摘要
针对高阶连续线性多智能体系统,给出了采样通信条件下最小能量时变编队设计方法。利用采样时刻多智能体系统局部邻域信息,提出了考虑全局控制能量消耗的时变编队协同控制协议。采用状态空间分解方法,将多智能体系统的时变编队问题转化为分解后不一致子系统的稳定性问题。构造了编队可行性条件,利用广义特征值方法,给出了最小能量约束时变编队分析和设计的充分条件,确保多智能体系统在最小能量约束下实现采样通信时变编队。对理论结果进行数值仿真验证。仿真结果表明,采取最小能量约束编队控制方法,能够有效降低多智能体系统在采样通信条件下实现时变编队的全局控制能量消耗。
Abstract
For high-order continuous linear multi-agent systems, a minimum-energy formation design method with sampled-data communication was proposed. Based on local neighboring information of multi-agent systems at sampling time, a time-varying formation cooperative control protocol with global control energy consumption being considered was presented. By the state-space decomposition method, the time-varying formation problem of multi-agent systems was transformed into the stability problem of decomposed non-consensus subsystems. A formation feasible condition was constructed, and sufficient conditions for the design of time-varying formation under minimum-energy constraints were obtained by the generalized eigenvalue approach, which ensured that the time-varying formation of multi-agent systems could be realized under minimum-energy constraints. Theoretical results were verified by a numerical simulation, and simulation results show that the formation control method with minimum-energy constraints can effectively reduce the global control energy consumption of time-varying formation of multi-agent systems with sampled-data communication.
多智能体系统协同控制是当前人工智能(artificial intelligence,AI)研究的一个热点,受到了国内外众多科研工作者的极大关注[1-4]。一致性理论是多智能体系统协同控制的基础,基于一致性的编队控制属于多智能体系统协同控制的一个重要分支,核心思想是通过分布式的信息交互作用,使得所有智能体最终形成并保持一个相对状态或者输出呈现特定关系的时变或时不变的结构形式。当前,多智能体系统编队控制在协同定位、持续监视、负载运输和目标追踪等方面都取得了许多有价值的研究成果[5-7],在民生民用和国防军事领域也得到了较为广泛的应用[8-12]。
根据编队队形结构的变化特性,基于一致性的编队控制可分为时不变编队控制和时变编队控制[13]。文献[14]提出了一种有限时间编队控制算法,利用多轮式移动机器人进行了时不变编队的仿真实验。文献[15]针对系统中执行器故障以及各智能体之间不确定控制方向,研究了一类非线性异构多智能体系统固定时间时不变编队控制问题。但是,由于实地环境或状态变化需要,或者根据目标跟踪、拦截规避和立体监测等不同任务需求,通常要求编队队形结构按照特定规律变化。文献[16]研究了一阶时滞多智能体系统固定时间时变编队控制问题,并在E-puck机器人平台上进行了动态编队实验。文献[17]研究了切换有向拓扑条件下二阶多智能体系统时变编队控制问题,给出了编队可行性条件,推导出了描述整个系统宏观运动的编队参考函数。文献[18]研究了切换拓扑和间歇通信条件下一般高阶多智能体系统的时变输出编队问题。文献[19]提出了一种基于模型的控制律来实现多层时变编队控制。对比时不变编队和时变编队控制设计,时不变编队是时变编队的特殊类型,时变编队的向量导数会对多智能体系统整体动力学特性产生影响,只有满足特定约束才可实现时变编队,并且实现难度明显高于时不变编队[16]。
多智能体系统协同控制策略一般建立在连续通信(continuous communication)的基础上,但由于带宽限制,连续通信容易发生数据丢包、信息堵塞等现象。此外,为更好地适应数字技术及设备的深度发展和广泛应用,智能体之间一般采取采样通信(sampled-data communication)方式进行信息交互,即各智能体按照一定时间间隔,逐点获取邻居智能体瞬时信息,将连续通信交互方式变为采样通信交互方式。这种按照一定时间间隔逐点采样通信的控制技术得到了广泛认可和应用,又称为采样控制技术[20-23]。对于采样通信条件下时不变编队,文献[24]研究了基于采样数据的多领导者二阶多智能体系统的时不变编队追踪问题,其中领导者之间没有交互作用。文献[25]研究了只有采样位置信息的二阶多智能体系统编队合围问题,其中领导者形成了速度固定的时不变编队。文献[26]研究了具有时变延迟和周期采样的非线性二阶领导跟随多智能体系统时不变编队跟踪控制问题,可以实现均方指数稳定和几乎确定的指数稳定的编队跟踪。对于采样通信条件下时变编队控制,文献[27]主要研究了多领导者多智能体系统时不变编队,其中领导者之间没有通信,跟随者之间的通信交互发生在采样时刻。文献[28]提出了一类两层采样数据编队合围控制协议,实现了非线性动态领导者指定时间编队合围控制和指定时间跟踪。更多关于多智能体采样控制的一些基础理论和研究成果可以参考文献[29-30]。虽然采样控制方法能够有效减少网络通信负担,但也容易导致控制能量消耗的增加,特别是在采样周期非常小的情况下[31]。因此,如何在采样通信条件下确保多智能体系统时变编队可实现的同时降低控制能量消耗,是一个值得深入研究且富有挑战性的问题。
节省能量消耗对控制系统延长寿命、提升效率具有重要意义。关于多智能体系统协同控制过程中的全局控制能量消耗的优化问题,通常被建模成次优或最优问题来分析处理。目前,一些专家学者对于控制能量消耗在全局寻优、能量约束等方面取得了一定研究成果。关于控制能量消耗全局寻优,文献[32]提出了一种网络估计方法,通过求解一个单一智能体级别的参数代数Ricatti方程,来确保多智能体系统在实现一致性的同时控制能量消耗近似最小,但要求作用拓扑趋向于完全图。文献[33]研究了作用拓扑图为无向图的多智能体系统的最优控制问题,利用了Laplacian矩阵最小非零特征值设计最优增益矩阵,得出了在作用拓扑图为完全图且边权重相等时,可以达到最低控制能量成本的结论。从文献[32-33]可以看出,全局寻优要求获取每一个邻居智能体的信息,即作用拓扑图为完全图,这对于多智能体系统是一个很严格的约束条件。关于能量约束编队控制,文献[34]研究了状态延迟条件下大规模奇异系统的有限时间保成本控制问题,提出了一种结合Lyapunov函数方法的奇异值分解方法。文献[35]研究了预算能量约束条件下多智能体系统编队控制问题,通过预先给定能量约束实现对全局控制能量消耗的优化。但是,文献[34-35]提出的保成本和预算能量约束协同控制策略,没有考虑求解全局控制能量消耗最小值的问题。在我们前期工作[36-37]中,通过构造一个最小能量约束来限制全局控制能量消耗上界,达到了编队形成过程中优化全局控制能量消耗的目的。但是,文献[36-37]研究的是控制输入连续变化情形下的控制能量消耗最小问题。在多智能体系统中,相互之间的通信多由数字化计算机系统处理,一般按照工作时钟以固定周期进行采样、通信和计算,因此研究周期采样通信条件下能量优化编队控制方法,对于在工程应用中降低能量消耗、调节资源分配和衡量控制效能等,具有重要的现实意义。通过查阅文献资料,发现在采样通信条件下多智能体系统最小能量约束时变编队控制问题上,还鲜有研究成果报道。
综上所述,研究采样通信条件下多智能体系统最小能量约束时变编队协同控制问题,主要围绕确保多智能体系统在实现时变编队的同时全局控制能量消耗最小的问题展开,属于优化协同控制问题研究。首先,构造了采样通信条件下考虑全局控制能量消耗的分布式时变编队协同控制协议。然后,依据状态空间分解,把时变编队协同控制问题转化成不一致子系统的稳定性问题。最后,利用广义特征值理论,提出了分析和设计线性矩阵不等式意义下多智能体系统最小能量约束时变编队的充分条件。在多智能体系统中,各智能体的能量资源通常非常有限,因此研究如何降低控制能量消耗具有重要的理论价值和实际意义。本文围绕采样通信条件下多智能体系统时变编队控制能量消耗最小问题展开研究,创新之处主要体现在三个方面:①相比于文献[34-35]中没有考虑协同控制过程中如何确保全局控制能量消耗最小的问题,本文构造了最小能量约束来限制全局控制能量消耗的上界,利用广义特征值理论,得到了线性矩阵不等式意义下多智能体系统实现最小能量约束时变编队的充分条件;②相比于文献[36-37]中全局控制能量消耗上界建立在连续控制输入的基础上,本研究提出的全局控制能量消耗上界建立在采样控制输入的基础上;③相比于文献[34-37]中多智能体系统的控制输入是连续变化的,在本研究构造的考虑全局控制能量消耗的编队控制协议中,单个智能体和期望时变编队的动力学模型是动态连续的,但智能体之间的信息交互是离散采样的。
1 预备知识与问题描述
1.1 图论知识
在多智能体系统协同控制中,智能体之间的信息交互关系,通常用作用拓扑图的形式来直观表示[38-39]。具有N个智能体的多智能体系统,其信息交互关系通常被建模为作用拓扑图G=(
,
,w)。其中:
={v1,v2,···,vN}表示图的节点集,顶点vi(i∈{1,2,···,N})代表多智能体系统中的第i个智能体;
={(vi,vj),i≠j; vi,vj∈
}表示图的边集,(vi,vj)代表智能体vi到智能体vj的一条边,记作eji;w∈RN×N表示N×N维的邻接矩阵,其中的元素wij表示边eji的权重,当eji∈
时,wij>0,否则wij=0。定义节点vi的邻居集为
。如果两个不同的智能体之间通信是相互的,即wij=wji>0,那么对应的交互作用拓扑图为无向图。单个智能体不存在自循环,即wii=0。作用拓扑图的数学性质通常用Laplacian矩阵L=D-w来描述,其中D=diag{d1,d2,···,dN},。如果作用拓扑图中不存在与其他节点没有任何交互作用的孤立节点,那么称该作用拓扑图为连通图。本研究所涉及的作用拓扑图均为连通的无向图,对应的Laplacian矩阵L是对称矩阵。关于无向图Laplacian矩阵的部分性质见引理1,更多关于代数图论的理论知识可参考文献[40]。
,
,w)。其中:
={v1,v2,···,vN}表示图的节点集,顶点vi(i∈{1,2,···,N})代表多智能体系统中的第i个智能体;
={(vi,vj),i≠j; vi,vj∈
}表示图的边集,(vi,vj)代表智能体vi到智能体vj的一条边,记作eji;w∈RN×N表示N×N维的邻接矩阵,其中的元素wij表示边eji的权重,当eji∈
时,wij>0,否则wij=0。定义节点vi的邻居集为
。如果两个不同的智能体之间通信是相互的,即wij=wji>0,那么对应的交互作用拓扑图为无向图。单个智能体不存在自循环,即wii=0。作用拓扑图的数学性质通常用Laplacian矩阵L=D-w来描述,其中D=diag{d1,d2,···,dN},。如果作用拓扑图中不存在与其他节点没有任何交互作用的孤立节点,那么称该作用拓扑图为连通图。本研究所涉及的作用拓扑图均为连通的无向图,对应的Laplacian矩阵L是对称矩阵。关于无向图Laplacian矩阵的部分性质见引理1,更多关于代数图论的理论知识可参考文献[40]。
引理1 L∈RN×N是无向图G的Laplacian矩阵,,其中上标T表示将行向量[1,1,···,1]转置,1N代表各元素均为1的N维列向量,则有如下结论:
1)L至少具有一个0特征值,即L1N=0,其中0代表各元素均为0的N维列向量;
2)如果G是连通的,那么0是L的单一特征值,其余的N-1个特征值均为正数。
1.2 单个智能体动力学模型
考虑一个高阶多智能体系统,其中包含N个智能体,编号为1,2,···,N,每个智能体的动力学特性由高阶积分器来描述,并建模为如下状态空间表示式:
(1)
式中,i∈{1,2,···,N},A∈Rd×d和B∈Rd×m分别表示智能体i的系统矩阵和输入矩阵且(A,B)可镇定,和分别表示智能体i的状态变量和控制输入,Rd和Rm分别表示d维和m维的列向量。令
则多智能体系统(1)的全局状态方程可被描述为
其中,IN代表N维单位矩阵,表示矩阵的Kronecker积。期望的编队模型用列向量函数来表示,其中是一个连续有界可微函数。
1.3 采样通信协同控制协议
多智能体系统中智能体控制输入采用周期采样策略,采样间隔用h=tp+1-tp表示,其中tp (p=0,1,2,···)表示采样时刻且初始时刻t0=0。提出如下协同控制协议:

(2)
其中,K∈Rm×d表示m×d维的控制增益矩阵,Q∈Rm×m表示m×m维的控制能量消耗权重系数,E表示多智能体系统实现编队过程中的全局控制能量消耗。下面,给出多智能体系统(1)实现最小能量约束编队的定义:
定义1 对于任意有界且不完全相同的初始状态,如果,且全局控制能量消耗E<Emin,其中Emin为最小能量约束,那么称多智能体系统(1)在协同控制协议(2)的作用下实现了最小能量约束时变编队。
该研究的目的主要有两个:①确定最小能量约束来限制全局控制能量消耗的上界,从而实现对全局控制能量消耗的优化;②分析和设计采样通信条件下多智能体系统控制能量消耗优化时变编队的控制策略。
注1:在文献[17,35-38]中,控制器利用的智能体状态信息是连续的。在设计的协同控制协议(2)中,控制器利用的智能体状态信息是采样获得的,控制器每隔一个采样周期发生阶跃变化一次,其触发时间间隔为采样间隔h,相邻的两次触发时间间隔为一个正的下界,因此控制输入在有限时间内不会被无数次触发,不会出现Zeno现象。这样的设计,符合数字化计算机系统离散采样控制工程实际,既可以减少通信系统带宽的占用,缩减控制器计算次数,也可以避免一些不必要的控制能量消耗。
注2:在协同控制协议(2)中,控制输入ui(t)是阶跃变化的,而全局控制能量消耗E是控制输入ui(t)和控制能量消耗权重系数Q的连续时间二次积分函数,这是与文献[22,37]中计算全局控制能量消耗的最大区别。其中,控制输入ui(t)与控制增益K相关,需要在采样时刻采集处理邻居信息而不需要全局信息,属于分布式的协同控制,由此也建立了控制增益K与全局控制能量消耗E的数学关系。因此,研究多智能体系统最小能量约束编队,就是研究如何分析和设计控制增益K,使得多智能体系统在实现编队的同时优化全局控制能量消耗。
1.4 多智能体系统全局状态和控制能量消耗分析
参考文献[41]处理基于采样数据的系统模型为时变时延系统模型的方法,定义一个连续函数τ(t)=t-tp,其中t∈[tp,tp+1),则协同控制协议(2)中控制输入ui(t)可以由下式表示:

(3)
根据1.1节图论知识和式(3)中对无向拓扑图的数学描述,多智能体系统(1)的全局控制输入可以用下式表示:
(4)
由此,可以得到多智能体系统采样通信控制条件下全局状态方程的紧凑形式如下:
(5)
令
于是可知
结合式(2)和式(5),可以推导出
(6)
(7)
由此,利用建立的时变时延模型,建立了采样通信条件下全局控制能量消耗E与通信拓扑矩阵L和控制增益K的数学关系。
2 采样通信最小能量约束编队分析设计
本节重点研究在采样通信条件下如何设计控制增益K,确保多智能体系统(1)在协同控制协议(2)作用下实现最小能量约束编队。首先给出两个引理:
引理2[42] 给定矩阵Z>0且Z∈Rn×n,对于任意连续的向量函数x:[a,b]→Rn,下列不等式成立:
引理3[43] 给定矩阵P=PT>0且P∈Rn×n,取常数h>0,对于任意连续向量函数x:[-h,0]→Rn,下列不等式成立:
依据引理1,对于无向连通作用拓扑图的Laplacian矩阵L,存在一个正交矩阵,使得TTLT=diag{λ1,λ2,···,λN},其中λi(i=1,2,···,N)为L的N个特征值,并且中各列向量为L的特征值λi(i=2,3,···,N)对应的单位特征向量且两两正交。
令
(8)
接着,对式(8)左右同乘,可以得到
(9)
将式(9)代入式(6),可以将由全局状态误差描述的多智能体系统(6),转化成如下两个子系统:
(10)
(11)
其中,JN-1=diag{λ2,λ3,···,λN}。由此,根据式(10)和式(11)可以看出和为系统(6)的两个子系统,可以用来描述系统(6)的一致动力学和非一致动力学。
依据文献[44]提出的编队可行性条件,如果,由式(10)~(11)描述的两个子系统可化简为
(12)
(13)
其中,i=2,3,···,N。综合式(7)和式(9),可以得到如下全局控制能量消耗表达式:
(14)
下面,分别定义两个线性无关的子空间和为
(15)
(16)
其中,。将式(9)中用(t)描述的线性空间,分解为由和描述的两个子空间,即
(17)
由式(15)可知
(18)
由于和线性无关,根据定义1,当且仅当时,
因此,可知当且仅当子系统(13)渐近稳定时,多智能体系统(1)才可实现时变编队。通过以上分析,将采样通信条件下的多智能体系统(1)的时变编队问题,转化为子系统(13)的渐近稳定性问题。
注3:利用正交变换法,将上述采样通信条件下高阶多智能体系统转化为两个线性无关的子系统:其中子系统(10)描述了多智能体系统的整体运动;子系统(11)描述了多智能体系统中各智能体之间的相对运动,当子系统(11)渐近稳定时,意味着多智能体系统(1)实现了时变编队。当时,即意味着各智能体与期望编队的追踪误差趋向于同一个值。在文献[45]中,被称为编队参考函数,能够描述多智能体系统编队运动的宏观模态。
下面,给出高阶多智能体系统(1)在采样通信条件下实现最小能量约束时变编队的充分条件。
定理1 对于任意有界且不完全相同的初始状态xi(0)-fi(0)(i=1,2,···,N),在P=PT>0,R=RT>0,W=WT>0,Z=ZT>0情况下,如果满足以下条件:
1);
2)min γ

那么具有控制协议(2)的多智能体系统(1)可以实现定义1描述的最小能量约束时变编队。其中,,,,*为对称项相应的转置矩阵。
证明:在t∈[tp,tp+1), p∈{0,1,2,···}内,建立Lyapunov-Krasovskii候选函数:
(19)
式中,
(20)
(21)
(22)
(23)
因为P=PT>0,R=RT>0,W=WT>0,可知V1(t)>0,V2(t)>0,V3(t)>0。由于Z=ZT>0,由引理2可知:
于是,可知V4(t)>0,进而可以得到V(t)>0。
下面,对式(20)~(23)分别求导,可得
依据积分变量代换和引理3,可以进一步得到
由此可知,
(24)
其中,
令
(25)

(26)
由式(24)~(26)可知

(27)
其中,,如果
(28)
必然能保证。
根据舒尔补定理,将式(28)转化为如下形式:

其中,。
根据式(26)~(27),如果
<0,则。由式(7)和式(25)可知
<0,则。由式(7)和式(25)可知
由式(8)和式(16)可知
(29)
其中,。
因为,可知。
由式(20)和式(29)可知
其中,。同时,由式(21)~(23)和式(29)可知V2(0)=0,V3(0)=0,V4(0)=0。于是,可以推导出
令为全局控制能量消耗的上界,可知E<Eub。
由于任意给定的初始状态(i=1,2,···,N)不完全相同,所以可知
(30)
进而由式(29)和式(30)可知
令为最小能量约束,其中未知标量γ>0,由Eub<Emin可推导出P-γId<0。令X=P-γId,定理1得证。
注4:本研究假设初始状态xi(0)-fi(0)(i=1,2,···,N)不完全相同,在现实中是合理的。因为如果初始状态xi(0)-fi(0)完全相同,根据定义1可知在初始状态时,多智能体系统(1)的期望编队已经形成,所以各智能体不再需要来自邻居智能体的控制激励作用。
注5:将最小能量约束和全局控制能量消耗的上界相比较,即通过Eub≤Emin,可以得到P-γId≤0,由此为多智能体系统实现控制能量消耗优化时变编队控制策略引入了一个新的约束条件。综合时变编队可实现的约束条件,在全部线性矩阵不等式约束可行的基础上,可以将整个能量优化编队控制策略作为优化问题求得线性矩阵不等式意义下的全局最小值γ和变量P的优化解,从而通过影响控制增益,达到优化全局控制能量消耗的目的。
在定理1中,利用线性矩阵不等式方法分析了K已知的情况下多智能体系统(1)实现最小能量时变编队的充分条件。但是,如果K未知,那么Mi中的PBK、ΘTW中的KTBTW和ΘTZ中的KTBTZ三个未知项均为非线性的,因而不能直接利用线性矩阵不等式方法来求解多智能体系统(1)实现最小能量约束时变编队的各个未知变量参数。下面,给出确定控制增益矩阵K的最小能量约束编队控制的设计判据。
定理2 对于任意有界且不完全相同的初始状态,在的情况下,如果满足以下条件:
1);
2)min γ

那么具有控制协议(2)的多智能体系统(1)可以实现定义1描述的最小能量约束时变编队。其中,,,,i=2,N,控制增益矩阵。
证明:首先,将控制增益设计为;其次,采用变量代换法,令,并分别代入定理1中的Mi和X;然后,对线性矩阵不等式Mi先左乘,再右乘,可以得到

其中,
令,由线性矩阵不等式组凸属性[46]可知,将最小非零特征值λ2和最大特征值λN代入线性矩阵不等式<0,只要<0且<0,即能保证<0(i=2,3,···,N)。令,定理2得证。
综合本研究问题描述和采样通信条件下最小能量约束编队控制分析和设计判据,给出全局系统结构图,如图1所示。
图1全局系统结构图
Fig.1Global system structure diagram
从图1中可以看出,首先,将多智能体系统动力学方程按照时变时延方法进行处理;其次,将处理后带有时延项的多智能体系统动力学方程进行状态空间分解,从而将编队实现问题转换为不一致子系统的渐近稳定性问题;再次,构造Lyapunov-Krasovskii候选函数分析不一致子系统的渐近稳定性问题,同时确立确保编队可实现的约束条件Mi和全局控制能量消耗的上界;然后,由有界且不完全相同初始状态构建能量约束,通过与全局控制能量消耗上界相比较得到最小能量约束条件X;最后,确立最小能量约束编队控制分析判据,并通过变量代换法得到最小能量约束编队控制设计判据。
3 仿真实验
选定一个由8个智能体组成的多智能体系统,智能体编号为i=1,2,···,8。单个智能体系统矩阵和输入矩阵分别为

初始状态为 x1=[-21,12,-13]T,x2=[20,-5,23]T,,x4=[8,7,-16]T,,x6=[-32,7,-8]T,x7=[-20,17,12]T,x8=[22,23,9]T。
交互作用拓扑图如图2所示,图中用不同形状、不同颜色的图形表示不同的智能体i。对应的Laplacian矩阵为
求得其最大特征值λN=6.191 2,最小非零特征值λ2=1.496 5。令期望时变编队函数为
可以发现,系统矩阵与期望时变编队函数之间的数学关系满足编队可行性条件。设仿真时间t=30 s,采样间隔h=0.01 s。
利用定理2的方法,采用线性矩阵不等式的最小广义特征值GEVP求解器[46],求得
图2多智能体系统交互作用拓扑图
Fig.2Interactive topology graph of multi-agent system
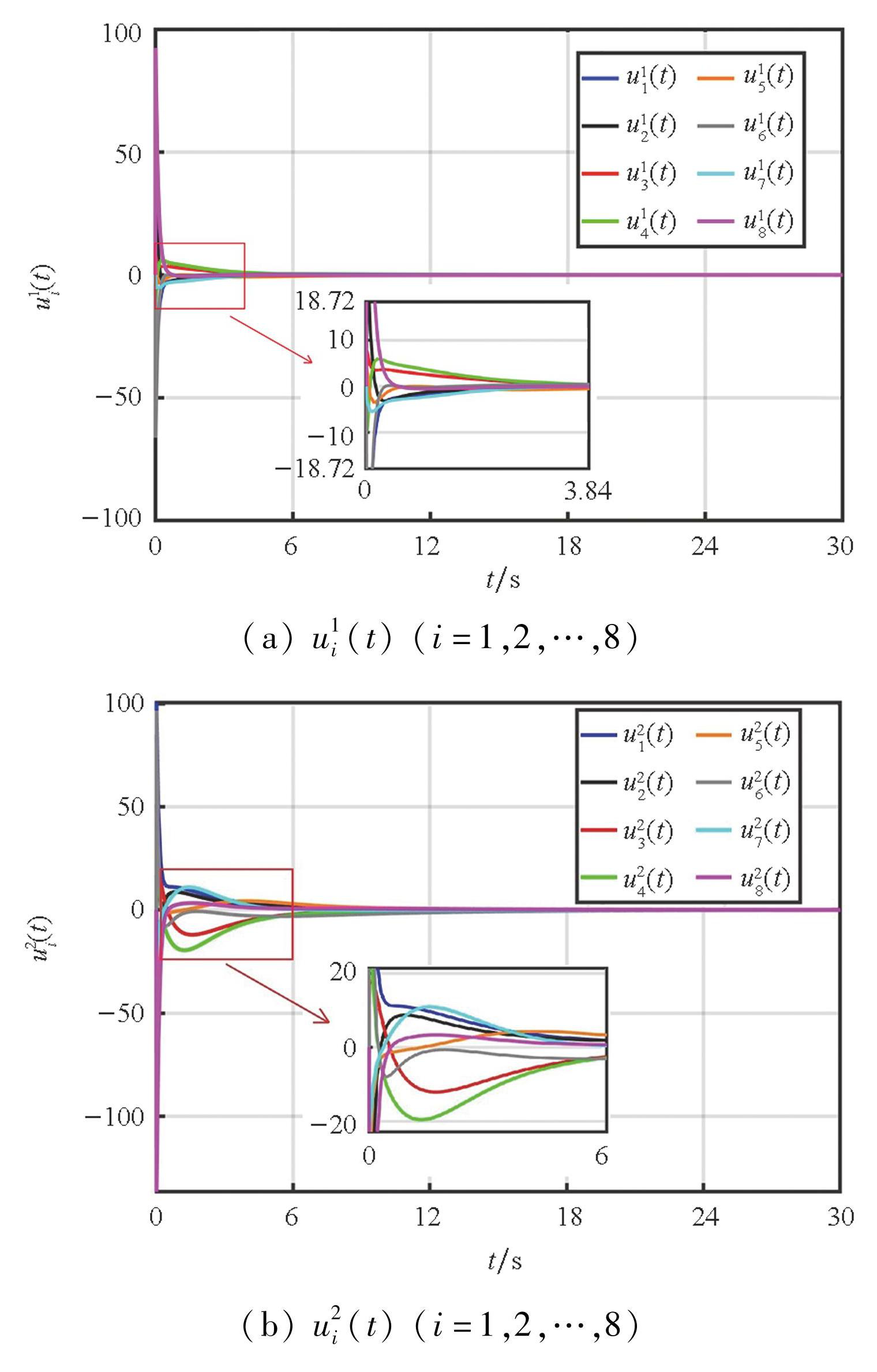
图3(a)和图3(b)显示了8个智能体控制器轨迹和,可以看出和整体呈递减趋势,最终趋向于0。从局部放大图中可以看出,控制输入存在跳变现象。分析原因,主要是在采样时刻邻居智能体之间交互信息发生突变,导致协同控制输入发生跳变。
图3控制器轨迹图
Fig.3Diagram of controller trajectories
图4(a)~(d)表示8个智能体在t取0 s、6 s、18 s和27 s的瞬时空间位置,从直观上显示了多智能体系统正八边形时变编队形成与保持的过程,分别表示智能体i在1、2、3维度上的值。其中:图4(a)表示各智能体0时刻的初始空间位置;图4(b)代表编队未形成时的状态;图4(c)代表期望编队基本形成时的状态;图4(d)表示形成的编队是时变的,因为与图4(c)相比,各智能体相对位置保持不变,绝对位置发生变化,表示所有智能体组合成正八边形的编队结构作绕圆运动。
图4不同时刻各智能体空间位置图
Fig.4Spatial location map of each intelligent agent at different moments

为了验证有最小能量约束编队控制设计方法的有效性和优势,在全局控制能量消耗、追踪误差和运动轨迹三个方面与无最小能量约束编队控制设计方法进行比较和分析:
1)全局控制能量消耗。利用控制协议(2)中的公式
来计算采用两种不同编队控制方法下的全局控制能量消耗值,取控制能量消耗权重系数Q=0.01×diag{1,1}。在有最小能量约束下,可以得到全局控制能量消耗的上界Eub=771.152 0,最小能量约束值Emin=1 285.081 2,实际全局控制能量消耗E(t)|t=30 s=111.779 4。在无最小能量约束下,可以得到全局控制能量消耗的上界EFub=38 338.013 6,实际全局控制能量消耗EF(t)|t=30=206.021 7。二者对比,可以发现E(t)|t=30 s<EF(t)|t=30 s,全局控制能量消耗降低了45.743 9%。图5分别用蓝色实线和紫红色实线表示在30 s内有最小能量约束和无最小能量约束两种情况下,多智能体系统实现编队过程中全局控制能量消耗E(t)和EF(t)的变化趋势,可以发现E(t)<EF(t)。
图5全局控制能量消耗E(t)和EF(t)
Fig.5Global control energy consumption E (t) and EF (t)
2)追踪误差。构建追踪误差函数来计算8个智能体与编队参考函数的追踪误差之和。用Zw_j(t)(j∈{1,2,3})表示有最小能量约束下8个智能体在第j维度方向上编队追踪误差的和,用ZFw_j(t)(j=1,2,3)表示无最小能量约束下8个智能体在第j维度方向上编队追踪误差的和。图6表示采取两种不同编队控制方法时所有8个智能体在第j维度方向上追踪期望编队误差和的对比,可以看出有最小能量约束的追踪误差和的曲线相对平滑,而无最小能量约束的追踪误差和的曲线存在一定波动。
3)运动轨迹。图7(a)~(b)展示了在0~3 s内,采取有最小能量约束和无最小能量约束编队控制方法多智能体系统空间运动轨迹,其中各智能体用青色虚线相连表示0 s时刻的初始位置,用红色加粗虚线相连表示3 s时刻的瞬时位置,其余颜色曲线都为各智能体运动轨迹;图7(c)~(d)展示了在3~18 s内,采取有最小能量约束和无最小能量约束编队控制方法多智能体系统空间运动轨迹,其中各智能体用黑色加粗虚线相连表示18 s时刻的瞬时位置。综合分析图7可以看出,采取两种不同编队控制方法的各智能体在时变编队形成前运动轨迹相差较大,但在编队形成后运动轨迹基本相同,在各个时刻的相对位置和绝对位置基本相同。分析原因主要是在编队形成过程中,因控制增益不同,导致运动轨迹不同;但编队形成后,因为编队参考函数相同,期望编队函数相同,而控制输入为零,所以整个编队的运动轨迹是相同的。
图6追踪误差Zw_ j(t)和ZFw_ j(t)对比图(j=1,2,3)
Fig.6Comparison of tracking errors Zw_ j (t) and ZFw_ j (t) (j=1, 2, 3)
图7有最小能量约束和无最小能量约束运动轨迹对比图
Fig.7Comparison of trajectories with and without minimum-energy constraints
综合图3~7分析,多智能体系统(1)在协同控制协议(2)作用下,能够实现最小能量约束期望时变编队,其中设计有最小能量约束的全局控制能量消耗小于无最小能量约束的全局控制能量消耗。
4 结论
针对采样通信条件下的多智能体系统,研究最小能量约束时变编队控制问题。提出了一种采样通信条件下考虑全局控制能量消耗的分布式时变编队协同控制协议;确定了采样通信条件下多智能体系统编队形成过程中全局控制能量消耗的上界;构造了最小能量约束,利用广义特征值方法,提出了线性矩阵不等式意义下最小能量约束时变编队协同控制分析与设计的充分条件,在确保编队可实现的同时实现了对全局控制能量消耗的最小约束。该充分条件与智能体的数量无关,具有可扩展性。后续,将结合最小能量约束,围绕非线性和奇异多智能体系统、事件触发机制和输出编队等方向做进一步研究。




