摘要
为了提升时频系统完好性监测的灵敏度,提出了一种基于抗差卡尔曼滤波器的时频系统完好性监测方法。该方法利用时差历史测量数据构建抗差卡尔曼滤波器模型,实时估计时差预报偏差与频率偏差,分别进行一致性检测,实现完好性监测。通过实测数据与仿真分析对该模型与方法进行验证,结果表明:该方法可以有效地检测与识别相位跳变和频率跳变单故障,并向用户告警;在单故障场景下,相比传统的完好性监测方法,检测灵敏度提升约25.0%;在多故障场景下,该方法能有效检测故障,但存在识别故障不充分的问题,检测灵敏度相比单故障降低约26.2%,仍优于传统方法。
Abstract
In order to improve the sensitivity of time-frequency system integrity monitoring, a time-frequency system integrity monitoring method based on robust Kalman filter was proposed. In this method, a robust Kalman filter model was constructed using the historical measurement data of time difference, the time difference prediction bias and the frequency bias were estimated in real time, and the consistency detection was carried out separately, so that the integrity monitoring was realized. The model and method were verified through measured data and simulation analysis, and the results show that: this method can effectively detect and identify single faults of phase jump and frequency jump, and alarm the user; in a single fault scenario, compared with the traditional integrity monitoring method, the detection sensitivity is increased by about 25.0%; in a multi-fault scenario, the method can effectively detect faults, but there is a problem of insufficient fault identification, and the detection sensitivity is reduced by about 26.2% compared to a single fault, but it is still better than the traditional method.
Keywords
时间频率系统(以下简称时频系统)的健康程度直接决定了全球卫星导航系统(global navigation satellite system,GNSS)的导航、定位与授时服务性能[1]。时频系统出现故障,将对GNSS的运行造成极大的损害。2019年7月11日,伽利略卫星导航系统地面时间频率系统发生故障,导致了系统内20多颗卫星的导航信号不可用,系统的导航、定位与授时服务中断,对用户服务造成了极大的影响。时频系统完好性监测可以提升时频系统的稳健性与可靠性,是保证卫星导航系统长期稳定运行的重要基础。完好性监测是用来改善系统完好性的各类监测方法,完好性监测的灵敏度包含最小检测偏差(minimum detectable bias,MDB)和告警时间(time to alert,TTA)。时频系统本身能进行一定程度的完好性监测,但是其灵敏度低。因此,对时频系统完好性监测的灵敏度提升方法进行研究是十分必要的。
目前完好性主要分为两类,一是聚焦接收机定位的完好性,主要算法和研究为接收机自主完好性监测(receiver autonomous integrity monitoring,RAIM)。RAIM是GNSS接收机基于一致性检测理论[2],根据冗余的GNSS信息自主进行故障检测和排除的方法。典型的RAIM算法包括伪距比较法[3]、最小二乘残差法[4]和奇偶矢量法[5]。陈金平等证明了上述三种方法在单故障场景下效果较好且等效[6]。近5年来,关于RAIM的灵敏度的研究成果较少,都是利用卡尔曼滤波外推和多历元累积放大微小偏差,从而实现微小偏差检测,提升完好性监测的灵敏度[7-8]。二是考虑用户授时完好性,Geier等首先提出了用于全球定位系统(global positioning system,GPS)授时应用的授时接收机自主完好性监测(timing receiver autonomous integrity monitoring,T-RAIM)方法[9]。该方法将待估参数简化为仅包含GPS接收机时差,从而在相同观测条件下,显著增加了测量的冗余度。测试结果表明,T-RAIM算法有效地检测和排除了卫星时钟中的阶跃和斜坡误差。基于经典RAIM算法,已经设计、实现和测试了三种不同的T-RAIM方法,即前后向(forward-backward,FB)、Danish和子集[10-11]。同时,程子毅等提出了一种提高T-RAIM的检测概率的多检测统计量联合检验的完好性算法[12]。然而,这些都是在用户层面的完好性。
借鉴“GNSS完好性”定义[13],“时频系统完好性”是指对时频系统输出的时频信号正确性的置信度的测量,以及系统在无法为用户提供规定精度的参考时频信号时向用户发出告警的能力。时频信号是时频系统的关键,相关学者也研究了时频信号的监测方法。Galleani等利用基于卡尔曼滤波的方法来检测分析星上时频信号频率跳变等异常[14-15]。Huang等提出了另外一种基于检验统计理论的星上时频信号频率、相位异常检测方法[16]。上述方法都仅仅监测单链路,没有考虑到时频系统的整体性监测。时间频率基准产生与维持系统主要负责为时频系统提供原始频率源,是时频系统的心脏[17]。对于时频系统的监测方法研究主要集中在该系统中。例如,基于卡尔曼滤波的综合原子时算法实现了对原子钟信号的监测[18-19]。Li等提出了一种三台原子钟互相比对以实现时频信号完好性监测的方法[20]。章宇等基于时间频率数据平台,提出了原子钟异常跳变及处理方法[21]。对于时频系统内其他时频信号的监测,Zheng等基于多通道测量结果结合一致性检测理论实现了时频系统完好性监测[22]。然而,时频系统的时差测量结果不仅包含时差信息,还包含由各条时频系统链路状态不一致引入的频率偏差信息。传统的完好性监测方法并没有分离时差与频率偏差信息,频率变化引发的时差变化滞后性严重,完好性监测的灵敏度较低。
卡尔曼滤波器是一种基于贝叶斯推断和最小均方误差准则的递归状态估计算法[23],常用于时间频率源的状态估计问题中,用来估计相位、频率和频率漂移率等状态信息[24]。在实际的时频系统及其时差状态信息估计过程中,当存在异常值(非高斯噪声)时,传统卡尔曼滤波器的性能会显著下降,滤波会发散,影响系统状态估计的准确性。抗差卡尔曼滤波器基于卡尔曼滤波器改进,引入抗差估计理论,能有效地处理观测数据中的异常值或粗差,具有较强的鲁棒性,并提升估计的准确性[25]。在时频系统中,时差状态估计模型的参数是某些典型方法的计算值或经验值,其存在不准确的情况,抗差卡尔曼滤波器能够保持较好的适应性和估计的准确性[25]。在时间频率领域,无异常值的滤波器收敛后,其估计的时差预报偏差(时差预测值与测量值的差)与测量噪声的特性相符[26]。同时,在时频系统中,可以根据时差预报偏差的结果与测量噪声特性相比较来判断系统状态。因此,使用抗差卡尔曼滤波器来估计时差的状态信息、分离时差与频率偏差的影响,从而提升时频系统完好性监测的灵敏度是一种新思路。
针对上述时频系统完好性监测灵敏度低的问题,提出了一种基于抗差卡尔曼滤波器的完好性监测方法。该方法利用时差历史测量数据构建抗差卡尔曼滤波器模型,实时估计时差预报偏差与频率偏差,分别进行一致性检测,实现完好性监测。通过时频系统的实测数据和故障仿真分析,验证了抗差卡尔曼滤波器模型的收敛性,确定了模型的参数;与传统完好性监测方法进行对比,验证了该方法的故障检测的有效性和高灵敏度,分析了该方法在多故障场景下的局限性。该方法可以提高时频系统完好性监测的灵敏度,为提升时频系统的可靠性提供了科学有效的解决方法。
1 时频系统结构
时频信号是时频系统的基础,是指在时间和频率两个维度上具有特定特性的信号,典型如10 MHz频率信号和秒脉冲(1 pulse per second,1PPS)信号。时频信号的时差和频率偏差是时频系统完好性监测的重要指标。典型的时频系统结构如图1所示。
图1时频系统的结构
Fig.1Structure of the time-frequency system
10 MHz频率信号由时间频率基准产生与维持系统产生,通过线缆传输,经由时频信号生成与分配系统,生成时频信号,并分配出多路时频信号,最终输出给用户。时频信号输出给用户的不同的路径就是时频信号链路。同时,利用高精度测量系统获得各条链路时频信号的时差信息。
将原子钟组输出的时频信号作为参考信号,经过不同时频信号链路输出的时频信号与参考信号的时差测量结果记为m,第i条链路的时频信号与参考信号的时差记为mi。
2 模型与方法
2.1 抗差卡尔曼滤波器模型
基于作者前期对链路时差特性的分析与研究[27],消除两条链路固定时延的差和温度变化对时差测量的影响,忽略同源时频信号频率漂移率的影响,修正后的时差m(t)为:
(1)
式中:fb表示组合频率偏差值;t表示时间;n(t)表示两条链路组合噪声,服从高斯分布,方差为σ2n。
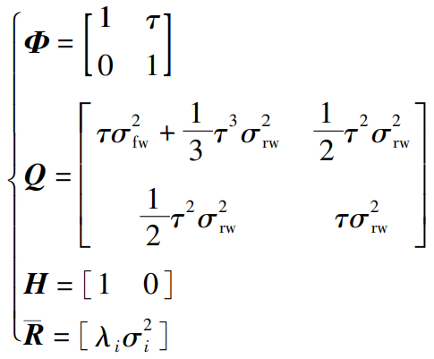
抗差卡尔曼滤波器模型可以用于时间频率源的状态估计,且时差m(t)满足时间频率源的输出模型要求[28],故构建2状态变量的状态方程和观测方程,其初始时差为0。状态转移矩阵Φ、驱动噪声的协方差矩阵Q、观测矩阵H和抗差观测协方差矩阵写成如下形式:

(2)
其中:τ为状态转移时的时间间隔,一般为数据采样间隔;σ2fw为频率白噪声方差;σ2rw为频率随机游走噪声方差,可以通过Allan方差反演法得到[29];σ2i为第i条链路的观测噪声方差;λi为方差膨胀因子,通过IGG Ⅲ函数[30]计算。
2.2 时频系统完好性监测
提出的完好性监测方法流程如图2所示。其详细步骤如下。
图2时频系统完好性监测流程
Fig.2Process of time-frequency system integrity monitoring
步骤1:基于上文理论分析,根据各条链路测量的时差特性构造抗差卡尔曼滤波器。
步骤2:利用构建的卡尔曼滤波器和时差测量结果进行状态估计,估计时差预报偏差和频率偏差。其中,时差预报偏差是时差预测值与测量值的差。
步骤3:将上述时差预报偏差和频率偏差作为观测量分别进行一致性检测,获得其故障状态信息。其中,一致性检测包含构造残差矢量、构造检验统计量和检测与识别故障三个部分。
首先,构造残差矢量v。一致性检测的观测模型可以表示为:
(3)
式中:y为观测的n维矢量,n为观测的数量,在时频系统中取时差预报偏差或频率偏差的估计值;G=[1 1··· 1]T为n×1阶的系数矩阵;x为1维的一致性结果;ε为n维的观测噪声矢量,独立随机且服从高斯分布N(0,σ20),若存在偏差,则以ε+b表示。y的n×n维观测权重矩阵用W表示。
依据最小二乘原理,可以计算得到观测的最小二乘解为:
(4)
令,残差矢量表示为:
(5)
然后,构造检验统计量。令残差平方和Se=vTWv,取验后单位权中误差为检验统计量,由残差平方和计算得到:
(6)
最后,检测与识别故障。
当无链路故障时,系统处于正常检测状态,,如果出现检测告警则为虚警。虚警概率PFA[6]有如下概率等式:
(7)
通过式(7)可以确定的检测门限T,从而确定的检测门限。将实时计算的与σT比较,若>σT,则表示检测到不一致,向用户发出告警。
假定单条链路故障,。给定漏检概率PMD,可由下面的概率等式确定非中心化参数λ[6]:
(8)
令A=(GTWG)-1GT,从而得到保护水平(protection level,PL)的计算公式:
(9)
式中,Ai表示A中第i列的值,表示Qv中第i个对角元素的值。
将PL与时间告警限值(alert limit,AL)进行比较,得出时频系统完好性监测故障检测的可用性。
检测到故障后,可构造如式(10)的检验量来进行故障识别。
(10)
式中,vi为测量残差。根据最大似然法,对应最大dmax的链路i最有可能是故障链路。
步骤4:对时差预报偏差和频率偏差的故障状态信息进行简单的判断,输出时频系统整体的完好性。
传统的完好性监测方法是将各条链路的时差测量结果作为观测量进行一致性检测,输出完好性状态信息。
3 数据与策略
3.1 实验数据
本文从一个如图1所示的稳定运行的时频系统中获取原始的时差测量结果。对测量结果进行数据异常处理,并且消除温度变化的影响和链路固定时延,获得去除温度变化影响的时差结果。
每条链路由于链路长度和经过的时频设备数量不同,其测量噪声不同。因此,需要对上述测量结果进行归一化处理,得到对应的加权系数wi:
(11)
式中,σ20为时差等效估计误差。进而计算得到方法的权重矩阵W,其表达式如下:

(12)
实验中7条链路的基本参数如表1所示。
同时,针对不同时频系统的典型故障,本文使用仿真的手段在实测数据的基础上构建故障的实验数据,仿真的参数如表2所示。
上述故障场景仿真结果如图3所示。图3(a)展示了在第50 s的时刻发生200 ps相位跳变时,时差测量的仿真结果。图3(b)展示了在第50 s的时刻发生2×10-14大小的频率跳变时,时差测量的仿真结果。
表1各条链路的基本参数
Tab.1Basic parameters of each link
表2故障仿真参数
Tab.2Fault simulation parameters
3.2 实验策略
首先,基于时差测量数据,对构造的抗差卡尔曼滤波器模型的收敛性和参数敏感性展开分析,确定模型参数。根据理论分析,在抗差卡尔曼滤波器收敛后,其计算得到的时差预报偏差与测量噪声特性相符[26]。然后,和传统方法一样利用时差预报偏差进行一致性检测,两者的最小检测偏差一致。对完好性监测的灵敏度而言,在最小检测偏差一致的情况下,告警时间则是完好性监测灵敏度的表征。最后,开展单/多故障场景下算法普适性分析,其故障仿真参数与单链路一致。因此,以残差标准差为评价指标,展开如表3所示的实验。
图3时频信号故障场景仿真
Fig.3Time-frequency signal fault scenarios simulation
表3实验设置
Tab.3Experimental setup
4 实验与分析
4.1 模型性能分析
在构造的抗差卡尔曼滤波器模型中,Q通过各链路时差结果和Allan方差反演法计算得到;通过表1的链路噪声和λi确定;初始状态估计值X0=[z1 0]T,z1为对应链路的第一个时差测量结果;仅有初始估计误差协方差矩阵P0未知。在此条件下,开展对抗差卡尔曼滤波器模型的收敛性和参数敏感性的分析。
4.1.1 模型收敛性分析
抗差卡尔曼滤波器模型在其他参数确定的条件下,初始估计误差协方差矩阵P0不影响模型是否收敛[31]。因此,本实验选择常用的值P0=I2×2,矩阵单位归算在ps量级。在此条件下,模型的收敛性如图4所示。
如图4(a)所示,在300 s后,时差的估计值、估计方差、卡尔曼增益趋于平稳;如图4(b)所示,在200 s后,频率偏差的估计值、估计方差、卡尔曼增益趋于平稳。因此,该模型在设定的参数下是可收敛的。
图4模型收敛性结果
Fig.4Results of model convergence
4.1.2 模型参数敏感性分析
抗差卡尔曼滤波器模型是否完全收敛取决于用户预期的收敛时间和收敛精度,这是用户根据系统状态和需求综合考虑的。论文基于时频系统建设指标和实际运行情况,得到模型的收敛的时间约为6 h,时差的估计方差约收敛为18(ps)2,频率偏差的估计方差约收敛为10-4(ps/s)2。
为此,展开分析估计初始估计误差协方差矩阵的对角元素P0(0,0)和P0(1,1)值的变化对收敛时间和收敛精度的影响,其结果如表4和表5所示。其中,时差和频率偏差的收敛精度为其估计值的均方根误差(root mean square error,RMSE)。
表4P0(0,0)变化对收敛性能的影响
Tab.4Effect of P0 (0, 0) variation on convergence performance
表5P0(1,1)变化对收敛性能的影响
Tab.5Effect of P0 (1, 1) variation on convergence performance
可以发现,在P0(1,1)=1(ps/s)2不变的条件下,P0(0,0)/P0(1,1)增大,收敛时间一致,时差的收敛精度仅变化0.03量级,可认为基本一致;P0(0,0)/P0(1,1)≤ 0.1时,随着P0(0,0)/P0(1,1)增大,频率偏差收敛精度基本一致;P0(0,0)/P0(1,1)> 0.1时,随着P0(0,0)/P0(1,1)增大,频率偏差收敛精度变优。在P0(0,0)=1(ps)2不变的条件下,P0(0,0)/P0(1,1)≤10时,收敛时间和收敛精度不变;当P0(0,0)/P0(1,1)>10时,随着P0(0,0)/P0(1,1)增大,收敛精度变优,收敛时间变短。
综上所述,初始估计误差协方差矩阵P0的变化会对抗差卡尔曼滤波器模型的收敛性能产生影响。其中,P0(0,0)元素变化产生的影响较小,P0(1,1)元素变化产生的影响较大。
因此,设定本文的抗差卡尔曼滤波器模型初始估计误差协方差矩阵
。
。
4.2 实验参数设置
在后续的仿真与对比实验中,实验参数设置如下:漏检概率为1×10-4;虚警概率为1×10-5;时差告警限值为150 ps;频率偏差告警限值为1×10-15;时差估计等效误差为25 ps;频率偏差估计等效误差为3×10-16;IGGⅢ函数的系数典型值[32]取k0=2,k1=5。其中,漏检概率和虚警概率是借鉴GNSS完好性监测[6]中的参数要求。时差告警限值和频率偏差告警限值则是根据时频系统建设指标和实际运行情况设定的。时差、频率偏差估计等效误差则是根据高精度时间间隔计数器的测量分辨率和测量噪声来确定的。
4.3 相位跳变单故障仿真
在图3(a)的相位跳变单故障仿真场景下,如图5所示,展示了两种方法的时差的残差标准差变化以及提出的方法估计的频率偏差的残差标准差变化。
在相位跳变单故障下,两种方法的时差的残差标准差都随着故障的发生而发生跳变,提出的方法的频率偏差的残差标准差保持平稳。
剔除故障后,两种方法的时差的残差标准差平稳且基本一致,频率偏差的残差标准差也没有变化。
图5相位跳变单故障检测与识别
Fig.5Single phase jump fault detection and identification
因此,提出的方法和传统方法均可以有效地检测与识别相位跳变单故障。
4.4 频率跳变单故障仿真
在图3(b)的频率跳变单故障仿真场景下,如图6所示,展示了两种方法的时差的残差标准差变化以及提出的方法估计的频率偏差的残差标准差变化。
如图6(a)所示,在频率跳变故障下,传统方法的时差的残差标准差随着时间增加而增大,提出的方法的时差的残差标准差保持平稳。
如图6(b)所示,剔除故障后,传统方法的时差的残差标准差回落到与提出的方法一致,但是其在开始回落到稳定的过程中存在一段过渡时间。由于频率跳变故障是一种微小故障,传统方法仅利用时差最小二乘残差结果,同时由于测量噪声测量分辨率的影响,其构造的检验统计量结果正好在其门限值附近,使得故障检测处于有故障与无故障的临界状态,从而造成了上述现象。
如图6(c)所示,在频率跳变故障下,提出的方法的频率偏差的残差标准差随着时间增加而增大。在剔除故障后,频率偏差的残差标准差回落到正常的范围内,且其保持平稳。
图6频率跳变单故障检测与识别
Fig.6Single frequency jump fault detection and identification
因此,传统方法与提出的方法均可以有效检测与识别频率跳变单故障。并且,提出的方法对于频率跳变单故障检测的告警时间小于传统方法。
4.5 单/多故障场景性能对比
时频系统中也会出现多链路并发故障的情况,在此场景下对提出的完好性监测方法的性能进行分析。选择任意3条时频链路仿真如图3所示的相位跳变故障和频率跳变故障。使用提出的完好性监测方法对故障进行检测与识别,单故障和多故障场景下故障检测与识别的对比结果如图7所示。
如图7(a)所示,在相位跳变故障下,提出的方法在单故障场景下时差的残差标准差平稳,在多故障场景下残差标准差发生显著跳变,但其中存在一些时刻与单故障场景一致。同时,在多故障场景下,处理故障后的残差标准差明显小于未处理故障的残差标准差。出现该现象的原因是在多故障场景下,提出的方法能检测出故障发生,但是仍然存在部分故障链路未被识别与剔除;同时,也存在一些时刻全部故障都被识别与剔除。
图7单/多故障场景下故障检测与识别对比
Fig.7Comparison of fault detection and identification in single/multi-fault scenarios
如图7(b)所示,在频率跳变故障下,频率偏差的残差标准差随时间增加而增大,多故障场景下的残差标准差增长速度大于单故障场景。在单故障场景下,剔除故障后,频率偏差的残差标准差回落到正常的范围内且保持平稳。在多故障场景下,剔除故障后,频率偏差的残差标准差回落且保持平稳,但是与单故障场景下故障剔除后的残差标准差存在差距。同时,多故障场景下的告警时间比单故障要长。出现该现象的原因是在多故障场景下,提出的方法能检测出故障发生,但是仍然存在部分故障链路未被识别与剔除。
综上所述,在多故障场景下,提出的方法在多故障场景下能有效检测故障,但存在识别故障不充分的问题。
4.6 检测灵敏度对比
对完好性监测的灵敏度而言,在最小检测偏差一致的情况下,告警时间则是完好性监测灵敏度的表征。因此,针对频率跳变单故障,开展告警时间的对比实验。
针对不同的频率跳变故障大小,在第5条链路上仿真频率跳变单故障;在任意3条链路上仿真频率跳变多故障,对两种方法的告警时间进行统计,其结果如表6所示。
表6频率跳变故障告警时间
Tab.6TTA for frequency jump faults
如表6所示,随着故障大小的增大,告警时间越来越短。与传统方法相比,在任何大小的频率跳变故障下,提出的方法的告警时间短于传统方法。单故障场景下平均告警时间降低了25.0%,多故障场景下平均告警时间降低了18.1%。同时,相比于单故障场景,提出的方法在多故障场景下平均告警时间增加了26.2%。因此,提出的方法的故障检测灵敏度优于传统方法。
5 结论
本文重点研究传统完好性监测方法没有分离时差与频率偏差信息,导致时频系统完好性监测灵敏度受限的问题。为了进一步提升时频系统完好性监测的灵敏度,提出了一种基于抗差卡尔曼滤波器的时频系统完好性监测方法。该方法基于对时差测量结果的特性分析研究,构建抗差卡尔曼滤波器模型,估计时差预报偏差与频率偏差,对时差预报偏差和频率偏差进行一致性检测,从而实现时频系统的完好性监测。用稳定运行的时频系统消除温度变化影响的时差测量结果进行验证。结论如下:
1)在满足完好性监测的漏检概率10-4和虚警概率10-5的条件下,提出的方法可以有效地检测与识别相位跳变和频率跳变单故障,并向用户告警。
2)在单故障场景下,相比于传统的完好性监测方法,提出的方法检测与识别故障的告警时间优于传统方法,告警时间降低了约25.0%,提升了时频系统完好性监测的灵敏度。
3)在多故障场景下,提出的方法能有效检测故障,但存在识别故障不充分的问题,检测灵敏度相比于单故障降低了26.2%,仍优于传统方法。




