5为激波后N2振动能生成项的演变,可见VV过程的贡献可以忽略,重点分析VT过程和化学反应。其中态-态模型的VT过程可根据参与碰撞的为分子或原子进一步细分为VTM和VTA。在x=1.0×10-5 m之前态-态模型下VTM导致的振动能生成项高达3.6×1010 J/( m3·s);然后由于分子开始离解和温度降低两个原因,VTM引起的振动能生成项迅速降低,而原子组元增加后,VTA过程的能量生成项增大,在x=5.5×10-4 m处,二者相等;此后VTA的贡献均大于VTM。而多温度模型下VT导致的振动能生成项在激波后瞬时为6.6×109 J/(m3·s),而后逐渐降低,在x=2.3×10-3 m处趋于0后变为负值,在x=3.8×10-3 m处达到最小值-5.2×108 J/(m3·s),这也是图4中超过Ttr的原因。离解反应和置换反应都造成了振动能的损失,多温度模型预测的起因于化学反应的N2振动能损失峰值为态-态模型结果的10%,这是因为其设定伴随分子质量生成/消失的振动能为平均振动能。
图5各过程与反应对N2振动能生成项的贡献(u1=7 km/s)
Fig.5Contributions of different processes and reactions to the vibrational energy production term of N2 (u1=7 km/s)
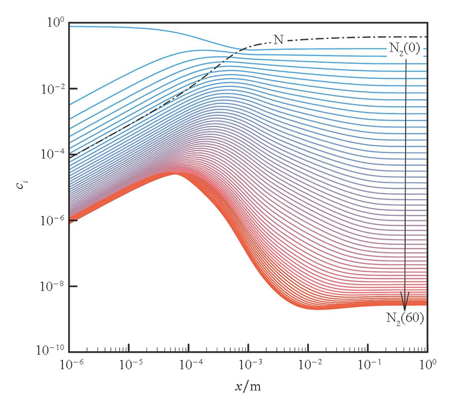
图6给出了激波后N2各振动能级和N的质量分数演变。在x=1.0×10-4 m之前,主要发生的是分子从低振动能级向高振动能级跃迁,之后离解反应逐渐占优,各能级分子质量分数的峰值点即对应着振动激发占优向离解反应占优的切换。N2各能级离解反应占优起始的位置不同,高能级更早出现离解反应占优,最高振动能级出现在x=4.9×10-5 m处,N2(4)则出现在x=4.8×10-4 m处。
3.2.2 u1=11 km/s算例结果分析
该算例条件下冻结激波后Ttr达到5.85×104 K,N2和O2完全离解,主要化学组元为N、O、N+和O+。下面重点分析N和O的电子能级激发及电离。
图6激波后N2各振动能级和N质量分数沿流向演变(u1=7 km/s,态-态模型)
Fig.6Streamwise evolution of different vibrational levels of N2 and N mass fractions behind the shock wave (u1=7 km/s, StS model)
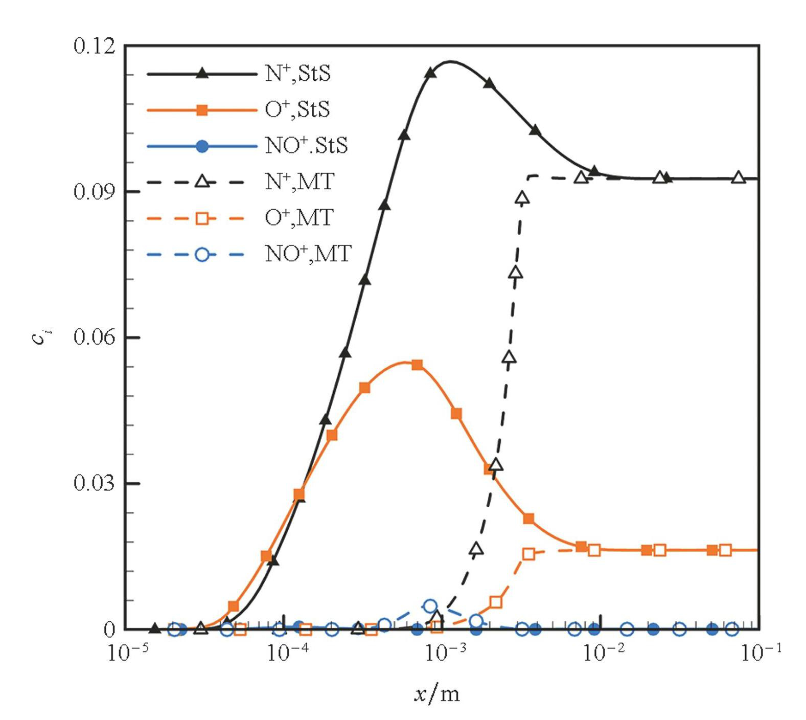
图7给出了O+、N+、NO+质量分数的演变。两种热化学模型得到的原子电离过程存在差别:态-态模型下在x=4.0×10-5 m开始O和N有明显电离,O+质量分数在x=6.0×10-4 m处达到峰值0.055,N+在x=1.1×10-3 m处达到峰值0.116,两者均在x=1.2×10-2 m处达到平衡;而多温度模型下,在x=1.0×10-3m开始有O+和N+的明显生成,均在x=4.4×10-3 m处达到平衡。态-态模型和多温度模型得到的NO质量分数峰值分别为0.008和0.014,达到峰值后很快便趋于平衡值2.2×10-5,NO+质量分数在10-3量级以下。
图7激波后O+、N+和NO+组元质量分数分布 (u1=11 km/s)
Fig.7Mass fraction profiles of O+, N+, and NO+ behind the shock wave (u1=11 km/s)
图8给出了激波后Ttr、、Te和态-态模型下由电子能级分布折合出的O和N电子激发温度Texc,O、Texc,N的演变。仍然表现出态-态模型下振动激发和化学反应比多温度模型开始早、化学反应结束晚的特点,这对应影响到两种模型下Ttr的变化差异。态-态模型下的峰值为1.82×104 K,比多温度模型低6 000 K;Te峰值为1.51×104 K,比多温度模型高2 000 K。态-态模型和多温度模型分别在x=8.0×10-4 m和x=3.2×10-3 m处达到热力学平衡。虽然离解反应生成的O和N位于基态电子能级,但由于Ttr很高,原子很快被激发,在x=1.0×10-6 m处,Texc,O和Texc,N就已超过5 000 K,而此处的仅为2 000 K。Texc,O和Texc,N均在x=3.5×10-5 m处达到峰值,分别为1.72×104 K和1.30×104 K,后开始降低,直到x=1.0×10-4 m处又上升并趋于平衡。可见原子的电子能激发温度与电子温度Te有较大差异,用统一的电子温度描述原子电离过程并不合适。
图8激波后平动-转动温度、振动温度与电子温度沿流向演变(u1=11 km/s)
Fig.8Streamwise evolution of translational-rotational temperature, vibrational temperature and electron temperature behind the shock wave (u1=11 km/s)
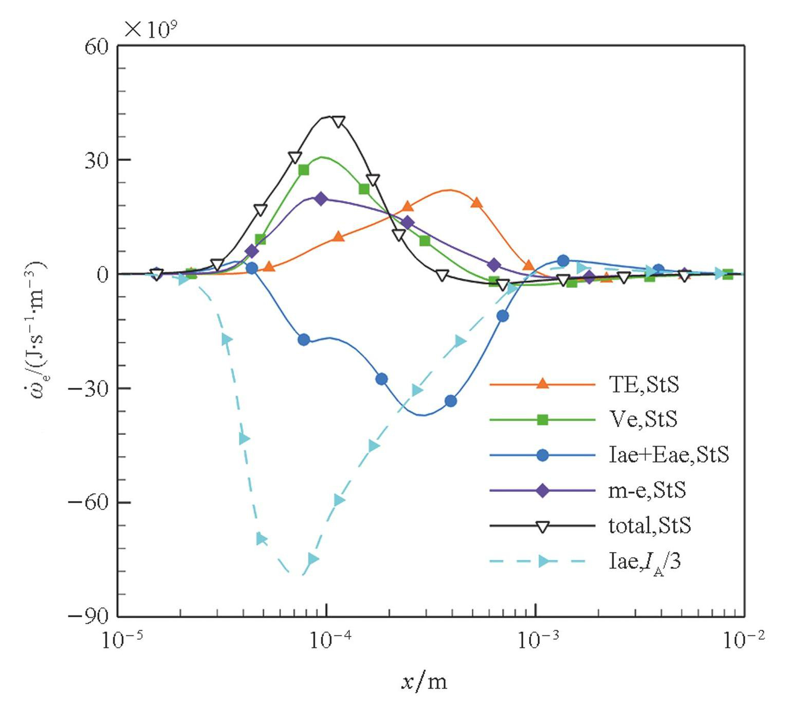
图9给出了态-态模型下激波后电子能生成项的变化,并分别给出了各部分的贡献。电子碰撞导致高振动能级退激发,分子振动能向电子能传递,Ve过程的生成项在x=3.0×10-5 m处开始明显升高(此处电子摩尔分数为1.1×10-3),在x=9.4×10-5 m处达到峰值3.1×1010 J/( m3·s),后由于电子温度升高,而高振动能级欠分布,Ve过程中分子向高振动能级跃迁,使其电子能生成项成为负值。质量生成带来的电子能生成项(m-e)在x=3.0×10-5m处开始快速上升,在x=8.6×10-5 m处达到峰值2.0×1010 J/( m3·s)。TE过程受制于电子数密度的影响,在x=2.0×10-4 m之前,对电子能的贡献均小于Ve过程和化学反应,之后则是电子能生成的主要贡献者,直到在x=1.0×10-3 m处趋于0。
图9态-态模型下各过程与反应对电子能生成项的贡献(u1=11 km/s)
Fig.9Contributions of different processes and reactions to the electron energy production term in the StS model (u1=11 km/s)
图10给出了多温度模型下电子能生成项的演变。电子能生成项总和值的变化与态-态模型结果接近,各类过程的贡献变化趋势也和态-态模型结果类似。但起始和结束更晚,Ve过程的生成项在x=4.1×10-4 m处开始上升,TE过程的生成项在x=3.6×10-3 m处趋于0。各类过程的贡献值也小于态-态模型。这与态-态模型下分子的离解反应和原子的电离反应较多温度模型更快是一致的。
为考察多温度模型将电子碰撞引发原子电离需要的活化能设为第一电离能IA的1/3的合理性,特别计算
,在图9中用虚线画出,可见该项峰值为态-态模型中电子碰撞引起的电子能生成项(蓝色实线,包含Iae和Eae)峰值的2.1倍。在本算例条件下将该电离需要的活化能设置为0.16IA更合适。
,在图9中用虚线画出,可见该项峰值为态-态模型中电子碰撞引起的电子能生成项(蓝色实线,包含Iae和Eae)峰值的2.1倍。在本算例条件下将该电离需要的活化能设置为0.16IA更合适。
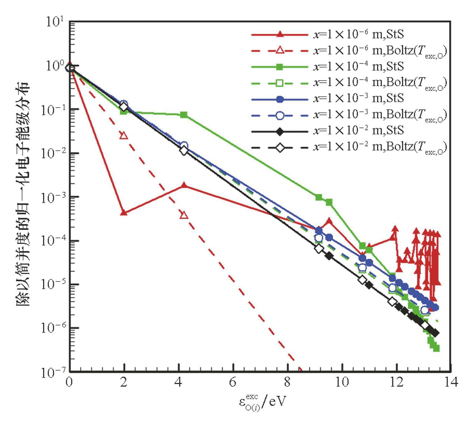
图11给出了激波后若干位置的O电子能级分布。激波后离解反应生成的O位于基态能级,但由于平动温度很高,O与重粒子的碰撞导致其高电子能级迅速激发,如x=1×10-6 m处的电子能级分布。接下来高电子能级优先发生电离反应,电离反应的消耗量大于电子激发的生成量,出现了高电子能级欠分布的现象,如x=1.0×10-4 m处。之后由于电子的大量生成,Eae过程中O由低向高电子能级的跃迁占优,到x=1.0×10-3 m处高电子能级再次出现峰值,并有轻微的过分布。再之后在重粒子和电子的碰撞下,O由高向低电子能级跃迁,直到在x=1.0×10-2 m处达到电子激发温度下的玻耳兹曼分布。
图10多温度模型下各过程与反应对电子能生成项的贡献(u1=11 km/s)
Fig.10Contributions of different processes and reactions to the electron energy production term in the MT model (u1=11 km/s)
图11激波后不同站位处O归一化电子能级分布与等效电子激发温度下的玻耳兹曼分布对比(u1=11 km/s,态-态模型)
Fig.11Comparison of normalized electronic energy level populations and Boltzmann distributions at the equivalent electronic excitation temperature of O at different positions behind the shock wave (u1=11 km/s, StS model)
4 结论
本文分别采用振动电子能级精细化态-态模型与多温度模型,在40~60 km高空大气条件下、波前气流速度5~11 km/s范围开展正激波后非平衡流动的求解与对比分析。得到的主要结论有:
1)态-态模型和多温度模型得到的激波后流动参数平衡值相同,但二者关于非平衡演化过程的结果存在明显差异。态-态模型下振动能和电子能激发和化学反应更早发生,与平动-转动能的平衡一般也早于多温度模型,但化学反应更晚结束,化学组元的变化过程更加“平缓”,化学非平衡松弛距离长于多温度模型。
2)在热力学-化学耦合方面,与态-态模型相比,多温度模型中以平均振动能计算离解反应和置换反应引起的振动能损失偏小,以第一电离能的1/3计算电子碰撞电离反应引起的电子能损失偏大。
3)电子温度无法有效描述非平衡电子能级的分布情况。一方面,多温度模型和态-态模型得到的电子温度均与根据原子电子激发能折合的等效电子激发温度之间存在差异;另一方面,激波后原子电子能级分布演化呈现复杂非平衡特征,重粒子或电子碰撞电子能激发过程导致高能级过分布,电离反应主导阶段则使高能级粒子数低于等效电子温度对应的玻耳兹曼分布。
4)态-态模型通过精细描述各振动能级和电子能级的各类微观过程,自然体现振动-离解耦合、电子激发-电离耦合,避开了多温度模型描述这些耦合时需引入经验参数带来的不确定性。虽然态-态模型由于计算量巨大难以直接用于多维流动计算,但可基于态-态模型的一维流动模拟结果分析,提供特定条件下热力学-化学耦合模型的经验参数,促进多温度模型模拟精度的提高。




