摘要
随着空间活动的日益频繁,由空间碎片和微流星体引发的超高速碰撞(hypervelocity impact, HVI)已成为威胁在轨航天器安全的主要因素。碰撞不仅造成机械损伤,其产生的等离子体所引发的电磁效应更是对高度集成化的航天器电子系统构成严重威胁。本文系统综述了超高速碰撞等离子体物理效应的研究进展,梳理了碰撞等离子体的产生机制、动力学特性、电磁辐射及诱导放电的理论与实验,重点聚焦于超高速碰撞中凝聚相产物(尘埃颗粒)的引入所形成的尘埃等离子体效应。本综述旨在为相关领域的研究人员提供一份全面的文献总结,并指明未来研究的关键科学问题与发展方向,以期为提升航天器在轨生存能力和发展新一代电磁防护技术提供理论支撑。
Abstract
With the increasing number of space activities, HVI (hypervelocity impacts) caused by space debris and micrometeoroids have become a major threat to the safety of spacecraft in orbit. Such collisions not only result in mechanical damage but also generate plasma, whose electromagnetic effects pose severe risks to highly integrated spacecraft electronic systems. A systematic review of plasma physical effects induced by hypervelocity impacts was provided. The review covered the mechanisms of plasma generation, kinetic characteristics, electromagnetic radiation, and induced discharge, encompassing both theoretical and experimental progress. Special emphasis was placed on the introduction of condensed-phase products (dust grains) in hypervelocity impacts and the resulting dusty plasma effects. This review aims to offer researchers in the field a comprehensive literature summary and to highlight key scientific questions and future research directions. Ultimately, it seeks to provide theoretical support for enhancing the survivability of spacecraft in orbit and for developing next-generation electromagnetic protection technologies.
自20世纪中叶人类迈入航天时代以来,近地空间环境发生了深刻的改变。一方面,人类航天活动以前所未有的规模和频率展开;另一方面,空间中非受控人造物体的数量也呈指数级增长。这些被遗弃的卫星、运载火箭末级、任务执行过程中的抛弃物以及撞击解体事件产生的碎片,构成了复杂的轨道碎片(orbit debris)环境。如图1所示,图1(a)给出了地球轨道上的空间碎片分布情况[1],其密集程度直观地揭示了潜在的撞击风险;图1(b)则通过统计数据展示了在轨人造物体数量的急剧增长[2],其中2009年[3]的卫星相撞事件导致曲线阶跃上升,该事件极大地恶化了空间碎片环境。
图1地球轨道空间碎片分布与数量统计
Fig.1Distribution and statistical count of space debris in Earth orbit
根据欧洲空间局(European space agency,ESA)于2025年3月发布的最新版《空间环境报告》,近地轨道的拥堵状况正持续加剧。截至2024年底,被追踪的在轨物体总数已超过39 000,其中失效的航天器、火箭体和各类碎片的数量总和已达到仍在轨运行的航天器(有效载荷)数量的近1.9倍[4]。这一增长趋势在近年来尤为迅猛,报告指出,仅在2024年就因数次重大的在轨破碎事件而新增了超过3 000个可追踪碎片[4]。这种高频率的增长并非偶然,数据显示,在过去的几年中,平均每季度就有约975个新的危险碎片被添加到追踪对象目录中[5]。综合来看,这些由高速运行(速度超过10 km/s)的大尺寸碎片(直径>1 cm)构成的群体,已对所有在轨航天器形成了巨大且日益严峻的威胁。
除人造碎片外,空间中还遍布着天然存在的微流星体(micrometeoroids)。这些主要起源于彗星和小行星的尘埃颗粒,在太阳系内高速穿行。如图2所示,图2(a)描绘了主要流星群的运行轨迹,当它们的轨道与地球轨道相交时,便会在特定时期内显著增高地球附近的粒子通量[6];图2(b)则定量对比了流星雨流星体[7]与全年持续存在的偶发流星体[8]所贡献的通量,显示了微流星体来源的复杂性与多样性。
图2太阳系中流星体运行轨迹分布与通量比率
Fig.2Distribution of meteoroid orbital trajectories and flux ratio in the Solar System
轨道碎片与微流星体共同构成了威胁航天器安全的核心环境因素。图3通过整合不同模型的相关数据,获得了地球附近较为完整的粒子通量谱。该图谱表明,在从μg到g的质量区间内,存在着数量庞大且持续存在的粒子流[8-9]。这些粒子在从低地球轨道(low Earth orbit,LEO)到地球同步轨道(geostationary Earth orbit,GEO)的广阔空间内,以数km/s乃至数十km/s的惊人速度(5~72 km/s)运行。由这种极高相对动能驱动的超高速碰撞(hypervelocity impact,HVI)事件的发生已非偶然,而是航天器全寿命周期内必须面对的常态化挑战。
在冲击动力学的研究中,超高速碰撞通常指固体物质在强动载荷作用下的一种复杂的物理响应[10-12]。其物理含义并非简单地由碰撞速度定义,而是由碰撞引发的材料响应特征来界定。具体而言,当撞击速度超过某一阈值时,碰撞瞬间产生的冲击波压力远超弹靶材料的强度极限,使得材料在作用区域内表现出近似流体的力学行为,这是超高速碰撞的本质物理特征[10-11]。在这一过程中,强烈的冲击波在弹靶材料中传播、加载与卸载,使材料在μs甚至更短的时间尺度内经历极高的压力和温度,从而引发一系列紧密耦合的复杂物理乃至化学变化[12]。
超高速碰撞所涵盖的物理现象范围极广,随着碰撞速度的增加,其物理效应呈现明显的层次性。在相对较低的超高速范围,主要表现为材料的塑性变形、断裂、破碎、成坑以及粒子云的膨胀[10]。当速度进一步提高,冲击波在材料中沉积的剩余比内能足以引发相变,依次可能出现多形性固-固相变、熔化、气化[13]。在更高的速度下,气化的物质会因高温高压发生电离,形成局部等离子体[14]。
在当前的工程应用和科学研究中,通常将数km/s到数十km/s(3~70 km/s)的速度区间视为超高速碰撞的典型范畴。该范围覆盖了空间碎片及微流星体对航天器的撞击、天体之间的碰撞以及现代动能武器作用等重要场景[10-12,15-16]。
超高速碰撞对航天器的损伤效应,可以从物理机制上划分为两大类:机械损伤与电磁损伤[14,17-18]。对于前者,即由撞击体蕴含的巨大动能在瞬时释放所导致的靶体材料穿孔、层裂、结构性破坏等,如图4(a)[19]所示,学界已经进行了长达数十年的系统研究。通过大量的地面实验与数值模拟,已发展出如经典的Whipple防护结构,如图4(b)[20]所示,及其衍生设计(如填充式、网状式防护屏等)的一系列相对成熟的防护理论与工程应用,为航天器抵御一定尺寸范围内的粒子撞击提供了有效保障[21-25]。
图4航天器部件超高速撞击效应及防护结构
Fig.4Hypervelocity impact effects on spacecraft components and a protective shielding structure
然而,随着航天器集成度与复杂度的日益提高,其内部搭载了大量低电压、高灵敏度的微电子元器件,这使得由碰撞引发的电磁损伤效应变得愈发突出,成为一个亟待深入研究的关键领域。
电磁损伤的物理根源在于,超高速碰撞能够在极端的时间尺度内,通过强激波压缩将撞击体的宏观动能转化为材料内能,导致靶体与弹丸材料经历剧烈的相变过程:从固态到熔融、气化,最终部分物质被电离,在撞击点附近形成高温、高密度的等离子体云[14]。该等离子体云以极高的速度(通常为数十km/s)向周围环境膨胀,其内部的电子振荡、电荷分离以及与航天器本体的相互作用,会辐射出覆盖从射频(radio frequency,RF)到微波(microwave)频段的强电磁脉冲(electromagnetic pulse,EMP),并通过孔缝、电缆等路径耦合至航天器内部,干扰甚至烧毁敏感电路。同时,膨胀的等离子体云也会改变航天器表面的电势分布,引发剧烈的表面充放电现象。
美国国家地球物理数据中心(NGDC)的统计数据库明确揭示了这一威胁的严重性:在有记录的航天器在轨异常事件中,归因于静电放电和电磁效应的故障数量高达数千起,见表1,其中有相当一部分可能与未被直接观测到的微小粒子撞击事件相关[26]。
尽管学界对碰撞等离子体的电磁效应有所认识,但现有的理论与数值模型大多存在一些简化,倾向于将撞击等离子体云理想化为纯粹的气态原子、离子和电子组合。事实上,撞击同时会产生大量未被完全气化或由蒸气再凝结而成的凝聚相物质,包括微米级的固态碎片和纳米至微米级的熔融液滴[14,17]。这些在撞击环境中所产生的凝聚相颗粒,在本文中统称为“尘埃颗粒”。它们与撞击等离子体、蒸气云及环境气体等相互作用,通过持续捕获周围的电子和离子而获得净电荷,以及通过其自身的烧蚀发生气化/电离等效应,进而形成物理特性截然不同的、更为复杂的多相系统——尘埃等离子体(dusty plasma)。特别是对于相对速度较低、更易产生尘埃颗粒和熔融物的轨道碎片撞击事件,这种尘埃等离子体效应尤为显著。
在超高速撞击环境中,尘埃颗粒的引入会影响传统撞击等离子体模型的物理情景,并引入了全新的动力学过程。首先,尘埃颗粒作为高效的电荷“收集器”,其充放电过程会动态地改变等离子体的电荷平衡状态、德拜长度和整体电导率。其次,这些携带数千乃至数万个元电荷的尘埃颗粒质量远大于离子,它们在电磁场中的动力学响应与轻质的电子和离子截然不同,可能从根本上改变撞击等离子体云的膨胀动力学,甚至激发新的低频不稳定性(如尘埃声波),成为潜在的新型电磁辐射源。再者,高温的尘埃颗粒通过热辐射和烧蚀/电离等过程,不断地与背景等离子体进行能量和质量交换,成为一个动态的能量“汇”与物质“源”。
在包含尘埃等离子体效应的超高速碰撞模型中,涉及冲击动力学、非平衡态相变、等离子体物理和多相流体力学的,具有多尺度、多物理场耦合特征的研究课题。目前,学界对这一领域的认知尚处于起步阶段,缺乏对尘埃等离子体在超高速撞击环境下具体行为的系统性理解。
因此,揭示在超高速碰撞的极端环境下,尘埃颗粒的形成、充放电、烧蚀等微观动力学过程,并阐明这些过程如何宏观地影响等离子体云的整体演化、能量输运及其最终的电磁辐射特征,已成为该领域亟待解决的核心科学问题。这不仅揭示了当前该领域的关键科学空白,也为后续的理论与实验研究指明了极具挑战性的方向。
近年来,国内学者已围绕超高速碰撞的电磁效应发表了数篇重要的综述性文章,为本领域研究奠定了坚实的基础。其中,张庆明团队[18,27-28]的系列工作系统地回顾了碰撞电磁辐射的现象学规律、时频特性,并总结了基于气相组分(电子、离子、原子)的经典辐射模型与微观模拟进展,详细地指出了当前研究存在的若干挑战。然而,这些重要的工作也反映出当前主流研究范式的一个共性,即其论述核心主要在于理想化的纯等离子体模型,未能充分涵盖碰撞产物中凝聚相物质所扮演的关键角色。
鉴于此,本综述的侧重点在于,系统性地聚焦于超高速碰撞物理中前沿的“尘埃等离子体”效应。深入梳理超高速撞击环境下尘埃颗粒的形成、充电与烧蚀等微观动力学机制,并在此基础上,着重评述这些微观过程如何耦合进撞击等离子体云的宏观演化,进而可能影响其电荷输运、能量平衡、膨胀动力学以及最终的电磁辐射特性。
本文旨在对超高速碰撞等离子体物理效应的国内外研究现状进行系统性的梳理与评述。文章将首先回顾关于碰撞等离子体产生机制的实验与理论研究;其次深入探讨等离子体膨胀动力学特性及其伴随的电磁辐射物理模型;再次重点聚焦并分析当前研究的前沿方向,即碰撞产物中尘埃颗粒所引发的尘埃等离子体效应;最后梳理作为重要工程应用的等离子体诱导放电现象的研究进展,并在此基础上对该领域的未来发展趋势进行总结与展望,以期为相关领域的科研工作者提供有益的参考。
1 超高速碰撞等离子体的产生机制
超高速碰撞等离子体的产生是后续电磁效应的物理起点,也是整个超高速碰撞中最为复杂、瞬态特征最强的物理过程。在极短的时间尺度和极高的能量密度下,材料经历强激波压缩、卸载膨胀,并伴随着复杂的相变与电离过程。因此,准确理解其产生机制、辨识其关键特征参数,是整个研究领域的基础与核心。在过去数十年中,国内外学者通过精密的实验测量与先进的理论模拟结合的方式,对这一过程展开了系统性研究。
1.1 实验研究
实验研究的探索始于20世纪60年代,Friichtenicht与Slattery的开创性工作首次证实,μm级粒子以超高速撞击靶体时,能够产生持续时间在μs量级的等离子体云,如图5所示[29]。他们通过分析发现,产生的总电荷量Qe与弹丸的质量mp和速度vp显著相关,并提出了经典的电荷产量经验公式:Qe∝(mp)α(vp)β,其中,α、β为指数。随后,不同研究者基于各异的弹靶材料、速度区间和诊断技术,得到的指数α、β存在显著差异。
Smith等[30]利用电子放大器收集到了高速碰撞中产生等离子体的电荷数,指出速度在1 km/s以下也会有电荷的产生。当速度约为1 km/s时,幂指数α发生显著转折,它标志着撞击过程从低速的热损失控制区进入了高速的冲击波电离区。实验表明,当速度低于1 km/s时,α=0.85;当速度高于1 km/s时,α=1.33。McBride和McDonnell[31]通过实验研究得到的指数为α=1.02以及β=3.48。其他学者通过研究得到的指数范围为2.8<β<4.8[32]。这些显著差异反映了超高速撞击形成等离子体过程的复杂性,其“电离效率”并非简单常数,而是与冲击压缩过程中的材料状态方程、相变路径、冲击波与稀疏波的相互作用等具体物理机制密切相关。同时,实验诊断的固有困难,如电荷收集的完备性、次级喷射物的影响等,也为确定统一的指数分布带来了不确定性。
为此,研究的焦点逐渐从测量总电荷量这一积分量,转向对等离子体内部参数的时空演化进行精细化诊断。Crawford和Schultz在美国宇航局实验室通过使用静电加速器、轻气炮和轨道炮作为超高速加速粒子源[33-36],测量了产生等离子体的导电率、密度和温度等参量。研究发现等离子体内包含离子、电子和中性粒子,并认为等离子体电导率是温度、压力、密度和电离度的复杂函数。实验表明,弹丸以5.5 km/s的入射速度、低碰撞角度(与靶板水平面夹角为15°)碰撞白云石靶板,可以使弹丸和靶板材料部分气化,产生等离子体。得到了碰撞速度在5.5~6 km/s情形下等离子体的电子温度为0.39 eV,电子密度可以达到109~1011 cm-3。
Ratcli等[37-38]测量了超高速碰撞产生等离子体的离子总量和等离子体能量,发现在1.2~87 km/s的撞击速度下,弹丸和靶板材料形成离子的特征能量通常在20~40 eV之间变化不大。Lee等则通过对靶板施加偏置电压,如图6类似实验布局,研究了外部电场对等离子体动力学行为的影响,这对于理解航天器表面带电环境下的碰撞效应尤为重要[39-40]。Fereydooni等[41]通过对太阳能电池盖玻璃材料的超高速撞击实验,使用飞行时间(time of flight,TOF)分析方法,研究了等离子体的产生、组成和初始速度。该研究揭示了不同偏压下等离子体中SiO+和SiO2-等主要物质的形成机制,为理解等离子体在航天器材料上的产生提供了实验依据。
国内方面,张庆明和唐恩凌团队利用二级轻气炮和Langmuir探针诊断系统,对铝-铝碰撞等离子体的时空演化进行了详细研究,其实测的电子温度和密度与国际研究结果吻合,并进一步分析了碰撞角度等因素的影响[42-44]。尽管取得了诸多进展,但实验诊断,特别是侵入式的探针技术,始终面临着扰动等离子体以及在解读瞬态、碰撞、非平衡等离子体时理论模型适用性的挑战。
图6超高速撞击实验装置与等离子体传感器
Fig.6Hypervelocity impact experimental apparatus and plasma sensors
1.2 理论与模拟研究
由于超高速撞击过程的极端性与多尺度特征,纯实验研究难以完全揭示其背后的物理机制,理论与模拟研究因此成为不可或缺的手段。在宏观尺度上,Drapatz等最早运用冲击动力学和基于Saha方程的热平衡理论估算了碰撞产生的电离度,并提出了局部热力学平衡(local thermodynamic equilibrium,LTE)的判据[45]。随后,Hood与Vickery从理论上分析了等离子体电导率与温度、密度的关系,为实验数据解读提供了理论框架[46]。Hornung等则进一步深化了对非平衡态弛豫时间的理论研究[47-48]。Kissel等[49]总结了碰撞电离的三种基本模式:电子之间的相互作用、原子或晶格的相互作用以及电子与晶格作用的耦合形式,并阐述了每种模式下电离的计算方法。
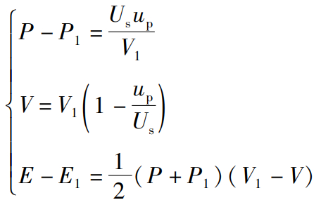
Zhao等[50]建立了考虑相变过程的超高速碰撞等离子体估算理论模型。通过高阶冲击波速度与粒子速度关系及相变状态方程,扩展模型至1 000 GPa,并与实验结果相符,详细描述了从冲击行为至等离子体膨胀的整个过程。该模型以分析冲击波阵面处的物理状态为起点,基于一维冲击假设,利用Rankine-Hugoniot守恒关系来关联冲击波前后的状态参数。这组方程包括质量、动量和能量守恒[51]。

(1)
其中:P、V和E分别代表冲击波阵面处的压力、比容(单位质量的体积)和比内能(单位质量的内能);下标“1”表示材料在冲击前的初始状态(通常P1和E1可视为零);Us为冲击波在材料中的传播速度,而up为冲击波后方物质的粒子运动速度。
然而,这组方程本身是不封闭的,需要额外的关系式来确定解。该研究引入了适用于超高速范围的冲击波速度-粒子速度二次关系式:

(2)
式中,c0为材料中的声速,s和s′为无量纲的材料拟合常数。通过该关系式,对于给定的撞击速度(它决定了up),整个冲击波阵面的宏观热力学状态(P、V、E)便可以被唯一确定。
在获得E之后,其被分解为三个相互关联的部分:晶格压缩引起的弹性内能Ec,原子核热振动引起的离子热能Ei,以及电子被激发产生的电子热能Ee[52]。可表示为:
(3)
式中,Tp为材料在冲击后的温度,是待求解的未知量。弹性内能Ec与温度无关,仅由压缩状态决定,可通过Born-Mayer势函数计算。离子热能Ei和电子热能Ee则同时与温度和压缩状态相关。在固相区,可以表示为:

(4)
其中,cv为材料的比热容,β0为电子比热容系数,ρ1/ρ为初始密度与当前密度的比值。
当计算出的温度达到材料的熔点Tm时(熔点本身也随压力变化,由Lindemann定律确定),模型引入相变潜热(熔化熵ΔS),并调整液相和气相的比热容。该步骤确保了能量在相变过程中的正确分配。由于总能量E和弹性内能Ec已知,上述能量分配方程构成了以温度Tp为变量的非线性方程,通过数值求解该方程,即可得到冲击波阵面处的实际温度。
在获得了冲击后的温度Tp和气化区的体积(根据能量衰减模型估算),就可计算等离子体的电离度和密度。电离度x(电离的原子数占总原子数的比例)通过Saha方程进行计算,该方程描述了在热力学平衡状态下,温度、粒子数密度与电离度之间的关系。
(5)
式中,n为气化区内的原子数密度,me为电子质量,kB为玻耳兹曼常数,为约化普朗克常数,I1为材料原子的第一电离能。
计算得出电离度x后,即可确定总的电荷量Qimp和初始等离子体密度。随后,利用等离子体膨胀模型,可以预测等离子体云在膨胀过程中电子密度ne随膨胀半径r的衰减规律:
(6)
式中,r0和V0为等离子体云的初始半径和体积,q为元电荷,vexp为等离子体云的膨胀速度,tfor为其形成时间。该模型实现了从撞击初始条件到等离子体时空演化特性的完整、自洽的理论计算,特别是在考虑撞击过程中的能量分布和相变分析中提供了更精确的预测。
随着计算技术的发展,基于流体动力学框架的数值模拟成为宏观研究的主流。其中,光滑粒子流体动力学(SPH)方法因其在处理大变形、材料断裂和自由界面问题上的天然优势而被广泛应用。Song等[53-56]和Fletcher等[57]利用SPH方法,结合复杂的物态方程,成功模拟了碰撞过程中的温升、熔化、气化过程,并预测了等离子体电子密度和电子温度的宏观分布,如图7所示。这类方法能够很好地复现撞击坑形貌和喷射物云的整体形态,但其核心局限在于,电离过程本身是被唯象地包含在物态方程中的,可能无法精确描述冲击瞬间高度非平衡的电离动力学。
Fig.7Spatial and temporal distribution of plasma electron density and electron temperature produced by hypervelocity impact on a tungsten target (impact velocity 20 km/s, impact angle45°) [57]
为了从原子和电子的尺度揭示电离的本质,研究者发展了基于第一性原理的微观模拟方法。Su等在2009年提出电子力场方法用于研究超高速碰撞等离子体的电离特性[58]。该方法能够显式地描述电子的行为,从而可以从根本上,而非唯象地模拟冲击诱导的化学键断裂、电子激发和冲击电离。
Jaramillo-Botero等[59-67]利用电子力场有效核赝势方法,对单晶铝、硅等材料在极端冲击条件下的等离子体相变过程进行了相关研究,成功捕捉到了冲击波前沿的微观结构、原子尺度的电荷分离现象,并从第一性原理层面估算了材料发生等离子体相变的冲击阈值,提出了剩余比内能和二次粒子碰撞机制。然而,其弱点在于巨大的计算量,导致模拟的时空尺度被严格限制,远不足以模拟整个等离子体云的后续膨胀过程。
Liu等[68]根据Gibbs系综理论、Saha状态方程和Clausius-Clapeyron方程从等离子体状态、相变潜热、转化效率等多个角度对铝等离子体相变进行了分析,并根据热力学定律提出了内能判据和碰撞速度判据,从理论上给出了超高速碰撞诱导等离子体相变的原理。该文指出超高速碰撞后的卸载过程并非理想的等熵膨胀。在卸载阶段发生的气化和电离等相变是关键的熵增环节,这些不可逆过程吸收了冲击压缩所积累的大量内能。冲击波与熵增相变耦合的机制,使得材料能在较低的冲击速度下也能获得足够的能量以形成等离子体,从而与实验观测相符。
La Spina 等[69]提出了超高速撞击苏打石灰玻璃中产生等离子体和切伦科夫辐射的半解析模型。该模型结合Taylor-von Neumann-Sedov爆炸波模型和Saha方程,预测了电荷产生与辐射发射的依赖关系,强调了等离子体密度对辐射强度的影响,为理解玻璃材料的辐射机制提供了理论框架。
Tang等[70-71]采用理论方法对超高速碰撞LY12铝靶各物理过程的能量分配进行了分析。研究内容涉及熔化相变、气化相变及等离子体形成过程的能量消耗。揭示了碰撞喷出物形成过程中各物理阶段对气化、等离子体形成的影响因素,包括碰撞的附加热机制、材料碰撞后等离子体羽流的形成及等离子体羽流膨胀的物理机制。此外,他们还利用点电荷电场的一维理论模型结合质量守恒方程、动量守恒方程、能量守恒方程和麦克斯韦方程,推导出了等离子体在膨胀过程中粒子密度的时空分布规律[72]。基于超高速碰撞产生的稀薄等离子体中带电粒子的运动速度、等离子体的扩散特点,推导出了等离子体的粒子能量密度与带电粒子密度及带电粒子运动速度的关系式[73]。
此外,近些年来,耦合了流体方程与电离方程的多物理场模拟也开始显现,例如Islam等研究了在背景气体环境中超高速撞击诱导气体电离的现象[74-76],如图8所示,提出了一种多物理场建模方法来计算碰撞过程中周围流体电离的动态流固耦合相互作用行为。该模型考虑了环境流体(气体)中的动态、热力学和电离过程,通过结合可压缩Navier-Stokes方程与Saha方程,预测了冲击波后气体电离的起始和范围,为模拟更真实工况提供了新思路。
Fig.8Temporal evolution of state variables for a copper projectile impacting a target plate at 5 km/s in a neon gas environment [74]
综上所述,关于超高速碰撞等离子体产生的研究,已在实验和理论层面建立了坚实的基础。实验上,获取了描述总电荷产量的宏观标度律以及关键等离子体参数(如温度、密度)的典型值;在理论与模拟上,形成了从微观第一性原理到宏观流体动力学的多尺度研究方法。
基于此,在当前研究中,认为超高速碰撞产生等离子体的主要物理机制是由极端动能瞬时转化为内能所驱动的、经历剧烈压缩和快速膨胀的复杂热力学过程。撞击瞬间,强激波在材料中传播,形成高达数百GPa的极端压力,导致材料被急剧压缩加热。冲击压缩所沉积的内能被分配至晶格压缩能、离子热能和电子热能。当材料温度超越其在高压下的熔点和沸点时,将依次经历熔化和气化。值得注意的是,冲击后的卸载过程并非理想的等熵膨胀,气化和电离等熵增相变环节吸收了大量内能,使得材料在冲击压缩后能够达到热电离所需的条件。当材料进入气相且温度足够高时,原子间的剧烈热碰撞导致外层电子被剥离,形成由离子、电子和中性粒子组成的等离子体。在局部热力学平衡的近似下,初始电离度可由Saha方程进行估算。
这种由冲击主导的生成方式,使得超高速碰撞等离子体在驱动源、物理条件和基本特征上,与实验室常见的由外部能源(如电场、电磁场)驱动的等离子体存在本质区别。首先,其能量来源是弹丸的宏观动能,而非外部电场或辐射场。其次,其生成是高瞬态的(ns至ps量级),处于高度非平衡状态。最后,等离子体在生成初始瞬间处于接近固体密度的极高密度和极高压力下,这与常规等离子体的生成环境不同。
由此,超高速碰撞等离子体展现出独特的、快速演化的时空分布特征。在时间上,整个过程可分为两个阶段:首先是ns量级的极短暂生成阶段,在此期间等离子体参数达到峰值;随后是持续数μs至数十μs的高速膨胀阶段,在此期间等离子体云的整体温度和密度随膨胀而急剧降低。在空间上,初始生成的等离子体主要集中在撞击点附近,形成一个高温高密的等离子体区域,之后向外膨胀形成一个成分复杂、内部参数(温度、密度)分布极不均匀的等离子体羽流。其形态与撞击角度密切相关,正入射时趋向于半球形膨胀,而斜入射则会形成不对称的喷射羽流。
2 超高速碰撞等离子体的动力学特性
超高速碰撞将弹丸的宏观动能瞬时转化为靶点区域的极高内能,导致材料熔化、气化并最终电离形成等离子体[56,77]。该初始高温高密的等离子体随即向周围环境迅速膨胀,在此过程中伴随着强烈的电磁辐射[34,36]。关于这一电磁辐射的确切物理来源,学界形成了两种主要理论解释:其一源于材料的力学破碎过程[78],其二源于等离子体自身的膨胀动力学。
2.1 材料的力学破碎产生的电磁辐射
第一种机制将电磁信号的来源归因于材料在冲击载荷下发生断裂的直接产物。早期的实验,如Bianci首次探测到超高速撞击电磁辐射[78],Foschini认为撞击产生的电磁辐射能够破坏卫星电子设备[14],Takano等的实验都观察到了与撞击过程相关的微波信号[79-80]。Maki等的研究发现微波辐射与光发射在时序上存在显著差异,且信号呈现间歇性的尖锐脉冲形态,这似乎与等离子体云的平滑膨胀图像不符[81-82]。 Ohnishi等[83]利用轻气炮加速尼龙弹丸至4 km/s附近撞击不同厚度(1~40 mm)不同材料的金属靶,采用外差探测法检测微波信号,并结合Maki等提出的微裂纹表面的放电模型进行分析。研究表明,微裂纹放电所需的自由电子来源于两种激发模式:一是冲击产生的高温所导致的热电子发射;二是冲击能量直接破坏靶材的晶格结构,即原子间化学键的断裂,从而激发电子。基于这些观测,研究者提出了“碰撞极化/电离模型”[80](如图9(a)所示)和“微裂纹放电模型”[82](如图9(b)所示)。该理论认为,在强冲击波作用下,材料内部的晶格破坏或微裂纹扩展导致局部电荷分离,最终通过微型放电产生宽带电磁辐射。
2.2 等离子体膨胀及电磁辐射
随着碰撞速度的增加,大规模、高温高密的等离子体云逐渐产生,其自身的动力学行为被认为是更主要的辐射来源。Close等奠定了该理论的基础[17,84],指出在等离子体云向外膨胀时,质量极轻的电子会试图以远快于离子的速度逃逸,从而在等离子体云边缘形成一个被称为“电荷双层”的宏观电荷分离区,如图10所示。这个振荡的电荷体系等效于一个时变的宏观电偶极矩,从而辐射电磁波。
图9超高速撞击过程中材料破碎产生的电荷模型
Fig.9Charge model of material fragmentation during hypervelocity impact
Fig.10Schematic illustration of plasma formation and expansion processes induced by hypervelocity impact [84]
首先,该模型假设撞击等离子体形成后迅速达到局部热平衡,并以恒定的电子温度Te进行等温膨胀,且与外界无能量交换;其次,等离子体云团呈球形对称,其膨胀速度近似为离子声速cs。模型的初始条件由经验和半经验公式确定。撞击产生的膨胀等离子体的总电荷量Q与弹丸质量mp及撞击速度vp的关系,可由式(7)估算[32]。
(7)
撞击等离子体的初始空间尺度则与撞击坑半径r0相关,后者可由式(8)计算[85]。
(8)
式中,k为取决于靶板材料的常量,ρ0为弹丸密度。结合式(7)和式(8),可以估算等离子体云团的初始电子密度ne0。在等离子体按离子声速cs膨胀的假设下,其电子数密度ne随时间的演化关系可表示为:
(9)
其中,ne0为初始电子密度,cs为离子声速,由等离子体电子温度Te和离子质量mi决定:
(10)
式中,γ是比热比(绝热指数),kB是玻耳兹曼常数。
在撞击等离子体的膨胀过程中,电子与离子因热运动速度差异而产生的电荷分离会形成一个库仑恢复电场:
(11)
式中,e为电子电荷量,ξ(t)为电子与离子之间的位移,ε0为真空介电常数。该电场对边界上的电子施加恢复力,驱动其进行振荡。电子的运动方程可简化为:
(12)
式中:为电子位移的二阶时间导数;ωp0为初始等离子体频率,表示为
(13)
方程(12)描述了电子在密度衰减的等离子体背景下的振荡行为。采用WKB(Wentzel Kramers Brillouin)近似方法求解,可得电子位移随时间变化为:
(14)
式中,vthe为电子热速度。图11(a)给出了撞击等离子体电位移随时间振荡的变化关系。这种集体振荡的电子会产生电磁辐射,其辐射功率可由Larmor公式计算:
(15)
式中,N为参与集体振荡的电子数目,c为光速。式(15)量化了撞击产生的等离子体边缘电子的集体振荡辐射功率。其频谱特性由参数a=ωp0r0/cs控制,反映了膨胀时间尺度与振荡周期的比值。不同a值对应不同频谱形态,图11(b)给出了电磁辐射功率谱,其低频段辐射显著,这为解释超高速撞击引发的航天器电磁异常提供了重要的理论依据。
图11等离子体电位移与辐射功率特性
Fig.11Characteristics of plasma potential displacement and radiated power
上述理论框架激发了大量的后续研究。实验上,Close等利用Van de Graaff加速器进行了一系列实验,证实了辐射是由撞击诱导的等离子体产生的,并认为电子振荡和电荷分离是其核心机制,同时指出电磁波的产生是一个受等离子体湍流影响的随机过程[40,86]。为了更精细地描述膨胀过程,Tarantino等在实验基础上将等离子体膨胀过程划分为三个阶段:非理想碰撞阶段、粒子间相互作用阶段、单粒子运动阶段[87],如图12(a)所示,并利用COMSOL软件对这一过程进行了可视化模拟,如图12(b)所示,图中nt为模拟过程中的离散时间步数。Fereydooni等[88]通过小波分析初步研究了超高速碰撞等离子体中的射频波特性,包括信号能量与碰撞能量的比例关系,并通过谱图分析识别了射频发射的频率演化特征。该工作为未来射频预测模型提供了基础特征提取方法。
图12撞击等离子体膨胀示意与时序演化
Fig.12Schematic and temporal evolution of impact plasma expansion
国内学者在该领域贡献卓著。Wang等利用光谱分析和朗缪尔探针,对等离子体时空膨胀模型进行了实验验证,得到了其密度随时间与空间的振荡衰减规律[89],如图13所示。Zhang等不仅建立了等离子体膨胀的“积累—平衡—衰减”三阶段模型[66-67,90],还基于Biot-Savart定律,建立了由电子集体运动产生感生磁场的理论模型,并通过二级轻气炮实验测量到了足以干扰航天器电路的交变脉冲磁场[91]。此外,该团队还建立了超高速碰撞等离子体电磁辐射的理论模型[92],通过考虑线光谱和连续光谱的贡献,计算铝原子特征谱线并与实验结果对比,验证了模型在预测可见光谱方面的有效性。
唐恩凌等则利用综合诊断系统,对感生磁场的时间尺度特征进行了解析[93-96],并对碰撞产生的闪光、微波辐射功率、频率组成以及对芯片的干扰模式进行了全面研究[97-102]。Ma等利用瞬态光谱技术,将观测到的复杂辐射演化曲线,如图14所示,与喷流、激波诱导气化、微小碎片烧蚀这三个具体的物理过程建立联系,并指出了环境气压对区分这些机制的重要性[103-104]。
在理论与模拟方面,研究者普遍采用流体动力学-粒子模拟(hydrocode-to-PIC)的多尺度混合方法。Fletcher等[105]使用不连续的Galerkin particle-in-cell程序模拟了超高速碰撞等离子体膨胀过程中产生的电磁辐射。利用hydrocode模拟得到等离子体膨胀过程的初始条件,再将等离子体初始条件代入PIC程序中进行等离子体膨胀过程计算模拟。结果表明,等离子体内电子和离子膨胀速度的差异导致电子和离子之间产生微小的分离,从而产生了电磁辐射,这一结果与Close等的理论[17]一致。
尽管该模型成功再现了辐射现象,但在定量上与Close等的实验[86]存在明显偏差。首先是频率方面,模拟预测的辐射峰值由初始等离子体峰值频率决定。若假设撞击早期形成接近固体密度的高密度等离子体,其预测频率在可见光频段(约1014 Hz)。若为与实验匹配而取值等离子体膨胀衰减后的密度较低的等离子体,其预测频率也在GHz量级。这显著高于实验[86]观测到的315 MHz和916 MHz的宽带信号。其次是电场幅值方面,模拟推算的30 cm处电场强度(9.8 mV/m)也显著高于实验测量值(1.9 mV/m)。理论预测的GHz频段与实验观测的MHz频段之间存在着数量级的差异,这表明模型中可能缺失了某种能够显著降低系统特征频率的关键物理机制,例如“尘埃等离子体”效应等。
在Fletcher基础上,Lau等[106]开发了碰撞式Galerkin particle-in-cell 程序分析了超高速碰撞等离子体产生的电磁脉冲(EMP)。图15显示了超高速撞击等离子体中电磁脉冲的形成过程,分别为不同时刻的电荷密度、电场和磁场的时空演化过程。模拟结果显示撞击等离子体的电荷分离产生了强烈的内部静电场,并驱动了等离子体发生静电振荡。这种振荡的电场进一步感应出磁场,最终以电磁波的形式向外辐射。
该研究还发现,虽然库仑碰撞能够将部分电磁能转化为粒子热能,从而比Fletcher等[105]预测的辐射频率有小幅下降(约10%),但这一效应远不足以弥合理论预测的可见光频段(约1014 Hz)与实验观测的射频频段(MHz)之间的巨大差异。该工作有力地表明,仅仅在电子-离子二元体系内考虑碰撞效应,无法从根本上解决频率失配问题。对此该研究者推测,解决该问题的关键可能在于模型中缺失了其他重要的物理过程,并明确列举了三个可能的方向,分别为:带电表面/边界效应;带电尘埃颗粒(即尘埃等离子体);更长的时间尺度效应(如离子膨胀)。
此外,Lau等[107]研究还发现等离子体发射的电磁脉冲的频率小于最大等离子体密度点相应的等离子体频率,显示了密度梯度的重要性。图16清晰地展示了在撞击等离子体周围不同位置探测到的EMP信号的功率谱。结果显示,所有辐射出的EMP,其主导频率均低于由等离子体峰值密度决定的最大等离子体频率。这表明在超高速撞击过程中一些可观察到的现象,例如闪光、射频发射和微波发射,都是由撞击过程中等离子体相关机制造成的。
Fig.16Normalized power spectra of EMP generated by hypervelocity impact at different locations [107]
Liu等[108]也采用了两个空间维度和三个速度维度的PIC模拟,对超高速流星体与航天器碰撞产生的电磁脉冲进行了理论和数值研究。Zhang等[109]为了进一步研究超高速碰撞产生的电磁波的辐射特性,提出了铝-铝碰撞中产生微波的两种机制——材料破坏机制(如图17(a)所示)和等离子体膨胀机制(如图17(b)所示),并根据理论分析和实验结果对两种机制的辐射功率进行了估算,解释了等离子体截止频率对微波传播的影响,得到了辐射机制与撞击速度的关系。实验结果表明,当撞击速度小于5.2 km/s时,材料破坏引起的电荷分离是微波辐射的主要机制,而当撞击速度大于5.2 km/s时,则以等离子体膨胀引起的电荷分离机制为主。
图17超高速碰撞产生的电磁脉冲模型
Fig.17Electromagnetic pulse models generated by hypervelocity impact
总的来说,学界对超高速碰撞电磁辐射机制的研究已趋于成熟,普遍认为在超高速碰撞中,由等离子体膨胀过程中的电荷分离所主导的辐射机制是核心。基于此物理图像发展起来的“流体-粒子”混合模拟方法,也成功再现了辐射的产生过程。然而,上述研究的差异在于其预测的辐射核心频率与实验测量值之间存在系统性的、数量级的偏差。这可能表明上述差异无法在纯等离子体的框架内得到合理解释,强烈表明现有模型遗漏了能够显著改变系统集体振荡频率的关键物理因素,从而为引入新的物理机制(如尘埃效应)提供有力的证据。
3 超高速碰撞过程中的尘埃等离子体效应
在上述对超高速碰撞产生的纯等离子体的研究之外,一个愈发受到关注的关键问题是,超高速碰撞的喷射物并非纯粹的气相产物,而是包含了大量未被完全气化的凝聚相物质,如液滴和微小的固态碎片。这些μm至nm级的颗粒高速运动于背景等离子体或环境气体中,通过吸附电子和离子而获得净电荷,以及与环境气体的相互作用发生烧蚀/电离等物理过程,从而形成一个物理特性截然不同的多相体系——尘埃等离子体,进而影响碰撞等离子体羽流的流动力学效应及其产生的电磁辐射。
一般而言,尘埃等离子体是指包含了大量的弥散固态颗粒的部分或全部电离的气体,即由电子、离子和中性原子组成的等离子体以及“浸”在其中的尘埃颗粒组成的体系[110]。当尘埃颗粒与等离子体内电子离子系统相互作用并获得表面电荷时,就会形成尘埃等离子体。通常尘埃颗粒尺寸范围在nm至μm数量级上,质量md为10-15~10-3 g,其携带的电荷量Qd为102~104e[111-112]。尘埃颗粒可以由天然或人造材料组成,包括行星材料、金属和有机化合物等,可以是介电(绝缘)或金属(导电)材料[113]。
尘埃颗粒在大多数实验室及空间等离子体中通常带负电,其根本原因在于电子和离子物理性质的巨大差异[110,113]。在等离子体中,粒子种类的热运动速度vth,β(vth,e,vth,i)与其温度Tβ(Te,Ti)和质量mβ(me,mi)相关,可近似表示为vth,β=。由于电子的质量me远小于离子的质量mi(例如,对于氢等离子体,质量比mi/me≈1 836),即使在电子温度与离子温度相当(Te≈Ti)的情况下,电子的热运动速度vth,e也会远高于离子的热运动速度vth,i。
流向尘埃颗粒表面的粒子热通量(单位面积单位时间内的粒子数)Γβ正比于粒子数密度nβ和其平均热速度 [110,113]。因此,对于一个初始不带电的尘埃颗粒,且在准电中性等离子体中通常有ne≈ni,初始时刻到达颗粒表面的电子通量Γβ会远大于离子通量Γi。这导致流向颗粒的电子电流在数值上远超离子电流,使颗粒迅速积累净负电荷,其表面电势φs变为负值。随着颗粒表面负电势的建立,它将排斥能量较低的电子,从而减小电子电流;同时,会吸引正离子,增大离子电流。该过程将持续进行,直至颗粒表面的电子电流与离子电流大小相等、方向相反,即净电流为零时,充电过程达到动态平衡。最终,尘埃颗粒便稳定地携带净负电荷。需要指出的是,尘埃颗粒的带电量并非恒定不变,而是会随着背景等离子体参数(如温度、密度)的涨落而动态调整。
Crawford和Schultz在1988年首次将超高速碰撞产生的部分电离蒸气云描述为“尘埃等离子体”[114],但该文章没有详细说明尘埃颗粒对等离子体产生的影响,由于实验数据不足和缺乏严格的理论框架来模拟撞击过程中的尘埃颗粒带电情况,因此尘埃颗粒的影响很难被捕捉。此后,在超高速碰撞过程中产生的尘埃颗粒被认为是使等离子体宏观电荷分离和产生强电磁场的来源,并对电子设备构成直接威胁[36]。
Close等[17]在2010年也提到流星体在撞击卫星后,除了产生离子和电子,还会产生固体微粒(尘埃)、液体(熔化物质)和蒸气(不解离气体),并且指出如果尘埃颗粒附着率足够高,电子可能会附着在其中的一些尘埃上,并使得尘埃表面带上负电荷,进而影响产生等离子体羽流的流动和电磁辐射机制。图18显示了超高速撞击产生尘埃颗粒和等离子体膨胀过程示意图[115],其具体过程分别为:弹丸以超高速撞击靶材料;撞击后,撞击物和部分靶熔化、气化和电离;等离子体、蒸气和凝聚相物质被喷射并膨胀到真空中,膨胀的等离子体可以产生RF和EMP;撞击尘埃碎片颗粒,沿着与喷射的等离子体不同的轨迹,导致电荷进一步分离。
Fig.18Schematic illustration of dust particle generation and plasma expansion induced by hypervelocity impact[115]
在最近的研究中,Shohet等[115-116]为了表征碰撞产生的尘埃颗粒对等离子体动力学效应的影响,在NASA Ames垂直炮靶场使用二级轻气炮加载铝球弹丸碰撞铝靶以及粉末状月壤模拟靶,撞击速度为4.38~5.59 km/s。利用1 μm厚的聚对苯二甲酸乙二酯(polyethylene terephthalate,PET)薄膜靶板收集碰撞过程产生的尘埃颗粒,使用法拉第杯等离子体传感器、射频天线、光电倍增管和光电二极管以及高速摄像机等表征撞击固体铝靶和粉末状月壤模拟靶产生的微观喷出颗粒的粒度尺寸、形状分布以及颗粒带电量等参数信息。
实验结果清晰地揭示了撞击产生的尘埃颗粒与等离子体的形成过程。如图19所示,高速摄像机捕捉的影像以及撞击后形成的远大于弹丸直径的撞击坑,直观地展示了固态铝靶与粉末状月壤模拟物靶在撞击下形成的喷射物云形态。通过对传感器信号的分析,如图20所示,该研究观测到撞击等离子体和带电尘埃颗粒所产生的特征脉冲。特别地,该研究利用小波变换技术对法拉第杯的信号进行处理,有效地从强等离子体背景中分离出了带电尘埃的信号,为撞击喷射物中存在大量带电尘埃提供了有力证据。
Fig.19Formation process of dust fragments and plasma generated by hypervelocity impacts on an aluminum target and a powdered lunar regolith simulant target[115]
在对收集到的尘埃颗粒进行分析后,研究获得了喷射物尺寸与形状的关键分布特征。图21对比了两种靶材产生的尘埃颗粒累积尺寸分布。数据显示,对于所有尺寸的颗粒,月壤模拟物靶产生的数量均显著高于铝靶,且两种靶材的喷射物尺寸分布均能很好地被幂律函数所描述。此外,如图22所示的颗粒的形态学分析表明,较大尺寸的颗粒均系统性地表现出更低的圆度和更小的轴比,即形状更为不规则。
最后,该研究将托卡马克等离子体环境中用于描述尘埃充电的轨道运动限制(orbital motion limited,OML)理论与动力学框架拓展应用于超高速碰撞过程[117]。理论与实验结果相结合表明,撞击坑附近的尘埃颗粒能够吸附超过总电子数0.1%的电子,且在局部区域可能发生更显著的电荷附着。这一发现揭示了尘埃等离子体效应可能从根本上影响宏观撞击等离子体的演化进程。
与此同时,Estacio等[118-119]通过大量的超高速碰撞实验,研究了撞击产生的尘埃颗粒和背景气压对撞击产生的等离子体的影响,第一次直接表征了带电尘埃颗粒对等离子体动力学和电磁辐射的影响。该实验在NASA Ames垂直炮靶场利用二级轻气炮加载直径约为1.6 mm、质量约为6 mg的铝球弹丸,碰撞速度为3.96~5.66 km/s,靶板材料为铝、铜、钨和玻璃等典型航天器材料,背景气压约为0.5 Torr(1 Torr=133.332 Pa)。使用高速摄像机、等离子传感器、薄膜粉尘传感器、天线、光电倍增管和靶板的电压测量计等设备用于测量和记录实验的各个方面现象。
实验结果表明:在碰撞过程中,法拉第杯的测量结果证实了带电尘埃颗粒的存在,如图23所示。在高速成像的基础上,如图24所示,观察到等离子体沿着膨胀的尘埃幕的轨迹被拖曳,产生了电荷分离,且这个被拖曳的等离子体的测量信号持续时间是不含尘埃颗粒的等离子体的10倍。还测量得到了含有尘埃颗粒的等离子体带有很高的负电量,得到的电流密度是不含尘埃颗粒的10~1 000倍,证实了尘埃等离子体会使航天器电子设备面临更大的电磁辐射干扰和电子放电风险。此外,研究还发现背景气压对碰撞产生的等离子体羽流的传播和演化有很大的影响,减缓了等离子体羽流传播的速度并导致了瑞利-泰勒不稳定性。
在理论与模拟研究方面,陈小伟和周小军团队构建了一个耦合了尘埃颗粒热平衡与充电动力学的动态演化模型,以阐释超高速撞击等离子体环境中的尘埃充电现象[120]。该模型不仅考虑了等离子体环境参数(如密度与温度)随空间位置的演化,还深入分析了五种关键的加热与冷却机制对尘埃颗粒自身温度的综合影响。研究进一步探讨了由尘埃温度主导的热电子发射(thermionic emission,TEE)在充电过程中的关键作用。通过将尘埃颗粒自身的热力学状态与电学状态进行紧密耦合,该工作在随空间演化的、更接近真实的撞击等离子体羽流中,实现了对尘埃充电行为的自洽物理描述。
为描述尘埃颗粒所处的动态等离子体环境,该模型采用1.2节论述的半经验公式(6)描述撞击产生的等离子体密度随其从撞击点膨胀的演化规律,为后续的充电动力学分析提供了随空间演化的、更为真实的等离子体环境参数。
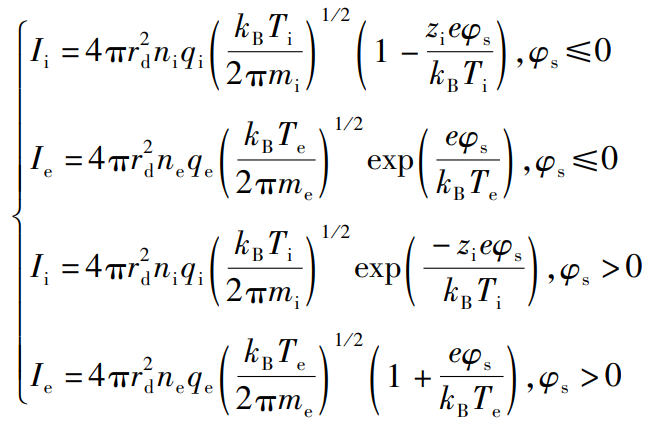
该研究的核心在于构建了一组综合性的超高速碰撞等离子体环境下尘埃颗粒充电动力学方程,该方程基于轨道运动限制理论并进行了相关拓展,其表达式为:
(16)
式中,Qd为尘埃颗粒所带电荷,方程等号右侧的四项分别代表离子电流Ii、电子电流Ie、二次电子发射(secondary electron emission,SEE)电流ISEE以及热电子发射电流ITEE。
尘埃颗粒基础的充电机制源于对背景等离子体中带电粒子的收集。根据OML理论,流入球形尘埃颗粒的等离子体电流Ii和Ie可由式(17)计算[121]。

(17)
其中,式(17)前两式表示尘埃表面电势φs≤0时对应流入球形尘埃颗粒的Ii和Ie,后两式表示尘埃表面电势φs>0时流入球形尘埃颗粒的Ii和Ie。rd为尘埃颗粒半径,ni、ne分别为离子和电子的密度,qi、qe分别为离子和电子的电荷,Ti、Te分别为离子和电子的温度,mi、me分别为离子和电子的质量,zi为离子电荷数。
然而,在超高速撞击产生的高温高密等离子体中,电子发射机制对充电平衡起着至关重要的作用。该研究详细分析了热电子发射的影响。当尘埃颗粒被加热至高温Td时,其表面电子因获得足够热能而逸出,产生的热电子发射电流ITEE可由经典的Richardson-Dushman方程描述[122]。
(18)
式中,AR为Richardson常数,Wf为材料的功函数。式(18)揭示了热电子发射对尘埃温度Td的强烈指数依赖性,当尘埃颗粒温度升高,ITEE可能迅速成为主导电流,从而显著改变充电平衡状态,甚至导致尘埃带正电。
为确保模型的完备性,研究还考虑了由高能等离子体电子轰击尘埃表面所激发的二次电子发射。该过程产生的电流ISEE与电子电流Ie成正比[123]。
(19)
式中,比例系数δsec为二次电子发射产额,是等离子体电子温度Te的函数。尽管该模拟结果表明,在所研究的参数范围内SEE的贡献相对较小,但将其纳入理论框架,确保了模型在更高撞击速度(对应更高Te)下的普适性与可扩展性。
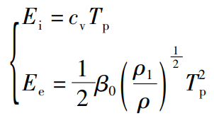
热电子发射对尘埃温度的敏感依赖性,使得对Td的自洽求解成为模型的关键。为此,研究者建立了超高速等离子体环境下的尘埃颗粒热平衡模型,该模型详细地研究了五种主要的加热与冷却机制。对于带负电的尘埃颗粒,净沉积能量流密度[124]为:

(20)
式(20)等号右侧五项分别代表由粒子轰击带来的能量沉积Ξbom、由热电子和二次电子发射导致的能量损失Ξbac、离子在尘埃表面复合释放的能量Ξrec、中性粒子气化带走的能量Ξneu,以及尘埃自身的辐射冷却耗散的能量Ξrad。对于带正电的尘埃颗粒,由于电子发射被抑制,其净能量流密度表达式有所不同。

(21)
通过求解该能量平衡方程,模型能够在给定的等离子体环境下确定尘埃的物理温度Td,进而计算出显著影响尘埃颗粒充电平衡的热电子发射电流ITEE。
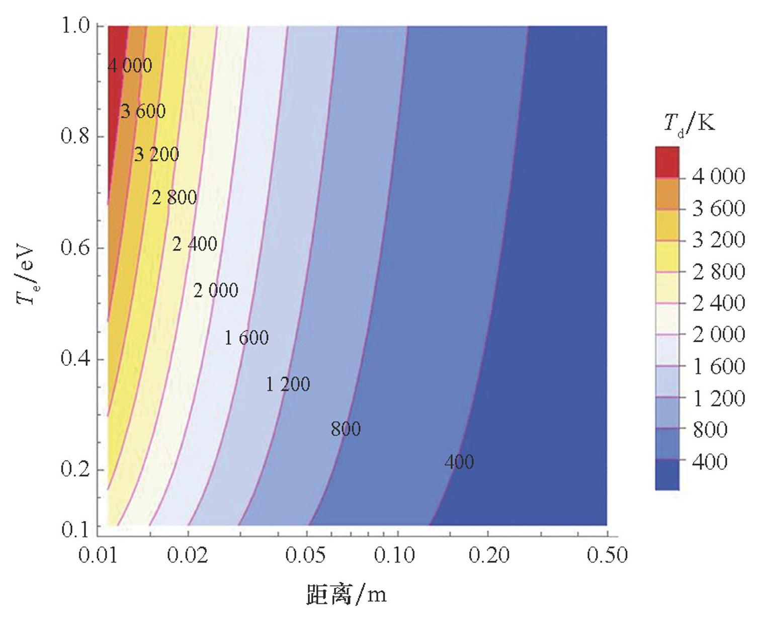
基于上述理论框架,该研究详细分析了质量为 5.8 mg、直径为 1.6 mm 的铝球以 5.25 km/s 的速度撞击铝厚靶条件下的尘埃颗粒充电过程。其产生的等离子体膨胀速度为 10 km/s,尘埃颗粒(半径rd≤1 μm)在撞击点 0.01 m 至 0.5 m 范围内运动,其间经历的等离子体环境参数变化剧烈,等离子体电子密度范围为1020m-3至1015 m-3,电子温度范围为 1 eV 至 0.1 eV。
如图25所示数值结果表明,尘埃颗粒的热平衡温度与其在等离子体羽流中的位置密切相关。在靠近撞击点的高温高密区域,尘埃颗粒热平衡温度超过了所研究物质的沸点,将发生相变消融过程,且该温度足以引发强烈的热电子发射电流。该电流成为充电动力学的主导因素,不仅显著改变了平衡电荷数,还致使尘埃颗粒带正电,如图26所示。相关研究为实验中观测到的尘埃正电现象提供了有力的理论解释。
Fig.25Thermal equilibrium temperature distribution of dust grains at various positions within the expanding plasma [120]
Fig.26Effect of thermionic emission of dusty grains at different positions in the expanding plasma on the charging process[120]
进一步,陈小伟和周小军团队[125]详细分析了超高速撞击产生尘埃颗粒消融的物理过程,如图27所示,并首次采用了静电并行粒子(electrostatic parallel particle-in-cell,EPPIC)模拟方法结合Monte Carlo碰撞算法研究了超高速碰撞条件下尘埃颗粒在环境气体中的气动消融与电离的耦合机制。
Fig.27Schematic diagram of the dust grain ablation process in a hypervelocity impact environment[125]
该研究以铝球(半径为4 mm)以3.27 km/s的速度垂直撞击铝靶。基于喷射理论计算,撞击产生的尘埃颗粒以20 km/s的速度与稀薄的氮气环境(0.04 Pa)发生相互作用。模型中尘埃颗粒半径设为50 μm。在此条件下,剧烈的气动加热使尘埃颗粒表面温度迅速超过铝的沸点(约2 789 K),从而发生相变消融,释放出大量高温中性铝原子。这些高速原子随即与背景气体分子发生高能碰撞,部分被电离,形成了一个包含铝离子和电子的等离子体环境。
模拟结果显示,由尘埃颗粒消融电离产生的离子和电子在空间分布上表现出强烈的非对称性和方向性,在尘埃颗粒运动方向的后方形成了一个独特的尾迹结构,如图28、图29所示。其形成机制源于尘埃颗粒高速运动所产生的非对称气动环境。颗粒前方是气体压缩区,而后方则是低压尾流区。被释放的离子和电子在后方尾流区受到的气体阻力远小于前方,因此能够保持部分初始动量并逐渐累积,形成一个沿运动方向延伸的、密度由近及远递减的锥形羽流。随着模拟时间从2.8 μs演化至50.4 μs,该尾迹的长度和粒子密度均持续增长,展现出复杂的动态演化特征。
Fig.28Temporal evolution of ion density produced by dust grain ablation and ionization on the XOZ plane[125]
Fig.29Temporal evolution of electron density produced by dust grain ablation and ionization on the XOZ plane[125]
由于电子与离子的物理属性(尤其是质量)存在巨大差异,尘埃颗粒消融产生的等离子体中发生了显著的电荷分离现象。质量极小、迁移率极高的电子在产生后会迅速向外扩散,而质量大的离子则倾向于滞留在消融尘埃颗粒源附近。这种差异化的扩散行为导致尘埃颗粒周围形成一个以离子为主导的净正电荷核心区,而在其外围则是由电子构成的负电荷区。这种非均匀的电荷分布在尘埃周围建立了一个显著的、峰值可达1.2 V的正电势场,如图30所示。该电势场反过来会约束带电粒子的运动,尤其对电子的扩散起到限制作用,从而形成一个动态平衡的自洽系统。
Fig.30Temporal evolution of the potential distribution formed by ablation of dust particles in the XOZ plane [125]
尽管当前在实验观测和理论模拟研究方面取得了一些进展,并为“尘埃效应”的存在提供了相关证据,但相关的实验研究仍主要处于现象观测和初步表征阶段,系统性理论和定量化模拟研究也尚处于起步阶段。一系列更为根本的物理问题亟待回答:在超高速碰撞等离子体这种极端、高度非平衡的瞬态环境中,尘埃颗粒的充放电过程遵循怎样的动力学规律?它与经典的轨道受限运动(OML)理论有何区别?尘埃颗粒自身的消融、二次电子发射等表面过程如何反过来影响背景等离子体的能量与粒子平衡?对这些问题的解答,目前尚缺乏系统性的理论分析与相关的数值模拟研究。这正是当前该领域的关键科学空白,亦是后续研究旨在攻克的研究问题。
4 超高速碰撞等离子体诱导放电
除前述相关特性外,超高速碰撞产生的等离子体云还可能引发一种更为剧烈的电磁损伤效应——诱导放电。航天器表面,特别是太阳能电池阵等部件,存在着由工作电压或空间环境充电效应形成的电势差。通常情况下,稀薄的背景空间等离子体不足以击穿该电势差。然而,超高速撞击事件产生的瞬态、高密度的等离子体云能够作为一个临时的导电通道,将不同电势的表面连接起来,从而触发高压放电或持续性电弧,对航天器供电系统造成严重威胁。
对这一现象的实验验证始于20世纪末。英国研究人员率先证实了超高速撞击诱导放电机制的存在。随后,日本九州工业大学的Fukushige等开展了一系列针对太阳能电池阵的超高速撞击实验[126-127]。他们的工作不仅成功复现了放电现象,还指出了实验中电源系统的固有电容和响应时间是影响放电行为的关键因素[128],并通过大量实验,确定了产生持续性电弧所需的临界输入功率阈值[129]。
国内学者在该领域开展了更为系统和深入的研究。唐恩凌团队利用二级轻气炮系统,对超高速碰撞诱导放电的物理规律进行了全面探索。他们首先通过对供电太阳能电池阵的撞击实验,确定了在特定条件下诱导放电的临界碰撞速度区间[130],并进一步系统研究了撞击入射角度[131]和靶板材料[132]对放电特性的影响。为了将研究从特定应用推广到一般物理模型,他们还设计了梯度电势靶板,用以模拟航天器表面普遍存在的电势差。如图31所示,通过这类精密的实验系统,他们成功验证了碰撞产生的等离子体云确实能够作为放电通道,并基于实验观测,将复杂的诱导放电过程解构为三个阶段:初始碰撞等离子体形成、碰撞与放电等离子体耦合,以及放电等离子体膨胀与消散[133]。
此外,唐恩凌团队还进一步研究了放电过程与靶面孔洞的电磁辐射耦合关系[134-135],将等离子体诱导放电与前述的电磁辐射问题联系起来。该团队通过二级轻气炮加载系统、放电监测系统、等离子体诊断系统和电磁测试系统,研究了靶板表面不同电位下碰撞产生的等离子体特性、放电电流电压曲线以及电磁辐射谱特征[134]。
Fig.31Experimental setup for plasma-induced discharge on a gradient-potential target plate generated by hypervelocity impact [133]
该研究明确了碰撞等离子体与放电等离子体之间的动态电荷交换机制。实验证实,微小碎片超高速碰撞带正电压的靶板时,瞬间产生的高温高压等离子体云团具备良好导电性,能够在靶板与周围金属结构间形成临时放电通道。通过电容电压降计算的总释放电荷量显著大于回路中实测电流的时间积分,这表明碰撞产生的初始等离子体不仅扮演了“导线”的角色,其本身也作为电荷源深度参与了整个放电过程,与外电路释放的电荷发生了大规模中和与交换。研究还表明,随着靶板表面电位升高,碰撞产生的等离子体特征参数(如电子温度和密度)随之增大,这导致等离子体作为电荷源参与的电荷量增多,放电过程也愈发剧烈。
在此基础上,该研究进一步阐明了孔缝结构导致的内外电磁场具有“衰减-增强”的双重效应,并揭示了其背后的辐射叠加物理机制[134]。当碰撞诱导的电磁场向航天器内部传播时,首先面临的是孔缝结构的滤波与衰减效应。其物理机制在于,电荷在导体表面的趋肤效应和边缘聚集效应,导致孔缝边缘与靶板背面之间会形成与靶板外表面主电场方向相反的局部电场,如图32所示。这个方向相反的电场对穿过孔缝的入射电磁波起到了抵消和屏蔽作用,从而导致了能量衰减。
研究同时发现,在特定频段内,内部的电磁场强度反而比外部更强,存在“信号增强”现象。这一反常现象的根源在于孔缝诱导的“二次放电”及其辐射叠加效应。唐思凌团队在后续研究中[135]利用高速摄影技术,如图33所示,清晰地捕捉到了等离子体云团在孔缝周围涡旋场的作用下被“吸入”模拟卫星箱体内部,并在带高电势的靶板内表面与接地的箱体之间形成了新的放电通道,从而触发了二次放电。
二次放电时其自身就是新的辐射源,会产生独立的电磁脉冲(主要集中在20~100 MHz频段[136])。因此,在箱体内部测得的最终电磁场,实质上是外部主电磁场经孔缝衰减后传播进来的部分与内部二次放电产生的新电磁场进行矢量叠加的结果。当二者在某些频段发生同相或相近相位的叠加时,便会导致局部频段的信号增强。
在最近的研究中,Diallo等[136]通过无碰撞静电粒子-网格模拟方法,研究了超高速碰撞等离子体在非偏压介电表面上的快速目标充电现象。该模拟分析了铁弹丸撞击SiO2靶的电位变化,揭示了ns级内电压快速上升并放电的动态过程,与实验趋势相似,但放电时间尺度更短。Estacio等[137]在NASA Ames垂直炮靶场进行了实验,提供了超高速碰撞导致快速目标充电电磁脉冲的实验证据。该研究通过铝弹丸撞击带电靶,观察到电压变化与电磁脉冲的同步发生,并探讨了等离子体动态与电磁辐射的关系。Schimmerohn[138]通过实验研究了超高速碰撞对太阳能阵列电缆束的诱导故障,揭示了1.27 mm以上颗粒引起永久短路和功率损失的风险。该工作评估了电缆穿孔的弹道极限,并建议多层屏蔽作为防护措施,突出了电缆束对航天器供电系统的脆弱性。
当前研究已经通过大量地面实验,证实了超高速碰撞等离子体诱导放电现象的存在,并对触发该现象的临界碰撞速度、靶板电势、供电功率等宏观工程参量和碰撞等离子体与放电等离子体的耦合以及相关电磁辐射的传播叠加等效应进行了有效探索。然而,这些研究大多停留在现象观测和宏观规律总结的层面。对于作为放电“媒介”的等离子体云本身,其内部的电导率、复合率以及寿命等关键微观物理特性是如何决定其传导能力的,目前尚缺乏深入的物理模型。
5 总结与展望
超高速碰撞作为空间环境下的常态化威胁,其诱发的等离子体物理效应是近年来空间物理与高能量密度物理交叉领域的研究热点。通过对国内外现有研究的系统梳理,可以得出以下结论:
1)在等离子体产生机制方面:研究已形成了实验诊断与理论模拟相结合的多尺度认知体系。实验上,获得了描述总电荷产量的宏观标度律,并对等离子体关键参数(温度、密度)的典型值域有了基本掌握。理论上,发展了从宏观流体动力学到微观第一性原理的模拟方法,能够较好地复现碰撞过程中的相变与能量转化。然而,如何精确描述冲击瞬间高度非平衡的电离动力学仍是挑战。
2)在碰撞等离子体的动力学特性方面:学界已普遍认可,等离子体膨胀过程中的电子的振荡和电荷分离(尤其是电子与离子的惯性差异)是产生电磁脉冲(EMP)的核心机制。基于此物理情形的“流体-粒子”混合模拟方法已成为主流研究工具。尽管如此,现有纯等离子体模型预测的辐射频谱与实验观测值之间仍存在系统性偏差,暗示当前理论模型可能存在关键物理过程的缺失。
3)在尘埃等离子体效应方面:初步实验和理论研究表明,碰撞喷射物中包含的大量凝聚相尘埃颗粒,通过充放电和颗粒自身消融过程显著改变了等离子体云的电荷平衡、动力学演化乃至电磁辐射特性。尘埃颗粒的引入,为解释理论与实验的长期不符提供了极具潜力的新视角,但相关的系统性理论和定量化模拟研究尚处于起步阶段。
4)在等离子体诱导放电方面:大量地面实验已证实,碰撞等离子体云能够作为临时导电通道,在航天器表面不同电势区域间触发持续性电弧。研究已初步探明了诱导放电的临界碰撞速度、表面电势和供电功率等工程参量。但对于等离子体云作为“导线”的微观输运特性(如电导率、寿命)如何决定放电行为,尚缺乏深入的物理模型。
针对当前研究中存在的挑战和理论空白,未来超高速碰撞等离子体物理效应的研究可在以下几个方面重点突破。
1)发展多物理场耦合的尘埃等离子体动力学模型:未来的理论与模拟研究亟须突破现有纯等离子体框架,建立能够同时描述冲击动力学、非平衡相变、等离子体物理以及尘埃颗粒充放电、烧蚀和动力学行为的多尺度、多物理场耦合模型。这需要将流体动力学、粒子模拟与尘埃动力学模型(如OML理论的扩展)进行深度融合,以揭示尘埃颗粒对等离子体宏观演化和电磁辐射的根本影响机制。
2)开展精细化的多参量同步实验诊断:实验研究需要从测量宏观、积分量的阶段,迈向对多组分(电子、离子、中性原子、尘埃)进行时空分辨的同步诊断阶段。应发展能够同时测量等离子体参数(如使用Langmuir探针阵列、光谱诊断)和尘埃颗粒特性(如利用高速成像结合粒子追踪、薄膜收集分析等技术)的综合诊断平台。这对于验证和标定前述的复杂数值模型至关重要。
3)深入探究尘埃等离子体激发的新物理现象:尘埃的引入可能激发新的低频不稳定性(如尘埃声波、尘埃离子声波),这些不稳定性本身可能成为新型的、低频段的电磁辐射源,这或许是解释实验观测到低频辐射的关键。未来的研究应着力于从理论和实验上寻找这些由尘埃主导的集体模态存在的证据。
4)面向航天器电磁防护应用的转化研究:基础研究的最终目标是服务于工程应用。应将对尘埃等离子体物理规律的认知,转化为对超高速碰撞电磁损伤效应的精确评估模型。这包括:修正现有的电磁脉冲风险评估标准,考虑尘埃效应导致的更强、更持久的电流,并基于此开发针对性的、更为高效的新型电磁防护材料与结构设计。
综上所述,将尘埃等离子体物理全面引入超高速碰撞研究,是推动该领域实现理论突破和研究创新的关键所在。这不仅将深化对极端条件下多相等离子体行为的理解,更将对保障我国未来空间安全、提升航天器在轨生存能力产生深远且重要的影响。




