摘要
为研究航行状态下舰船腐蚀电场的产生机理与变化规律,将舰船电偶腐蚀阴极螺旋桨等效为旋转圆盘,建立湍流介质条件下旋转圆盘腐蚀电场等效模型。结合流体力学中边界层理论以及电化学腐蚀相关理论,计算层流及湍流介质流动状态下圆盘表面边界层流动状态及腐蚀电流密度,并对圆盘进行微分化处理,采用多个点电荷叠加的方法计算流动介质中受氧的传质过程控制下的旋转圆盘腐蚀电场。研究了不同转速下旋转圆盘腐蚀电场的变化规律,并进行了实验验证。结果表明:随着圆盘旋转速度的增加,腐蚀电场逐步增大。当圆盘表面介质流动状态由层流逐步转捩为湍流后,腐蚀电场模值会出现显著增大。
Abstract
To investigate the generation mechanism and variation patterns of the ship corrosion electric field under navigation conditions, the galvanic corrosion cathode of the ship propeller was equated to a rotating disk, and an equivalent model of the corrosion electric field of the rotating disk under turbulent medium conditions was established. Combining the boundary layer theory in fluid mechanics and electrochemical corrosion related theories, the boundary layer flow state and corrosion current density on the surface of a disk under laminar and turbulent medium flow conditions were calculated, and differentiation treatment on the disk was performed. The multiple point charge superposition method was used to calculate the corrosion electric field of a rotating disk under the control of oxygen mass transfer in a flowing medium. The variation law of corrosion electric field on rotating disks at different speeds was studied and experimentally verified. The results indicate that as the rotational speed of the disk increases, the corrosion electric field gradually increases. When the flow state of the medium on the surface of the disk gradually transitions from laminar to turbulent, the corrosion electric field modulus increases significantly.
Keywords
舰船静电场及轴频电场作为海洋环境中多物理场目标信号源的一种,被广泛应用于海洋目标的探测与定位[1]。若不考虑舰船腐蚀防护与电场防护产生的电场,则腐蚀电场主要由船壳及螺旋桨不同金属材料间发生的电偶腐蚀产生。极易受到多种海洋环境因素的影响[2],包括海水温度[3]、压力[4]、含氧量、盐度以及海水流速[5]等。其中,航行状态下舰船船壳及螺旋桨表面海水流速变化范围极大,会对腐蚀电化学反应产生较大影响。相较于较为恒定的海水含氧量与盐度等参数,对比压力对舰船电场的影响[6]可知,研究航行状态下舰船电场的产生机理与变化规律对舰船电场的应用有着重要意义[7-8]。当前,针对舰船电场的计算模型主要为静水状态或层流介质,王向军等研究了舰船航行状态下处于层流介质中的腐蚀电场变化规律[9-10],并进行了实验验证。但考虑舰船处于航行状态时,舰船船壳及螺旋桨更多处于湍流的海水域中,船壳及螺旋桨表面边界层应为湍流边界层[11-12]。因此针对湍流介质中的舰船电场产生机理,仍有进一步研究的必要性[13]。并可依此建立航行状态下舰船电场模型,总结其变化规律。
由于舰船螺旋桨表面结构复杂,舰船缩比船模常采用无推力的旋转圆盘替代螺旋桨。在建立航行状态下舰船电场模型时,针对电偶腐蚀的阴极螺旋桨可用旋转圆盘替代[14]。为此需首先研究湍流介质中旋转圆盘产生的腐蚀电场,建立航行状态下舰船腐蚀电场等效模型。
为建立旋转圆盘腐蚀电场等效模型,需结合流体力学中边界层理论以及电化学腐蚀理论对旋转圆盘进行建模,计算层流及湍流介质流动状态下圆盘表面的腐蚀电流密度,在此基础上对圆盘进行微分化处理,并采用点电荷法计算海水域中的腐蚀电场。总结不同转速下圆盘腐蚀电场的变化规律,并进行实验验证。
1 旋转圆盘腐蚀电场等效模型建立
为计算湍流介质中旋转圆盘等效模型的腐蚀电场,在计算圆盘表面流速及边界层厚度的基础上,推导圆盘表面产生的腐蚀电流密度,最后采用点电荷叠加模型计算三层介质中的旋转圆盘产生的腐蚀电位及腐蚀电场。
1.1 旋转圆盘表面流速及边界层厚度计算
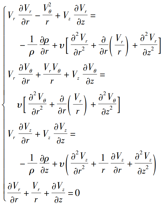
旋转圆盘表面流动是一种轴对称装置的三维流动,围绕垂直于圆心的轴线以角速度旋转。存在径向、周向和轴向三个方向的速度分量,分别用Vr、Vθ、Vz表示。可将Navier-Stockes方程以圆柱坐标系的形式表示[15-16]。

(1)
其中,r为径向距离,z为轴向高度,ρ为流体密度,υ为介质的运动黏度系数。
依据壁面无滑移条件,可确定边界条件表达式为:

(2)
其中,ω为圆盘的旋转角速度。
在旋转圆盘内与圆心轴线的距离为r的流体质点处,单位体积受到的离心力为ρrω3。因此单位面积为dr×ds、高为边界层厚度δ的长方体所受离心力为ρrω2δdrds。同时单位流体单元还受到切应力τω的作用,该切应力与流体滑动的方向相反,且与周向速度呈一定角度θ。此时,切应力的径向分量与离心力相等,可表示为:
(3)
同时,切应力的周向分量正比于壁面上的周向速度梯度,可表示为:
(4)
基于式(3)~(4),可将τω消去,得:
(5)
由于紧贴壁面流动的滑移方向与半径θ无关,则层流介质中旋转圆盘边界层厚度为:
(6)
为了便于求解式(1),引进流体与旋转圆盘壁面的无量纲距离ξ:
(7)
并对旋转圆盘表面速度分量及压力进行假设。
(8)
(9)
(10)
(11)
将式(1)转换为由F、G、H、P表示的四个联立常微分方程:

(12)
边界条件可表示为:

(13)
依据文献[14]提出的幂级数展开方法,得到式(12)、式(13)的展开式,确定展开式中的系数后,可由展开式计算F、H、G函数曲线分布,如图1所示。
图1圆盘表面速度分布
Fig.1Surface velocity distribution of disk
当无因次距离ξ=4时,F、G、H函数值基本不变,故旋转圆盘表面层流边界层厚度为:
(14)
当雷诺数Re<105时,旋转圆盘表面介质流动状态为层流[17]。但工业应用中湍流更为常见,具有更大的应用价值。随着雷诺数的增大,旋转圆盘表面介质流动状态逐步由层流转捩为湍流。
以湍流平板表面流动阻力公式为基础,壁面切应力τ0公式为:
(15)
式中,U∞为边界层外不受壁面黏滞力影响的无黏性主流流速。
湍流介质中旋转圆盘表面流动切应力的切向分量可用平板表面切应力公式表示,同时用切向速度rω替代U∞,即
(16)
同时,τ0sinθ=ρrω2δ。联立后可求得:
(17)
通过动量方程和类似于研究层流介质中旋转圆盘边界层的方法,计算湍流边界层厚度为:
(18)
可见湍流介质中旋转圆盘边界层厚度按r3/5的比例逐渐增大,而层流介质中边界层厚度与圆盘表面位置无关,其变化规律有着明显差异。
湍流边界层壁面率理论及相关实验结果指出,沿平板光滑壁的湍流边界层可以分为内层和外层,或称作壁区和外区。其中内层主要受壁面黏滞力的影响,而外层受无黏性主流的影响较大。一般认为:当边界层厚度δ与边界层速度厚度δv的比值δ/δv∈(0,0.15)时,湍流边界层为内层;当δ/δv∈[0.15,1)时,湍流边界层为外层。
1.2 旋转圆盘表面腐蚀电流密度计算
腐蚀电化学反应在固体、液体间的传质过程存在对流、扩散和电迁移三种形式,且传质过程的速率主要由扩散所控制。扩散传质理论指出,固液两相间的边界层内存在一个厚度更薄的层,称为扩散层,如图2所示。
图2圆盘表面边界层分布
Fig.2Distribution of boundary layer on the surface of disk
扩散层内存在反应物质浓度梯度,故而存在反应物质粒子的扩散作用。其扩散层厚度为:
(19)
式中,Di为氧在海水中的扩散系数。
基于上节中推导得到的层流及湍流介质中的旋转圆盘边界层表达式,得出层流及湍流介质中的扩散层厚度分别为:
(20)
(21)
结合理想稳态扩散动力学规律,基于扩散层厚度表达即可计算稳态扩散的电流密度I。
(22)
式中,n为电化学反应中的电子转移个数,为介质溶液中的反应粒子浓度,为旋转圆盘表面的反应粒子浓度。
而层流及湍流介质中的旋转圆盘表面腐蚀电流密度分别为:
(23)
(24)
由式(23)~(24)可知,电流密度分布规律与旋转圆盘表面边界层厚度分布规律类似。层流介质中旋转圆盘电极表面各位置处扩散层厚度分布是均匀的,电流密度分布也是均匀的,仅与圆盘旋转速度有关。而湍流介质中扩散层厚度和电流密度不仅与转速相关,也与圆盘表面位置与圆心的距离相关。
1.3 微分化的旋转圆盘点电荷等效模型
基于旋转圆盘表面的腐蚀电流密度,在确定圆盘转速后,可对旋转圆盘进行微分化处理,采用点电荷等效模型计算一定区域内的电位及电场强度[18]。如图3所示,将圆盘表面以圆周方向等效为i个扇形,单位扇形的角度为dθ,则一共剖分出Ω/dθ个单元,Ω=2π。将圆盘表面以半径方向等效为j段,单位长度为dr,则一共剖分出R/dr个单元,R为圆盘半径。则圆盘表面每个单元均为一个圆心角为dθ、宽度为dr的扇环。忽略高阶无穷小后可将扇环视为一个矩形,该矩形的长宽分别为rdθ(弧长)、dr。元素的面积为rdrdθ。依据点电荷等效原理,旋转圆盘表面各个单元的等效点电荷的电荷量Q表示为腐蚀电流密度与单位面积乘积的形式。
(25)
图3圆盘表面微分化
Fig.3Microdifferentiation on the surface of disk
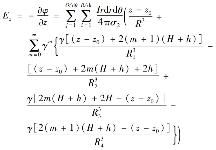
单个点电荷在海水域中的腐蚀电位为:
(26)
式中:
(27)
(28)
(29)
(30)
(31)
,其中σ2、σ3分别为海水及海床的电导率,由于微分后的旋转圆盘模型建立在柱坐标系上,R中的x、y、z应表示为:
(32)
在得到海水中的腐蚀电位后即可求其梯度。腐蚀电场,计算一定区域内任意位置的电场分量分布,并由三分量计算电场模值。

(33)

(34)

(35)
2 旋转圆盘腐蚀电场仿真模型
依据建立的湍流介质中旋转圆盘腐蚀电场计算模型进行算例仿真,其仿真设置与后文中的实验验证条件一致。令圆盘半径R=0.1 m,厚度为5 mm,并与相同尺寸的钢制圆盘用导线相连接,钢制圆盘表面腐蚀电流IFe=I/|x|。海水电导率σ2=3.98 S/m,海床电导率σ3=0.01σ2。假设旋转圆盘表面发生腐蚀反应时氧的反应率为90%。为简化模型,假设圆盘表面只存在层流与湍流边界层。当旋转圆盘转速ω=100 r/min时,分别计算层流及湍流介质中旋转圆盘表面腐蚀电流密度分布。
2.1 旋转圆盘表面腐蚀电流密度分布
如图4所示,层流介质中旋转圆盘表面腐蚀电流密度为一定值,受圆盘旋转速度影响,但与圆盘表面位置无关,此时I=0.059 7 A/m2。而在湍流介质中,圆盘表面不同位置处的电流密度是不同的,随着圆盘半径的增大而逐渐减小。这与在层流介质中存在明显不同。这是由于随着圆盘半径的增大,圆盘表面边界层厚度逐渐增大,阻碍了介质中的氧分子向圆盘表面传递,进而降低圆盘表面腐蚀反应的速率,最终降低腐蚀电流密度。此时Imin=0.043 3 A/m2,即圆盘边缘处电流密度最小值相较在层流介质中更小。
图4旋转圆盘表面腐蚀电流密度分布
Fig.4Corrosion current density distribution on the surface of rotating disk
针对介质流动状态为湍流时不同圆盘转速下的腐蚀电流密度变化规律,可进行不同旋转速度的仿真分析,观察到不同转速下均有电流密度逐步增大的趋势。圆盘表面腐蚀电流密度分布规律与图4(b)一致,在此不重复展示。这是由于转速的增大使得圆盘表面介质流速增大,进而降低边界层厚度,加快了腐蚀反应的速率,最终使得圆盘表面腐蚀电流密度增大。该变化同时会使圆盘产生的腐蚀电位及腐蚀电场增大。
2.2 海水域中腐蚀电场分布
通过建立的湍流介质中旋转圆盘腐蚀电场模型,可以计算一定海水域内旋转圆盘产生的腐蚀电场。圆盘腐蚀电场仿真模型及测量平面如图5所示。当圆盘水平放置于水中时,距离圆盘z方向0.5 m处平行于圆盘、距圆盘x方向0.5 m处垂直于圆盘的平面,其腐蚀电场xyz分量及其模值分布如图6所示。
图5仿真示意图
Fig.5Simulation diagram
由于处在圆盘圆柱坐标系内,平行于圆盘的平面的电场分布图为圆形。由图6可见,腐蚀电场主要以z方向为主,约为x、y方向的2.5倍。Ex、Ey呈对称分布。在ω=100 r/min时,腐蚀电场幅值E=2.2×10-3 V/m。而在层流介质中腐蚀电场幅值E=7.47×10-4 V/m,层流介质中的腐蚀电场分布趋势与湍流介质中的一致,在此不重复展示。在此方向上湍流介质中的圆盘腐蚀电场幅值约为层流介质中的2.95倍。
图6平行于圆盘平面上的电场分布
Fig.6Electric field distribution parallel to the plane of disk
垂直于圆盘x=0.5 m平面上的腐蚀电场分布如图7所示。与图6的分布不同,腐蚀电场在垂直于圆盘的平面上的幅值比平行于圆盘平面上的更小。在该平面上腐蚀电场主要以x方向为主,约为y、z方向的2.6倍。Ey、Ez呈对称分布。在ω=100 r/min时,腐蚀电场幅值E=8.77×10-4 V/m,而在层流介质中腐蚀电场幅值E=3.8×10-4 V/m,湍流介质中的圆盘腐蚀电场幅值约为层流介质中的2.3倍。
以上仿真算例表明,湍流介质中旋转圆盘表面边界层分布与层流介质中存在差异,其产生的腐蚀电场较层流介质中更大。且腐蚀电场随着旋转圆盘表面流速的增大而逐步增大。而在旋转圆盘不同方向的平面上电场分布亦不相同,考虑到可将旋转圆盘等效为竖向螺旋桨,垂直方向上的电场分布更有参考意义,其中Ex方向上的幅值大于Ey、Ez方向上的。
图7垂直于圆盘平面上的电场分布
Fig.7Electric field distribution perpendicular to the plane of disk
3 旋转圆盘腐蚀电场实验验证
为研究旋转圆盘在湍流流场中产生的腐蚀电场变化规律,并验证本文建立的旋转圆盘腐蚀电场计算模型的准确性,进行旋转圆盘腐蚀电场实验。依据仿真条件进行实验设计,腐蚀金属圆盘分别采用型号为B10、半径为0.1 m的铜制圆盘及型号为921A、半径为0.05 m的铁圆盘,并使用导线连接,同时使用电机驱动旋转。水池尺寸为10 m×5 m×2.5 m,海水电导率为3.98 S/m[19]。电场三分量传感器放置于铜制圆盘的正下方0.5 m处,电场传感器位置坐标为(0,0,0.5 m)。测量不同转速下的旋转圆盘产生的腐蚀电场变化情况。将圆盘表面的一侧打磨光滑,另一侧喷涂油漆防水处理,以控制腐蚀反应仅在一侧发生。以上实验设置与上节中的仿真条件保持一致。并将实验结果与仿真计算结果进行对比。
由图8可观察到旋转圆盘腐蚀电场模值随着圆盘转速的增加而逐步增大,并在100 r/min后电场模值突然增大,在150 r/min后增速降低,后转变为稳步增长。旋转机械结构流体流动雷诺数计算公式为:
(36)
图8仿真与实验结果对比
Fig.8Comparison between simulation and experiment results
当Re<105时,流动状态为层流。依据本次实验圆盘半径及转速可计算得到,转速在100 r/min以下为层流。层流介质中旋转圆盘腐蚀电场仿真计算结果与实验结果拟合较好。随着转速的增加,圆盘表面流动状态逐步转捩为湍流,此时实验结果与湍流介质中旋转圆盘腐蚀电场仿真计算结果拟合较好。
实验较好地验证了本文建立的流动介质中旋转圆盘腐蚀电场模型的准确性。其变化规律可总结为:随着圆盘旋转速度的增大,腐蚀电场逐步增大。当圆盘表面介质流动状态由层流流动逐步转捩为湍流流动后,腐蚀电场模值会出现大幅度增长,湍流介质中的圆盘腐蚀电场约为层流介质中的2.5倍。
4 结论
为研究海水流动状态对舰船腐蚀电场的影响,首先将舰船电偶腐蚀阴极螺旋桨等效为旋转圆盘;然后结合流体力学、边界层理论以及电化学腐蚀相关理论对旋转圆盘进行建模,分别计算湍流及层流状态下圆盘表面边界层、扩散层厚度及腐蚀电流密度,在此基础上对圆盘进行微分化处理,并采用多个点电荷叠加的方法计算海水域中的腐蚀电场;最后进行实验验证。相关结论及其产生机理总结如下:
舰船螺旋桨等效为圆盘后,其腐蚀电场随着圆盘转速的增大而逐步增大,而当圆盘表面海水流动状态逐步由层流过渡为湍流时,腐蚀电场有显著增大。主要原因是转速的增大改变了圆盘表面边界层流动状态。湍流是舰船航行时尤其是螺旋桨旋转时腐蚀介质典型的流动状态,本文建立的湍流介质中旋转圆盘腐蚀电场模型对计算航行状态下舰船腐蚀电场有参考意义。




