摘要
为了探究工艺涨落对亚20纳米鳍式场效应晶体管(fin field-effect transistor,FinFET)工艺静态随机存储器(static random-access memory, SRAM)单粒子翻转特性的影响,通过建立与商用工艺接近的高精度三维计算机辅助工艺设计模型,对不同工艺角下FinFET SRAM的单粒子翻转特性进行仿真。仿真结果显示,FinFET工艺SRAM的单粒子翻转阈值在不同的工艺角变化下产生微小波动,且敏感位置都在N型金属氧化物半导体上。为了明确具体的工艺参数涨落对单粒子翻转阈值的影响,对鳍的厚度、鳍的高度、栅氧厚度、功函数波动造成的单粒子翻转特性的影响进行研究。仿真结果表明,前两种因素对翻转阈值未产生影响,后两种因素对翻转阈值造成了微小的波动。首次发现工艺涨落对FinFET SRAM单粒子翻转阈值的影响大幅降低,该发现对研制高一致性的抗辐射宇航用集成电路具有重要意义。
Abstract
To investigate the process fluctuation influence on SRAM(static random-access memory) single event upset in sub-20 nm FinFET(fin field-effect transistor) process, a high precision three dimensional technology computer-aid design model based on commercial process fluctuations was established, then simulated to find the FinFET SRAM single event upset threshold under different process corners. The simulation results show that the FinFET SRAM upset threshold has less variation induced by process corner fluctuation. Meanwhile, the sensitive positions of SRAM are on the N-complementary metal oxide semiconductor. Then, to understand the the impact of specific process parameter fluctuations on the single event upset threshold, the process fluctuation factor impact on single event upset was discussed, including fin width, fin height, the oxide thickness and the work function fluctuation. The simulation results show that the first two factors did not affect the upset threshold, while the latter two factors caused slight fluctuations in the upset threshold. Significant reduction in the impact of process fluctuations on FinFET SRAM single event upset threshold is firstly found, which is of great significance for the development of highly consistent radiation hardened aerospace integrated circuits.
Keywords
随着我国太空探索的任务数量和任务复杂度的逐渐提高,火箭和星上载荷需要更高算力的集成电路。鳍式场效应晶体管(fin field-effect transistor,FinFET)以其更弱的短沟道效应、更小的器件体积和更低的功耗,成为代替平面互补金属氧化物半导体(complementary metal oxide semiconductor,CMOS)的下一代逻辑器件。然而在太空中存在着大量的高能粒子和宇宙射线,这些辐射源会严重影响集成电路的稳定工作,造成集成电路功能中断、软错误,甚至永久性器件结构损伤。单粒子翻转(single event upset, SEU)是在集成电路的存储器中产生的瞬态辐照效应,该效应由高能粒子轰击存储数据单元的敏感位置引发,导致存储的数据发生翻转,影响集成电路保存数据的准确性和完整性。六管静态随机存储器(6 transistors-static random-access memory,6T-SRAM)是集成电路设计中常用的存储器,被广泛用于缓存单元中。SRAM的抗单粒子翻转特性,直接决定了集成电路在宇宙空间工作的可靠性。
工艺涨落是集成电路在制造的过程中,由于掩膜形状、离子沉积、金属沉积或刻蚀存在一定误差,器件的阱和源漏的掺杂浓度、栅氧厚度、栅极形状发生变化,进而影响晶体管的静态特性和动态特性。随着晶体管工艺从二维平面器件演进到三维器件,其工艺涨落的机理更为复杂,对晶体管性能造成的影响更为显著。工艺涨落对晶体管的影响主要体现在线边粗糙涨落、金属功函数涨落和随机掺杂涨落[1],其中的金属功函数涨落和随机掺杂涨落对晶体管制造的前段工艺造成影响。与此同时,工艺涨落的相关特性由工艺厂的工程师整理,建模为工艺角(process corner)模型,便于电路设计者评估工艺涨落对电路性能、功耗和可靠性的影响。工艺角信息集成在工艺厂提供的制程设计套件(process design kit, PDK)中的两个模型中,分别为后仿提参模型和集成电路仿真程序(simulation program with integrated circuits emphasis,SPICE)模型。电路设计工程师使用后仿提参模型提取相关特征参数,并调用SPICE模型进行仿真,即可表征晶体管性能受到工艺涨落的影响。
学界已有针对工艺涨落造成器件单粒子效应特性的影响研究。Kauppila等借助蒙特卡罗计算工具,通过修改模型中的SPICE参数,在商用90 nm和65 nm工艺下研究工艺变化对6T-SRAM单粒子翻转特性的影响,研究结果表明,阈值电压、栅氧厚度、结深参数的变化对6T-SRAM翻转的阈值有显著影响,其峰峰值差异最大可达141.9%[2]。Royer等同样使用SPICE工具,对20 nm、14 nm、10 nm和7 nm FinFET工艺节点下的6T-SRAM开展单粒子翻转阈值的研究,仿真结果显示,随着节点的缩减,引发6T-SRAM翻转的阈值电荷不断减小,而这之中阈值电压的影响最为明显[3]。Wang等针对TSMC 65 nm工艺,使用SPICE模型开展了工艺涨落对单粒子瞬态Quenching效应影响的研究,研究结果表明,单粒子瞬态中的Quenching效应受到栅氧厚度的影响最大[4]。以上研究虽然针对晶体管工艺涨落对单粒子效应的影响进行了部分研究,但是现今对于FinFET器件工艺涨落研究,乃至FinFET标准单元研究的方法是基于SPICE模型和双指数电流源进行的[5-7],而该方法对于组合逻辑、SRAM和D触发器单粒子脉冲宽度和翻转阈值的仿真存在较大误差。另外,虽然其他对FinFET器件的单粒子效应研究是基于三维计算机辅助工艺设计(technology computer-aid design,TCAD)工具进行数值仿真,但其仿真精度受到器件建模精度和电学特性表征方法的影响[8-14]。学术界使用的FinFET SRAM三维TCAD模型多基于公开文献中发表的相关参数进行建模,缺少具体的商用工艺进行指导,使得建立的模型不符合实际的商用器件特性,导致研究的成果与实际商用工艺的试验结果相差甚远。另外,学术界探讨工艺波动对单粒子效应的影响时,所选择的工艺波动参数往往是众多发表文献中的最优和最差参数,而在商用工艺中,这些参数往往是较为稳定的,这往往导致研究结果与实际制造的电路相比具有较大误差,不够贴合实际情况。因此,建立一个基于实际商用工艺的高精度FinFET SRAM三维TCAD模型研究工艺涨落对单粒子翻转阈值的影响是亟待研究的课题。
为研究以上问题,本文使用TCAD软件建立了高精度FinFET SRAM TCAD模型,并基于该模型开展不同工艺涨落条件对FinFET工艺下SRAM单粒子翻转阈值影响的研究。首先,建立了一套基于业界常用工艺的高精度FinFET6T-SRAM三维TCAD模型,涵盖了TT(典型工艺)、FF(最快工艺)、SS(最慢工艺)三种工艺角;之后,基于建立的6T-SRAM三维TCAD模型,进行重离子轰击仿真,并计算其翻转线性能量传输(linear energy transfer,LET)阈值;最后,基于从PDK中提取出的FinFET晶体管关键工艺参数的波动范围,定量研究相关工艺参数对6T-SRAM翻转阈值的影响。研究结果表明,相较于传统的平面体硅工艺,亚20 nm FinFET工艺涨落对SRAM单粒子翻转阈值的影响大幅降低。该发现对研制高一致性的抗辐射宇航用集成电路具有重要意义。
1 高精度FinFET SRAM三维TCAD模型建立与校准
一种典型的6T-SRAM单元的电路和晶体管命名如图1所示,其包含4个N型金属氧化物半导体(N-metal oxide semiconductor,NMOS)晶体管和2个P型金属氧化物半导体(P-metal oxide semiconductor,PMOS)晶体管。按照晶体管的功能,可将6T-SRAM单元中的晶体管分为N型下拉管(NMOS pull down,NPD)、N型传输门(NMOS passing gate,NPG)、P型上拉管(PMOS pull up,PPU)。TCAD是一种使用有限元计算方法对半导体器件进行工艺仿真和电学特性仿真的软件。TCAD软件可以通过工艺模拟的方法建立半导体器件模型。工艺模拟即是根据实际半导体的制造流程,通过沉积、刻蚀、离子注入、外延生长的方式,使用有限元方法模拟器件的制造流程,构建相应的半导体器件模型。完成器件模型建模,即可以进行电学特性仿真。在电学特性仿真中,仿真器根据用户选择的半导体物理模型,依据载流子输运方程,基于有限元计算方法对器件的载流子速度和浓度分布进行模拟和仿真,得到半导体器件模型的直流特性、瞬态特性和频率特性。TCAD软件计算器件的直流特性和瞬态特性时,使用的静电学方程见式(1)~(3):
(1)
(2)
(3)
式(1)为泊松方程,表示了单位体积内电通量密度的导数,即电场与位置函数的关系,其中为哈密顿算子,ε为介电常数,Φ为静电势,q为单位电荷,n和p分别表示电子和空穴的密度,ND和NA为掺杂的施主和受主密度,ρtrap为陷阱电荷密度。式(2)和式(3)分别为电子和空穴的连续性方程,该方程表示了单位时间和空间内电子和空穴密度的关系,其中Jn和Jp分别为电子和空穴的电流密度,Rnet,n和Rnet,p分别为电子和空穴的复合率,Gnet,n和Gnet,p分别代表电子和空穴的生成率。针对式(2)和式(3)中的载流子电流密度,需要一系列表示电流密度和电势之间关系的公式,TCAD软件中选用的物理模型将直接影响载流子电流密度的函数表示。此外,式(2)~(3)中电子和空穴的复合率与生成率由TCAD软件中选用的复合模型表示。式(1)~(3)三个非线性偏微分方程组联立,共同构成了TCAD仿真的基本数学原理。
图16T-SRAM电路图
Fig.1Schematic of 6T-SRAM
为了建立一个高精度的FinFET SRAM模型,首先需要使用合适的物理模型进行构建。在FinFET SRAM TCAD模型使用的物理模型包括:积累层与反形层迁移率模型、高场饱和模型、薄层迁移率模型、考虑晶相的应力模型、间质-硅层间陷阱模型、肖特基-里德-霍尔(Shockley-Read-Hall,SRH)和俄歇复合模型。
抽取FinFET工艺的结构参数是另一个难题。作为工艺厂的下游用户,获得工艺相关信息的重要渠道是深入了解工艺厂提供的PDK。绝大多数工艺厂会提供SPICE模型和电阻-电容抽参模型,用于电路设计的电学特性仿真,其中便包含了大量的工艺信息。而这之中的SPICE模型必须符合伯克利短沟道绝缘栅型场效应晶体管模型-共有多栅型(Berkeley short-channel insulated gate field effect transistor model,common multi-gate,BSIM-CMG)模型[15]中的参数定义,其中一部分与FinFET的器件结构有直接关系。因此,根据工艺厂提供的FinFET SRAM BSIM-CMG模型参数,结合透射电子显微镜的拍摄分析结果,总结了该商用工艺下关键器件参数值,如表1所示,这保证了FinFET SRAM TCAD模型的合理性。同时,为了满足在FF和SS两种工艺角下的研究要求,从SPICE模型中抽取了与工艺角相关的参数,并将波动值标注在了表1中。由于商业保密要求,本文无法在文中提供足够准确的值用于仿真复现,但是其数量级是正确的。
表1NPG晶体管在不同工艺角下关键结构和掺杂的参数值
Tab.1NPG transistor geometry and doping parameters in different process corner
表2FinFET器件关键参数取值范围
Tab.2Key parameters ranges in FinFET
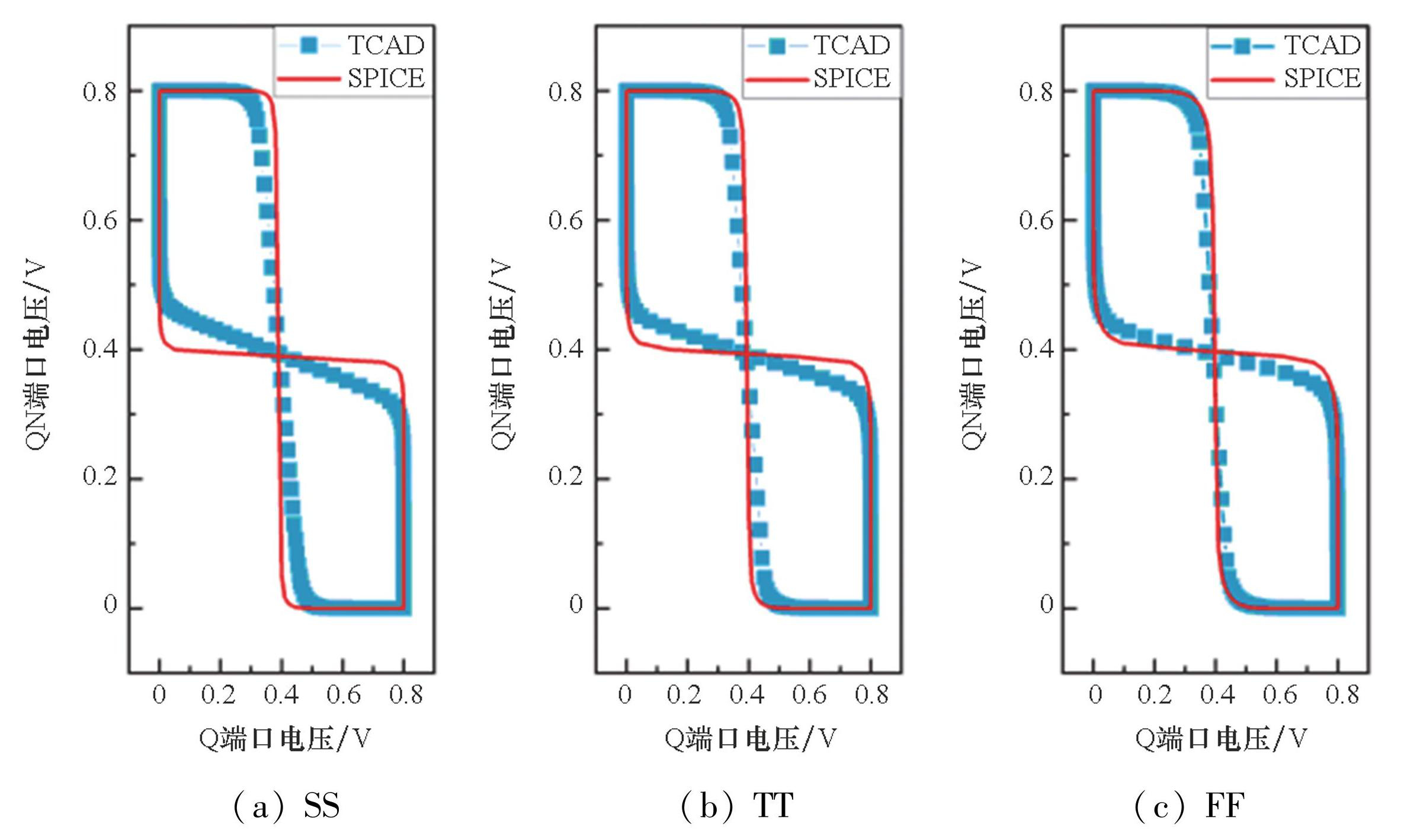
为了证明建模方法的准确性,通过以上数据,分别构建了在TT、FF和SS工艺角下,沟道长度为16 nm的FinFET SRAM TCAD模型,如图2所示。对三种晶体管进行了三种工艺角下I-V特性的仿真,并与工艺厂提供的SPICE模型仿真曲线进行对比,其TT工艺角下的校准结果如图3和图4所示。图中的紫色区域为以SPICE的I-V特性为基准构建的±10%的误差区间。仿真结果显示,NPG、NPD、PPU晶体管的I-V曲线在三种工艺角的条件下误差均在±10%范围内。基于完成电学特性校准的6T-SRAM TCAD模型,通过仿真蝶形图验证其电学特性,仿真结果见图5。在所有工艺角下,蝶形图的转换电平与SPICE模型的误差小于±10%,其中TT工艺角下小于±1%。值得注意的是,三维TCAD模型仿真的跳变时长却显著长于SPICE模型,其原因是TCAD模型仿真时使用的高场饱和模型,在晶体管电流极小(小于10-8 A)时,由于载流子数量过少,易使得模型不收敛。为保证模型良好的收敛性,高场饱和模型被设置了较为宽松的收敛误差范围,然而这导致在计算关态电流时会比实际情况更大,使得TCAD模型中的晶体管相比于SPICE模型具有更大的关态电流(TCAD模型10-10 A,SPICE模型10-11 A),造成更低的亚阈值摆幅。但以上关态电流的误差不会对器件的单粒子特性造成影响。
图26T-SRAM器件三维TCAD模型
Fig.26T-SRAM 3D TCAD model
图36T-SRAM中晶体管Id-Vd校准结果
Fig.36T-SRAM transistors Id-Vd calibration result
图46T-SRAM中晶体管Id-Vg校准结果
Fig.46T-SRAM transistors Id-Vg calibration result
图56T-SRAM不同工艺角下蝶形图
Fig.5Butterfly curve of 6T-SRAM in different process corner
综上所述,本研究建立的FinFET SRAM三维TCAD模型具有较好的精度,其在TT、FF和SS工艺角下I-V和蝶形图特性在关键电学参数上与实际的工艺相比误差均小于±10%,满足进行亚20 nm FinFET工艺下SRAM单粒子翻转阈值的相关研究要求。
2 不同工艺角对单粒子翻转阈值的影响
基于构建的不同工艺角下FinFET SRAM三维TCAD模型,对其进行重离子辐照仿真,分别探究当重离子轰击NMOS或PMOS时,在不同工艺角下FinFET SRAM翻转阈值的变化。根据建立的多工艺角三维TCAD SRAM模型,使用瞬态仿真的方法进行重离子效应的仿真。重离子效应仿真中,电子空穴对分布半径为100 nm[28],且为高斯分布。利用二分法修改LET值,其方法如下:分别仿真在LET为A和B的条件下SRAM的翻转情况,其中A小于B。如果A和B均发生翻转,说明翻转阈值小于A,则选取一个小于A的LET值进行仿真,并作为新的A值。如果A和B均未发生翻转,说明翻转阈值大于B,则选取一个大于B的LET值进行仿真,并作为新的B值。如果A未出现翻转而B出现了翻转,则翻转阈值在A至B中间,之后选择A至B的中点作为LET值进行仿真,如果新的LET值仿真结果为翻转则为B值,否则为A值。按照以上方法重复仿真,直到A和B的差等于0.1 MeV·cm2/mg,则B是该节点下的翻转阈值。仿真中的其他物理模型与I-V特性和蝶形图的仿真相同。在对SRAM进行轰击前,会先对SRAM单元进行赋值,写入的存储数据为1。对敏感节点——NMOS和PMOS的漏极进行轰击,轰击的位置见图2,图中的节点A和D为NMOS晶体管的漏极,节点B和C为PMOS晶体管的漏极。节点A和B相连接,对应图1电路中的Q节点;节点C和D相连接,对应图1电路中的QN节点。由于SRAM版图结构的对称性,当SRAM单元存储1时轰击节点C和节点D,与存储0时轰击节点A和节点B的效果相同,因此决定仿真在存储1时轰击节点A到D。
对FinFET不同工艺角下SRAM三维TCAD模型的单粒子翻转阈值仿真结果见表3,轰击后节点Q的电压变化结果见图6。图6中轰击节点A时的LET值为7.0 MeV·cm2/mg,其余节点为120 MeV·cm2/mg。若单粒子翻转阈值大于120 MeV·cm2/mg,便可以认为该节点不会受到重离子影响,为单粒子翻转免疫节点。仿真结果显示,四个轰击点中只有节点A发生了单粒子翻转,且在三个工艺角下,FF工艺角具有最高的翻转阈值,SS和TT工艺角具有最低的翻转阈值,但三种工艺角的波动变化仅有0.1 MeV·cm2/mg,工艺波动造成的影响极小。过去针对平面体硅工艺的研究则认为,SRAM存储器单粒子翻转阈值随工艺角会产生显著的波动[2]。以上仿真结果表明,FinFET工艺下的SRAM的单粒子翻转阈值基本不受制造过程中工艺涨落的影响,该现象与平面工艺不同。
表3不同工艺角下SRAM单粒子翻转阈值仿真结果
Tab.3Simulation result of SRAM SEU threshold at various process corner
图6重离子轰击节点A~D时,节点Q的电压变化
Fig.6Node Q potential variation after heavy-ion hit point A~D
此外,从仿真的结果中可以发现,存储数据为1时与Q节点相连的NMOS晶体管是最敏感的节点,而在过去被认为最容易翻转的与Q节点相连的PMOS晶体管却没有发生翻转。从图7所示重离子轰击的电势变化可究其原因:Quenching效应使得PMOS未发生翻转[29-31]。该效应的内容是:当两个晶体管的距离足够近时,重离子轰击其中一个晶体管引发的电子空穴对会影响邻近的晶体管,然而这种情况下,两个相关节点的电势更容易保持为原来的状态,使得两个节点更不容易翻转。在FinFET工艺下的SRAM单元中,两个晶体管之间的横向间距为80 nm,纵向间距为48 nm,纵向的两个晶体管间距小于重离子产生的电子空穴对的半径,引发了Quenching效应,使得PMOS晶体管反而具有更高的翻转阈值。另外,文献[32]中的试验现象与本研究的仿真现象一致。因此,该仿真结果表明,FinFET工艺下的SRAM敏感节点为存储数据1的NMOS漏极,这与平面工艺的结论不同。
图7重离子轰击节点A和C的电子和空穴密度的截面图
Fig.7Electron & hole density snapshot after heavy-ion hit node A and C
3 不同工艺涨落特性对单粒子翻转阈值的影响
在初步研究了FinFET工艺中SRAM存储器在不同工艺角下的单粒子翻转阈值后,需要对各种可能影响单粒子阈值翻转的因素进行定量研究。基于在第1节中得到的实际工艺中各个工艺角参数变化范围,以及学界认为对单粒子效应有影响的因素,本文将研究鳍的厚度、鳍的高度、功函数、栅氧厚度波动对SRAM存储器单粒子翻转阈值的影响。目标工艺的鳍的厚度、鳍的高度、栅氧厚度和功函数的参数及波动范围见表4,其波动范围与实际工艺中的波动情况保持一致。研究单一工艺涨落因素对单粒子翻转阈值影响的研究将基于基准参数——TT工艺角下的参数进行,研究要素的波动范围将根据表4中填写的工艺波动范围进行。由于在前序研究中,节点A为该FinFET下SRAM的敏感节点,即只有节点A存在翻转阈值,故本节的研究中使用的重离子轰击仿真将只轰击节点A,其余的仿真设置同探究工艺角单粒子翻转阈值研究。
表4鳍的厚度、鳍的高度、栅氧厚度和功函数在某商用工艺中的变化范围
Tab.4The fin thickness, fin height, gate oxide thickness and work function range in a commercial process
对鳍的厚度和高度的仿真结果见表5。仿真结果表明,在商用工艺的波动范围中,鳍的厚度和高度不会对单粒子翻转阈值造成影响。究其原因,在实际工艺中鳍的厚度和高度变化十分微小,对NMOS和PMOS晶体管寄生电容和驱动能力的影响较为均衡,且电荷的沉积量波动不足以使得电荷收集量发生较大改变。而在对栅氧厚度变化对单粒子翻转阈值影响的研究中,观察到了翻转阈值的波动。较厚和较薄的栅氧变化均引起了翻转阈值的波动,仿真结果见表5。究其原因,栅氧厚度的变化会使得晶体管的阈值电压和栅极电容发生波动,阈值电压的波动往往会引起SRAM翻转阈值的变化。然而,由于栅氧的波动变化并不会区分NMOS或PMOS产生特定的波动,因此栅氧的波动会同时引发NMOS和PMOS阈值电压的同时变化,使得栅氧引发的翻转阈值未产生趋势性的变化。此外,虽然栅氧厚度会对栅极电容产生影响,但在本商用工艺的波动范围下,其寄生电容的变化相较于重离子轰击产生的电荷收集而言并不显著,因此仿真结果未见其产生影响。
表5不同鳍的厚度、鳍的高度和栅氧厚度下的翻转阈值
Tab.5The upset threshold under fin thickness, fin height and gate oxide thickness variation
为了研究功函数对FinFET SRAM翻转阈值的影响,同时验证栅氧厚度影响SRAM翻转阈值的机理,进行了功函数与SRAM单粒子翻转阈值的仿真。在进行仿真的过程中,每一次仿真仅对NMOS或PMOS中的一种晶体管的功函数进行波动调整,以研究同一种晶体管的工艺波动对SRAM翻转阈值的影响。仿真的结果见表6。仿真结果显示,对于NMOS晶体管而言,功函数的升高使得SRAM翻转阈值升高,反之下降;对于PMOS晶体管而言,功函数升高使得SRAM翻转阈值下降,反之升高。由于NMOS和PMOS晶体管的载流子分别为电子和空穴,对于NMOS晶体管而言,功函数升高意味着晶体管阈值电压升高、饱和电流降低、晶体管开关速度降低;对于PMOS晶体管而言,功函数升高意味着晶体管阈值电压降低、饱和电流升高、晶体管开关速度提高。在体硅的研究中表明,更慢的晶体管开关速度意味着更低的单粒子瞬态脉冲和更高的翻转阈值[2],功函数的仿真结果与体硅中的相关研究保持了一致。此外,仿真结果显示,相较于PMOS,NMOS对单粒子翻转阈值的影响更为显著。虽然功函数对FinFET工艺下的翻转阈值产生了影响,然而相较于体硅工艺,其波动仍然微小。
表6不同晶体管功函数下的翻转阈值
Tab.6The upset threshold under work function variation
为了进一步探究FinFET SRAM工艺涨落对单粒子翻转阈值波动影响相较平面工艺较小的原因,按照文献[4]中描述的体硅条件下关键工艺参数的波动范围,对FinFET SRAM的单粒子翻转阈值进行了仿真。其相关参数波动范围见表7。除表7中提及的参数发生了变化外,其他仿真设置不变。仿真结果见图8和图9。仿真结果显示,在波动幅度为±20%的鳍的平均厚度和鳍的高度仿真中,鳍的高度波动造成的单粒子翻转阈值波动幅度最大,阈值波动绝对值为1.7 MeV·cm2/mg,与标准翻转阈值相比波动范围达42.5%;在波动幅度为±4%的栅氧厚度、NMOS和PMOS功函数仿真中,栅氧厚度波动造成的单粒子翻转阈值波动幅度最大,阈值波动绝对值为0.4 MeV·cm2/mg,与标准翻转阈值相比波动范围为10.0%。相较于平面工艺,从仿真结果可以得出FinFET器件工艺涨落对单粒子翻转阈值波动影响较小的原因。其一,FinFET工艺的电荷收集更多发生在鳍上,其收集量取决于沉积量[33],与平面工艺相比,鳍上电荷沉积量远少于体上沉积的量,而工艺波动难以导致鳍上电荷的沉积量发生大的改变,鳍平均高度和厚度的波动引发翻转阈值波动大于栅氧和功函数的波动的仿真结果有效支持了这一结论;其二,与平面工艺±20%的参数波动相比,FinFET器件最高仅为2%的参数波动,其波动幅度远小于平面工艺。综上所述,对于FinFET SRAM器件在平面工艺的波动范围下,鳍的高度波动造成了最大的单粒子翻转阈值波动,但得益于鳍上沉积电荷量少和更稳定的工艺控制,相较平面工艺,FinFET SRAM工艺涨落对单粒子翻转阈值波动影响较小。
表7鳍的厚度、鳍的高度、栅氧厚度和功函数在体硅工艺波动条件下的波动范围
Tab.7The fin thickness, fin height, oxide thickness and work function range at bulk planar fluctuation condition
图8鳍的平均厚度和鳍的高度在平面体硅工艺波动条件下的SRAM单粒子翻转阈值
Fig.8The upset threshold under fin average thickness and height at bulk planar process fluctuation condition
图9栅氧厚度、NMOS和PMOS功函数在平面体硅工艺波动条件下的SRAM单粒子翻转阈值
Fig.9The upset threshold under oxide thickness, NMOS and PMOS work function at bulk planar process fluctuation condition
4 结论
本文研究了亚20 nm FinFET工艺下典型的单端口SRAM存储器单粒子翻转阈值随工艺涨落的变化。研究结果表明,亚20 nm FinFET工艺涨落对SRAM的翻转阈值产生的影响极其微小,其敏感节点位于与节点Q连接的NMOS晶体管漏极,这与体硅的研究结果明显不同。为了研究FinFET工艺涨落对SRAM存储器单粒子翻转阈值的影响,提出了一套基于某商用工艺的SRAM三维TCAD模型的建模方法,建立的三维TCAD模型具有较高的精度,其关键电学特性误差均小于10%。基于该模型研究了具体的工艺涨落因素对FinFET SRAM单粒子翻转阈值的影响。仿真结果表明,功函数和栅氧厚度对翻转阈值产生了影响,但产生的影响并不显著,这与平面工艺完全不同。将波动范围按照平面工艺放大,发现鳍的高度波动的影响最大,得益于FinFET工艺下鳍上沉积电荷量少和更稳定的工艺控制,FinFET SRAM单粒子翻转阈值波动显著小于平面工艺。
本研究结果指出,相较于传统的平面体硅工艺,FinFET器件工艺波动对SRAM存储器的翻转阈值未产生显著影响,其具有更好的工艺稳定性。该发现意味着基于亚20 nm FinFET工艺设计的抗辐射集成电路在考虑对SRAM加固时,可以不必考虑工艺波动造成的额外加固开销,对研制高一致性的抗辐射宇航用集成电路具有重要意义。




