摘要
飞行器高速飞行过程中,雨滴冲击侵蚀会对表面材料产生显著损伤,进而严重影响飞行性能与结构安全性。本文旨在系统综述高速雨滴冲击侵蚀的力学机理、关键影响因素及相应防护技术进展。在试验方面,目前研究主要依托风洞、火箭撬及旋转臂等装置构建真实雨场模拟环境,并借助高速摄影记录侵蚀动态过程、激光测速获取雨滴撞击速度,实现对侵蚀行为的多维度观测;在数值模拟方面,重点介绍了有限元法、光滑粒子流体动力学法等主流模拟技术,并梳理了现有研究的进展,包括通过建立液固耦合模型,分析冲击过程中应力波传播规律与材料动态响应特性等方面。现有的相关结果表明,雨滴冲击速度、冲击角度及材料力学性能是影响侵蚀速率的关键因素。基于飞行器的实际飞行包线参数,可针对性地开展耐雨蚀性能优化设计,从而为提升飞行器在恶劣气象环境下的服役安全提供理论依据与技术支撑。
Abstract
During the high-speed flight of aircraft, raindrop impact erosion causes significant damage to surface materials, thereby seriously affecting flight performance and structural safety. This paper is aimed to systematically review the mechanical mechanism, key influencing factors, and progress in corresponding protection technologies of high-speed raindrop impact erosion. In terms of experiments, current studies mainly rely on devices such as wind tunnels, rocket sleds, and rotating arms to construct simulated environments of real rain fields. Meanwhile, high-speed photography is used to record the dynamic erosion process, and laser velocimetry is employed to obtain raindrop impact velocity, thus achieving multi-dimensional observation of erosion behavior. In terms of numerical simulation, it was focused on introducing mainstream simulation techniques such as the finite element method and the smoothed particle hydrodynamics method. Additionally, an overview was provided of existing research methods and outcomes, which primarily involve establishing liquid-solid coupling models to analyze the propagation patterns of stress waves and the dynamic response characteristics of materials during impact processes. The research results show that raindrop impact velocity, impact angle, and mechanical properties of materials are the key factors affecting the erosion rate. Based on the actual flight envelope parameters of aircraft, targeted optimization design of rain erosion resistance performance can be carried out, which can provide a theoretical basis and technical support for improving the service safety of aircraft in harsh meteorological environments.
随着航空技术的飞速发展,飞行器在高速飞行过程中与云层、降雨等自然环境的动态相互作用,已成为航空工程领域日益关注的关键方向。其中,高速雨滴冲击侵蚀作为飞行器表面材料的关键损伤形式之一,其对飞行器气动性能与结构安全性的潜在威胁已逐渐凸显。当飞行器穿越云层或降雨区域时,其表面(尤其是机翼、尾翼等关键部件前缘)会与高速水滴发生剧烈冲击作用,进而引发材料表面的侵蚀损伤。
高速雨滴冲击侵蚀并非航空领域的新现象,然而,随着飞行器飞行速度的持续提升与飞行环境的日趋复杂,这一问题愈发凸显。在高速飞行工况下,水滴对飞行器表面的冲击动能显著增大,易引发材料表面剥落、内部裂纹扩展乃至结构失效,进而严重威胁飞行器的气动性能与飞行安全。在工程实践中,已有多起因高速雨滴冲击侵蚀导致飞行器性能衰减或提前进入维修周期的案例:部分高速飞行器执行任务后,其机翼前缘可观察到明显的雨滴冲击侵蚀痕迹,经检测发现材料表面已产生微裂纹与局部剥落现象。上述案例表明,雨滴冲击侵蚀已成为制约飞行器服役性能与使用寿命的关键因素之一。尽管航空领域已针对高速雨滴冲击侵蚀现象开展了初步研究,但受其物理过程复杂性的制约,当前学界对该现象的作用机理、影响因素及防护技术的认知仍存在明显不足。因此,深入开展飞行器表面高速雨滴冲击侵蚀的基础与应用研究,对提升飞行器服役性能、延长其使用寿命及保障飞行安全均具有重要的理论价值与工程意义。
本文旨在系统综述飞行器表面高速雨滴冲击侵蚀的研究进展,重点探讨该现象的作用机理、关键影响因素及高效防护技术。
1 高速雨滴冲击侵蚀背景与应用
“雨蚀”即水滴侵蚀(water droplet erosion,WDE),是指飞行器在高速穿越云层或暴露于降雨环境时,其结构前缘表面(如机翼、尾翼前缘)受到雨滴持续冲击侵蚀,进而导致材料或结构出现裂纹、凹坑乃至严重损伤变形,最终影响其服役性能的典型失效现象[1-4]。从侵蚀类型归属来看,雨蚀与气蚀(cavitation erosion)虽同属流体侵蚀范畴,且部分损伤形貌存在相似性,但二者的发生机理与触发条件存在本质差异:气蚀的核心驱动机制是液体中气泡(空穴)的突发性溃灭,而雨蚀则源于高速液滴本身对材料表面的直接动能冲击[1-3]。从作用本质来看,雨蚀可归为“液滴撞击主导”的侵蚀问题,气蚀则属于“空穴溃灭主导”的损伤问题。这一根本差异直接决定了两者在理论建模、防护策略设计及研究方法选择上的显著不同。
高速水滴冲击对现代飞行器关键结构元件的危害不容小觑。具体而言,这种冲击易造成挡风玻璃透光性下降、天线罩信号传输衰减、红外窗探测精度降低,以及发动机机舱表面完整性破坏等问题[5-9]。特别是对于军用飞机来说,因其常需执行低空突防、长时间雨中飞行等复杂任务,雨蚀问题更为突出,极端情况下可导致材料表面大面积侵蚀甚至碎裂,严重威胁任务执行效率与飞行安全[10]。在航空发动机关键部件中,风扇叶片作为直接承受雨滴冲击的核心元件,其面临的雨滴冲击速度可达200 m/s至400 m/s,是雨蚀防护设计的重点对象[11]。此外,对于飞行器蒙皮涂层而言,具备优异的耐雨蚀性能不仅是其不可或缺的核心属性,更是衡量涂层工程应用合格性的关键性能指标,直接影响飞行器的服役寿命与维护成本[12]。
综上所述,当前研究虽已明确雨蚀对飞行器关键部件的危害,但多集中于传统金属与涂层材料,对新型复合材料、多功能结构涂层和新型智能表面等复杂多样化结构在雨蚀作用下的行为研究尚不完善。飞行器雨蚀问题涉及材料科学、流体力学、固体力学、表面工程、热力学等多学科交叉,而当下研究大多从单一角度剖析雨蚀过程的现象和机制,对飞行器抗雨蚀的理念应从“被动防护”转向“主动适应”甚至“自修复”型防护体系的设计。
2 高速雨滴冲击侵蚀力学机理
2.1 侵蚀的物理机制
高速雨滴冲击固体表面是涉及流体动力学、应力波传播与材料动态响应的瞬态液固耦合冲击过程,可划分为液体压缩与侧向射流两个典型阶段。如图1(a)所示[13],在初始接触瞬间,液滴与固体界面的接触边界扩展速度高于液滴内部冲击波传播速度,导致冲击波受限于接触前沿并形成封闭压缩包络面,进而在液滴内部产生瞬态高压,即“水锤压力”[14-15]。若忽略固体材料变形并假设其为纯弹性体,该高压可通过经典水锤压力模型描述:
(1)
式中:ρl为液体的密度(kg/m3),cl为液体的传播声速(m/s),νl为射流的冲击速度(m/s)。改进型水锤压力模型进一步纳入液体与固体的多参数耦合效应,其表达式[16]为:
(2)
式中:ρs为固体的密度(kg/m3),cs为固体的传播声速(m/s)。值得注意的是,水锤压力幅值主要取决于液体密度、声速及撞击速度,与液滴直径无关;然而,该高压状态的持续时间及其作用区域半径则受到液滴尺寸、冲击速度以及液体中压缩波速的共同影响。通常,在雨蚀冲击阶段,若固体表面初始光滑,延展性金属表面易形成大量微小凹陷;而脆性材料因拉伸失效特性,表面与次表面会同步产生损伤[17]。
随着冲击过程推进(持续时间通常小于微秒量级),当液滴内部冲击波速接近并超过接触边界扩展速度时,压缩波前缘脱离边界约束,形成向液滴内部及固体内部传播的卸载拉伸波,此时进入侧向射流阶段,如图1(b)所示[13]。压缩液体在卸载过程中沿固体表面形成高速侧向射流,对材料表面产生强烈剪切作用,可直接撕裂表面微凸体,引发塑性变形与裂纹扩展。侧向射流是雨蚀损伤的关键诱因,其速度通常数倍于初始冲击速度,部分测量结果显示可达数十倍[18]。射流表面特性与速度是决定该损伤机制严重程度的关键因素[19]。
液体冲击压力作为载荷,会在靶体内部激发纵波(压缩波)、横波(剪切波)与瑞利波(表面波)三种应力波。其中,瑞利波沿表面传播且携带约2/3的冲击能量,是诱发表面材料疲劳与裂纹萌生的核心因素[20]。在雨蚀防护研究中,涂层材料的应用是关键技术方向[21]。高速雨滴冲击引发的材料失效,不仅涉及表面直接力学损伤,更与应力波在材料内部的传播行为密切相关[22]。应力波的传播与损伤效应,受材料力学响应、表面处理工艺、涂层特性及层间相互作用等多因素耦合影响:如图2(a)所示,应力波在涂层-基体界面会发生反射、透射与能量分配;当冲击波作用于涂层时,会形成分别向液体介质与涂层内部传播的独立波阵面,如图2(b)所示。其中,沿法向入射的应力波向涂层-基体界面传播,过程中部分应力波反射回涂层,其余则透射进入基体。当应力波在材料内部遇到微观缺陷(如孔隙)或声阻抗不匹配界面(如涂层-基体界面)时,会进一步发生反射与透射,反射波可能形成拉伸应力,若该应力超过材料动态拉伸强度,将引发材料损伤或界面脱粘[23]。
随着侵蚀坑形成,坑内被困液体还会产生“液压渗透”效应——该机制描述固体表面几何形态因侵蚀坑或裂纹产生变化后,应力集中效应加剧,导致裂纹加速扩展并向材料表层下渗透,最终引发上覆材料剥落或变形[24]。需要注意的是,侧向射流与液压渗透机制需依托表面不连续性或预先存在的粗糙表面才能发挥作用[25]。因此,若固体表面初始光滑,雨蚀早期阶段仅水锤压力与应力波传播为活跃机制;一旦表面粗糙度增加(如钛合金航空发动机风扇叶片最初光滑且无裂纹的前缘因雨滴冲击出现损伤),前述四种雨蚀损伤机制将同步激活。Heymann[26]指出,传统一维水锤压力模型严重低估实际最大冲击压力,进而提出二维近似模型(适用于冲击初期激波前与靶体表面相连、无横向流出的阶段)。该模型认为:接触压力在接触边缘达到临界值前与一维模型结果相近,超过临界值后需考虑横向流出;计算得出的最大压力与一维水锤压力之比通常大于2.75,且仅在临界角的1/2之前,接触平均压力才近似等于一维水锤压力。杨昭君等[27]则提出,高速雨滴冲击侵蚀的力学机理核心是水锤压力与材料强度的博弈:当水锤压力未超过材料屈服强度时,损伤表现为环形区域内的轻微擦伤与剥离;一旦超过屈服强度,中央未损伤区被破坏,冲击应力波与侧向射流协同作用,在面漆-底漆、底漆-基体等结合力薄弱界面引发大面积圆形剥离、开裂、隆起及异形分层等严重损伤。
过去数十年间,学者们针对高速水射流下飞机关键材料/结构损伤展开了大量研究[28-29]。Bowden和Brunton[30]总结了聚甲基丙烯酸甲酯等聚合物的典型表面失效形式,包括“中心未损伤区—环形凹陷/裂纹—外围短环形裂纹”的损伤特征。此外,高速流体冲击引发的应力波在材料内传播,其相互作用导致的内部损伤有时比表面损伤更严重;在材料厚度有限的场景下,雨滴撞击还会通过应力波对后表面与中心区域造成损伤[31]。Sun等[32]观察到,航空非取向有机玻璃在高速雨滴冲击下的损伤主要集中于表面,呈现的损伤特征结构包括一个几乎圆形的中心未损坏区域、一个环形凹陷区域和一个外围短环形裂纹,损伤主导机制为内部传播的剪切波,与Bowden和Brunton的研究结果接近一致。对于脆性材料,液体冲击下的损伤模式通常为“中心载荷区周围分布离散圆周断裂”,该断裂由撞击产生的瑞利波诱发;由于冲击初期液体的可压缩性,液体冲击产生的压力脉冲对脆性材料的破坏效应尤为显著[22]。Haller等[33]采用高分辨轴对称欧拉求解系统,研究了直径约200 μm、速度约500 m/s的小液滴冲击刚性靶的可压缩流场,明确冲击早期的主导过程为“激波包络区强压缩—接触边缘高速侧向喷流—液滴内稀疏/扩张波”。基于液固冲击理论,侯乃丹等[13]指出,交叉铺层碳纤维树脂基复合材料薄板在单次水射流冲击下的损伤特征由水锤压力效应、高速径向射流剪切作用、接触边界卸载拉伸波作用及应力波传播相互作用共同主导。
综上所述,高速雨滴冲击诱发的材料损伤本质上是冲击参数(速度、角度、液滴尺寸等)决定的瞬态应力场与材料动态响应特性(强度、韧性、界面结合状态等)相互作用的结果。为系统揭示不同工况下的主导损伤机制,可建立统一框架如表1所示。
表1雨蚀损伤机制的统一框架
Tab.1Unified framework for rain erosion damage mechanism
上述框架表明,冲击参数(如速度、角度、尺寸)通过决定瞬态应力场的特征,最终调控了损伤机制的激活与演化路径。因此,对这些关键影响因素进行定量分析,综合评估应力条件与材料的匹配关系,可初步预测特定材料在给定冲击条件下的损伤行为。后续2.2节将系统阐述各冲击参数、环境及材料本身对雨蚀损伤的影响规律。
需要说明的是,现有雨滴冲击损伤演化模型,包括水锤压力模型、侧向射流模型及应力波理论模型等多基于刚性/理想弹性靶体或均匀无缺陷材料假设。对于现实中的工程材料,尤其是注入复合材料、涂层体系、粗糙表面或其他非均匀材料在高速雨滴冲击下的动态响应有待深入研究。特别是应变率效应、温度效应、微观缺陷演化对损伤行为的影响尚未在理论模型中充分体现,导致工程预测与实测存在偏差。
2.2 侵蚀的阶段演化和影响因素
基于建立的雨蚀损伤机制统一框架可知,材料的侵蚀行为是冲击载荷条件与材料自身特性耦合作用的结果。为定量预测侵蚀损伤,必须厘清各关键参数的影响规律。因此需要从侵蚀累积的全过程,即阶段演化出发,依次剖析冲击速度、角度、液滴尺寸、表面性质及材料特性等核心因素的影响机制。
2.2.1 侵蚀阶段与累积损伤
根据ASTM G73-10标准[34],水滴侵蚀是一个典型的随时间演变的累积损伤过程,其质量或体积损失随时间变化的曲线通常呈现“S”形。特征侵蚀曲线通常分为五个部分:①潜伏阶段;②加速阶段;③最大侵蚀速率阶段;④衰减阶段;⑤终结稳态阶段。该曲线的横坐标“暴露量”可表示为时间、冲击周期、撞击水滴体积、有效撞击水滴数量或累积撞击动能;纵坐标“累积材料损失”可采用质量损失或体积损失——对比不同材料时优先选用体积损失,分析测试参数对同种材料侵蚀行为的影响时,二者均可使用。标准明确,可采用基于经验关系确定的“潜伏期”与“最大侵蚀速率”作为材料抗雨蚀性能的评级依据。“潜伏阶段”是侵蚀过程的起始阶段[35],尽管材料内部已因重复冲击产生微观损伤(如微塑性变形、微裂纹形核),但尚未出现可测量的质量损失,即质量损失可忽略不计,宏观表现为表面粗糙度缓慢增加。潜伏期持续时间可通过以下公式表示:
(3)
式中:N0表示潜伏期特定冲击次数,其定义为单位冲击面积(1 mm2)结束潜伏阶段所需的冲击次数;Ninc为潜伏期内总撞击次数;Ap为撞击液体的投影面积(取单颗水滴投影面积);Ae为暴露于侵蚀的总面积(采用潜伏期结束时光学宏观照片测量的平均受冲击面积)。根据ASTM G73-10标准[34],潜伏期持续时间可通过“延长最大侵蚀速率段拟合线至与x轴相交”的方法确定(如图3所示);若x轴以“液滴数”表示,则潜伏期长度单位与之一致。Seleznev等[36]将侵蚀曲线表示为“单位面积体积损失-单位面积测试水质量”的关系,此时潜伏期可通过单位面积施加的水滴质量描述,计算公式为:
(4)
式中:minc是结束潜伏期单位面积施加的水滴质量,ρ为水的密度,Vdrop是单颗水滴体积。该表述方式可直接对比不同液滴尺寸下的测试结果。随着冲击次数增加,微观损伤累积并连通,形成可见微坑与微小裂纹。当侵蚀能量超过临界值时,撞击液体射流引发的侧向射流开始与靶体坑壁相互作用[37],进一步加剧材料侵蚀,此时进入“加速阶段”,又称为能量累积区[38]。该阶段的特征为可测量的质量损失出现且损失速率随时间递增,标志着材料宏观失效的起始,表面形貌显著恶化。
加速阶段后,侵蚀坑充分发展并连接成片,形成稳定侵蚀前沿,进入“最大侵蚀速率阶段”。该阶段质量损失以近乎恒定的最大速率线性增加[37],该速率是评价材料抗侵蚀性能的关键指标。当侵蚀坑达到一定深度后,粗糙表面几何形态会改变后续液滴的冲击角度与能量吸收效率,且靶体表面会形成保护液膜,由于液膜对冲击压力的阻尼作用,侵蚀速率逐渐降低[39],进入“衰减阶段”;此时侵蚀速率降至最大侵蚀速率的1/2~1/4,侵蚀速率可能稳定在较低水平,或出现小幅波动,最终进入“终结稳态阶段”,此阶段侵蚀速率与暴露量无关。
ASTM G73-10标准中的“S形曲线”虽被广泛采用,但其阶段划分(尤其是潜伏阶段与加速阶段)强烈依赖于试验条件与材料体系,不同研究中曲线形态差异显著。同时,对于部分极端脆性材料或超弹性材料而言,可能存在其他形式的损伤演化曲线。有必要开展广谱范围的工程材料雨蚀损伤研究,并建立材料-工况-侵蚀阶段映射数据库,还可结合计算机模拟或深度学习等手段开展阶段识别和寿命预测。
2.2.2 冲击速度
(5)
式中:n为速度指数(金属材料典型速度指数值为5~7[38,42],脆性材料典型速度指数值为6~9[43])。冲击速度提升会显著增大水锤压力、应力波幅值及侧向射流速度,进而缩短潜伏期、提高侵蚀速率。国内外学者围绕冲击速度的影响规律展开大量研究:Adler等[44]发现,红外透明材料对高速水滴撞击的响应具有速度依赖性——随速度增加,损伤形式从环形凹陷演变为环形裂纹,并出现“中心未损伤区—环形光滑凹陷—外围短圆周裂纹”的新损伤模式,且裂纹扩展距离大于撞击液滴半径。Field等[45]明确,冲击速度不仅决定损伤特征,还显著影响损伤尺寸——随着冲击速度的增加,中心未损伤区直径增大;对于给定冲击速度,损伤关键尺寸(以液滴半径归一化)保持恒定,即若液滴半径翻倍且冲击速度不变,则损伤模式一致且尺寸同步翻倍。Sun等[32]研究了高速雨滴对航空取向/非取向有机玻璃的冲击效应,发现随冲击速度增大,损伤面积扩大且出现剥落损伤;与整体板材相比,复合材料屏障在更高冲击速度下更易发生大面积剥落。
侯乃丹等[13]指出,碳纤维复合材料表面环状损伤与内部分层损伤的演化均受射流速度控制(如图4所示):随射流速度提升,损伤区域向外扩展,覆盖面积呈显著正相关增加。
Fig.4Microscopic and C-scan results of composite material specimens impacted by jets of different velocities with a diameter of 5.7 mm[13]
沙明工、杨昭君等[20,27]对涂覆涂层的复合材料板在15°冲击角、不同速度(430 m/s、490 m/s、555 m/s、617 m/s)下的雨蚀行为进行试验(结果如图5所示),提出冲击速度与冲击瞬间水锤压力成正比关系,且侧向射流喷射阶段的射流速度与冲击速度垂直分量成正比,进而影响水平方向剪切力大小。因此,随着冲击速度增加,雨滴在垂直与水平方向上力的作用均有所加剧,导致损伤增加,且高速度下液压渗透作用更易引发大面积分层损伤。
此外,Sun等[21]通过液滴侵蚀速率反推不同长度风力涡轮机叶片的尖端转速,发现更高侵蚀速度会在更短时间内对涂层造成更严重损伤。Gujba等[41]针对燃气轮机压缩机叶片用Ti-6Al-4V合金的研究表明,降低冲击速度可延长潜伏期(即延迟侵蚀起始时间)、降低侵蚀速率,其本质在于冲击速度增加会同步提升水锤压力与冲击能量。
综上所述,冲击速度和雨蚀损伤存在显著的指数关系,对应的指数参数虽然已有部分典型范围的研究,但仍缺乏细化到材料微观结构和动态力学性能尺度上的研究以及从第一性原理出发的唯理研究,未来应开展跨尺度的模拟和广泛试验,对材料动态响应和n值之间的具体关联给出详细的阐述。
2.2.3 冲击角度
冲击角度通过调控冲击速度的法向与切向分量影响侵蚀效应,其中法向分量对侵蚀作用的贡献更为显著[46]:90°(法向冲击)时,水锤压力与法向应力波作用最强,通常导致脆性材料的最大体积损失;韧性材料的最大体积损失多发生在20°~40°冲击角时;复合材料等非均质材料则可能因非90°冲击引入更强剪切分量,导致更严重损伤[47-48]。国内外学者们针对不同材料在水滴侵蚀中受冲击角度的影响规律展开了大量研究。Busch等[49]对六种塑料和陶瓷进行了侵蚀测试,结果表明阈值速度可由Vc/cosα给出,其中Vc为无侵蚀发生的临界速度,α为试样表面法线与冲击方向的夹角。Ahmad等[43]对X20Cr13不锈钢的测试发现,体积损失在垂直撞击(90°)时最大,且随冲击角度减小而降低。Anderson等[50]指出,冲击角度对侵蚀率的影响具有材料依赖性,冲击角度和侵蚀速率之间存在非单调的变化规律。例如,6061铝合金在-45°(冲击方向背离表面法线)时侵蚀率最大,扫描电镜数据进一步证实,-45°、90°、45°冲击角下分别形成深侵蚀坑。Hattori等[47]对四种金属在90°、60°、45°、30°冲击角下的抗雨蚀性能研究表明:小冲击角下试样表面液膜易被吹走,因保护液膜薄而更易发生侵蚀;90°冲击时表面形成厚液膜,其阻尼作用可显著削弱侵蚀效应。沙明工、杨昭君等[20,27]采用单射流装置,对涂覆聚氨酯漆层的碳纤维增强树脂基复合材料板在617 m/s冲击速度、不同角度(0°、15°、30°)下的雨蚀损伤进行分析(如图6所示),提出:材料损伤程度随冲击角度增加而减弱,核心原因是冲击速度法向分量减小直接降低液滴瞬时冲击力;小角度冲击时,侧向射流速度在投影方向显著提升,易形成不对称损伤形貌,但因水锤压力(损伤初始主导机制)的垂直分量衰减,总体损伤仍随角度增大而降低。Sun等[21]针对风力涡轮机叶片典型冲击角下(30°、60°、90°)的雨蚀损伤研究(如图7所示)发现:低硬度涂层的体积损失在60°时最高、90°时中等、30°时最低;高硬度脆性涂层的体积损失随冲击角度增大而递增。
Fig.7Volume loss of polyurethane coatings with different adhesive ratios after 5 minutes of raindrop erosion at different impact angles[21]
现有的研究已表明在非垂直方向的高速雨滴冲击作用下,材料存在显著的破坏模式和破坏过程差异,但对该现象的机理尚缺乏完善成体系的解释。事实上,角度的变化一方面会改变载荷和应力波的传播路径,另一方面还会导致界面反射行为和射流实体的冲击模式变化,后续可通过高速原位观测结合数值仿真等手段,建立详细的角度-损伤模式关系,并在此基础上有望发展出一套涵盖全角度的高速雨滴冲击损伤模型。
2.2.4 液滴尺寸
液滴尺寸直接影响冲击区域范围、冲击压力持续时间及单次冲击传递的总动能。更大液滴会形成更宽的冲击区域、更长的载荷作用时间,进而影响材料损伤演化过程。
学者们利用实验和仿真研究共同分析了液滴尺寸对雨蚀损伤的影响规律。Bech等[51]针对玻璃纤维环氧树脂试样表面商业聚氨酯基面漆的研究(液滴直径0.76~3.5 mm)表明:速度-单位面积撞击次数与速度-单位面积撞击水量曲线的斜率随液滴尺寸减小而降低,即液滴尺寸越大,潜伏期结束时所需撞击次数越少。Hoksbergen等[52]通过数值仿真研究了液滴直径对动态压力的影响,结果表明,不同直径液滴的最大冲击压力相近,但液滴越大,受压力影响的区域范围越广、压力作用时间越长;这两种效应均与液滴曲率相关,最终导致靶体材料应力分布差异。Oddo等[16]开发了数值模型用以预测水滴撞击引发的叶片侵蚀效应,结果如图8所示:随液滴直径增大(0.5~5 mm),法向S33应力单调递增,其原因在于大液滴更高的动能与质量易造成垂直方向局部严重损伤;而von Mises应力呈先增后减趋势,在直径2.5 mm时达到峰值,此时主应力与剪应力耦合作用最强,最易引发材料破坏与变形。
Fig.8Finite element simulation results under erosion by droplets of different diameters(0.5~5 mm)[16]
2.2.5 表面性质与黏膜效应
表面粗糙度对雨滴侵蚀的调控作用已被广泛研究[30,53-54]:初始光滑表面不易受液体冲击影响(水在碰撞后向两侧流动);连续撞击会使表面粗糙度增加,进而启动侵蚀过程;当粗糙度达到临界值后,表面形成保护液膜,其阻尼作用可抑制冲击压力,使侵蚀速率降低,液膜厚度越大,对冲击压力的阻尼效果越强[55]。Bowden等[30]提出,粗糙表面的材料侵蚀机制为表面凹凸结构与液滴径向射流的剪切作用。Heymann[56]进一步补充,表面不规则结构会产生应力增强和集中效应,促进径向射流诱发疲劳裂纹的萌生,但仅当不规则结构尺寸与液滴直径相近时,侧向射流对固体表面的侵蚀作用才最显著;若损伤尺寸超过液滴直径,冲击效应会明显减弱。Huang等[57]强调,固体表面不连续性是应力集中源,且会与横向射流相互作用,不连续性数量越多,表面损伤越严重。
针对初始表面粗糙度的影响,Hancox等[53]对比聚甲基丙烯酸甲酯与不锈钢的侵蚀行为,发现粗抛光样品的侵蚀率更高;但因测试所用冲击速度低于实际雨滴侵蚀工况,该结果的工程参考价值受限[58-59]。DeCorso[54]对两种硬质合金侵蚀行为的研究(采用机械抛光与电解抛光制备样品)表明,抛光工艺对侵蚀损伤无显著影响。Kirols等[60]针对马氏体合金的研究发现:抛光表面的凹坑萌生过程渐进且不均匀,总体质量损失低、侵蚀速率低;粗糙表面的凹坑则快速萌生并合并,短时间内出现大量质量损失,表现为更高的最大侵蚀速率;在高冲击速度或大液滴尺寸下,初始表面粗糙度的影响会减弱(如图9所示)。
2.2.6 材料特性与界面黏附强度
对于涂层防护系统,涂层-基体界面黏附强度是决定抗雨蚀性能的核心因素:弱界面结合会成为应力波反射的“薄弱区”,易形成高拉伸应力,引发早期剥落失效。涂层的抗侵蚀性能本质上取决于涂层结构、基材与涂层的力学性能(如硬度、弹性模量、应变率响应)以及界面黏附强度的协同匹配[61-63]。
在相同基材上对比“高硬度材料涂层”与“低弹性模量、高变形能力弹性涂层”的抗雨蚀性能发现,高硬度涂层在测试30 min后表面出现明显微裂纹与凹坑,潜伏期终止,随后受损区域发生严重分层失效,层压板逐渐裸露,抗雨滴侵蚀性能较差[23]。通过对比“低黏附强度的固化涂层”与“高黏附强度的半固化涂层”的抗雨蚀测试结果(如图10所示)发现,半固化涂层表现出更优的抗雨滴侵蚀性能:潜伏期延长,侵蚀速率降低。
此外,涂层厚度对高速雨滴侵蚀行为的影响显著:相同测试时间内,涂层越厚,磨损量越大[64]。薄涂层因界面黏附强度更高,磨损更均匀,厚涂层则易在高速雨滴侵蚀下发生剥落,其本质是厚涂层相比较薄涂层而言更脆弱,当基材因冲击发生变形时,涂层易因应变不协调引发开裂与剥落[65]。在严苛雨蚀测试工况下,高速冲击同样会对基体材料产生影响,此时失效主导机制由基材控制,涂层性能差异主要源于界面结合强度:界面结合力越强,磨损率越低;而厚涂层往往伴随更低的界面结合强度,且无法抑制基材变形,故而表现出更差的抗雨蚀损伤能力[64]。
作为重要的雨蚀保护手段,涂层材料的雨蚀问题研究尤为热门。针对典型的金属覆膜和聚合物材料等涂层材料的雨蚀问题研究已逐步完善。然而,当下的研究大多聚焦于单一涂层性能,而对涂层-界面-基体体系在雨滴冲击载荷下的独立失效和协同失效过程缺乏系统性研究,尤其是对多层涂层、改性梯度涂层和复合涂层等复杂结构的性能设计及优化仍缺乏有效手段,在工程实际中大多依赖于试错和过往经验手段,有必要建立一套从理论设计—工艺调整—结构改良—性能优化的一体化改进方案。
3 高速雨滴冲击侵蚀等效试验方法
目前,模拟雨蚀的试验方法大致可分为三类:第一类是模拟真实雨场,使试样结构受到大范围连续水滴冲击,例如风洞、火箭撬等(即试样和水滴均处于运动状态);第二类是保持水滴相对静止,通过加速试样来实现两者的高速撞击,如旋转臂、弹道试验等(即试样运动,水滴静止);第三类则是利用试验装置加速水滴至高速,随后撞击试样以实现冲击加载,如单射流或多射流装置(即试样静止,水滴运动)。表2总结了现有各种雨蚀试验方法的特点。以下将对这三类雨蚀试验方法中的典型设备进行详细介绍。
表2雨蚀试验主要方法对比
Tab.2Comparison of main methods of rain erosion test
3.1 水滴、试样共同运动的方法
水滴、试样共同运动的试验方法主要包括风洞、火箭撬以及飞行试验等。该类方法更贴近飞行器在飞行过程中穿越实际雨场时的真实状况,但同时也存在试验成本高、难度大等缺点。
火箭撬技术借助火箭滑车驱动一系列试样穿过扩展的喷水灭火系统,以此模拟飞行器在实际飞行中遭遇的雨蚀情况。美国Holloman空军基地建立了火箭撬装置[66],其轨道总长15.48 km,其中5.5 km轨道上方安装有模拟真实雨场的喷嘴,如图11所示。试样安装在火箭滑车上,随其高速穿过人工雨场。模拟雨区可产生约67 mm/h的降雨量,试验速度范围通常在340 m/s至1 500 m/s之间,最高试验速度可达2 885 m/s。火箭撬的优点在于试样尺寸不受限制,能够高保真地模拟实际雨场中的雨蚀环境,且试验效率较高。然而,其缺点也十分明显,包括场地需求大、成本高昂以及操作复杂。
风洞试验方法的核心是,位于风洞喷口的喷嘴将雨水喷射至固定于试验段的飞行器模型上,以模拟飞行器在实际飞行中遭受的雨蚀环境。美国Dayton大学[67]通过翻新与升级其低速风洞,开发了专用的环境风雨风洞,图12(a)所示为该风洞的示意图。该风洞可产生20~150 mile/h (9~67 m/s)的气流速度,同时,在风洞入口前方安装有一套振动管喷嘴系统,可在试验段模拟 10~1 000 mm/h的降雨强度。喷嘴可沿风洞中心线进行调节,以模拟水滴以各种角度撞击飞行器。喷嘴与一振动器相连,能够以1~100 Hz的可变频率在水平和垂直两个方向上振动,如图12(b)所示。风洞试验能够有效模拟雨滴与流场的相互作用,保真度较高;然而,其缺点亦十分显著,包括场地需求大、试验成本高昂以及可模拟的速度范围有限。
飞行试验是最接近真实工况的雨蚀试验方法。试验时,样品安装于飞机指定位置,由飞行员驾机穿越特定区域,或者在试验飞机后跟随有喷水加油机进行喷水,随后回收并分析雨蚀后的样品。1973年,一架“幻影”YF-4M飞机执行了一次雨滴侵蚀试验[68],其飞行剖面经过修改后与协和式飞机的剖面一致,飞机的飞行速度在0.76~1.23马赫。1988年,美国国家航空航天局NASA利用F-104与WP-3D飞机开展了飞行试验[69]。其中,F-104飞机的飞行速度可达1.5马赫,飞机的热防护系统试样安装于机腹下方,如图13(a)所示;WP-3D飞机的指示空速为180~260 kn,热防护系统试样安装在飞机右机翼下的挂架上,如图13(b)所示。1998年,罗克韦尔国际公司将尺寸为10 cm×15 cm和10 cm×10 cm的试样安装于F-15B飞机进行飞行试验[70],并设计了一种专用夹具,可将热防护系统样品悬挂在F-15B飞机下方,该夹具可使多个样品以三种不同角度进行雨蚀测试。若考虑真实的飞行器雨蚀工况,飞行试验是最佳选择;然而,其缺点也十分突出,包括成本高昂、试验重复性差、试样安装复杂以及飞行人员存在安全风险等。
3.2 水滴静止、加速试样的方法
水滴静止、加速试样的试验方法通过保持水滴相对静止并加速试样,使两者发生高速撞击,主要包括旋转臂与弹道试验等。此类试验方法通常具有较高的试验重复性,但同时也存在试验成本高、试样和水滴的尺寸受到限制等缺点。
Limerick大学设计了一种实验室规模的旋转臂雨蚀试验台(WARER)[71],其开发目的是测试飞机前缘材料在飞行中对雨滴反复冲击的抵抗力,如图14所示。试样安装于旋转臂末端,其顶端装有滴落水滴的针管;当旋转臂高速旋转时,会形成液滴与试样表面的反复撞击。该设备能够达到178 m/s的冲击速度和25.3 mm/h的降雨量,对应于2 mm的雨滴尺寸。在自然降雨中,这种尺寸的水滴不仅体积稳定性最佳,而且出现频率最高,因此成为雨水侵蚀测试中广泛采用的标准。与火箭撬相比,该装置的优点在于成本低廉,并且可对试样进行加热,但缺点是试样尺寸受到限制。
国内研究者自21世纪初也开始对旋转臂试验方法进行探索与研究。王泽江等[72]搭建了旋转试验平台,如图15所示。该试验平台主要由旋臂系统、雨场模拟系统、监测系统、电源系统以及标定系统等组成,旋臂线速度可达200 m/s,模拟雨量为25.4 mm/h,在国内率先开展了飞行器光学罩材料的雨蚀研究,为飞行器光学罩的雨蚀提供了有效的实验手段。薛玉华等[73]利用旋转臂的工作原理,设计搭建了耐雨蚀试验箱,如图16所示。该装置主要由隔离室、动力传动系统、叶片机构、喷淋装置以及控制系统等组成,整体置于封闭空间内。叶片可实现0~247 m/s的不同速度调节,降雨量与雨滴大小均可调节,完成了航空蒙皮涂料耐雨蚀试验研究,开创了国内航空涂料耐雨蚀性能的项目检测。2021年,罗永键等[83]设计了一种新型旋转臂耐雨蚀试验装置,该装置使用的新型叶片加工简单、成本低,两端质量差在1 kg时仍能稳定运行,容错率高,能够在207 m/s以上的速度实现涂料耐雨蚀性能的连续测试。青岛科技大学于2022年发明了一种自平衡调节式高速旋转雨蚀试验装置[84],该装置能够实现工作台的自平衡,并且能够真实模拟试件在淋雨和喷雨等多种降雨环境下,在高速运动时的耐雨蚀情况。2023年,张威等[85]设计发明了一种飞行器高速雨蚀实验装置,该装置将飞行器放置于转盘上,可以实现不同角度下的飞行器雨蚀试验。2024年,李玉龙等[86]设计改良了一种旋转臂雨蚀试验机,该试验机解决了人为操作失误未将样品置于悬臂正确位置以及单一工况测试下实验数据不够准确、可靠性不高的问题。徐利强等[74]采用旋转臂雨蚀试验平台,如图17所示,旋臂叶片线速度的范围为0~207 m/s,降雨量的范围为20~180 mm/h,雨滴直径可在1.0~3.0 mm之间调节。该设备用于模拟自然环境长期降雨对涂层材料造成的侵蚀损伤,并探讨了几种前缘保护涂料的耐雨蚀性能以及雨蚀作用下的失效过程。
水滴静止、加速试样的试验研究方法并非只有旋转臂一种,其他学者基于这种方法还设计研究了其他试验装置。英国学者Jenkins[87]描述了一种液固冲击装置,即将一颗静止水滴支撑于一层网上,如图18(a)所示。发射固体试样速度最高可达244 m/s,当试样与液滴即将撞击的瞬间,网在气流的作用下与液滴分离,如图18(b)所示,以此完成高速液固撞击;但该装置无法对液滴的形态进行有效控制,且网与液滴的可靠分离也对装置设计提出了较高要求。
GRCI公司[28]开发了一种基于弹道发射的单液滴撞击装置,如图19所示。试样安装于弹托前端,弹托通过小型火药驱动,可使试样撞击速度达1 000 m/s。其工作过程如下:水滴由试验段上方的皮下注射针头形成,当水滴滴落时,会阻断一路光纤传感信号,从而触发发射序列。当试样撞击水滴时,其弹托会进入回收管。回收管内采用梯度材料设计,以有序耗散弹托组件的动能,并保护试样表面免受二次损伤。试验在压力为100 μmHg(约13.33 Pa)的氦气氛围中进行,该低压氦气环境能够有效减弱弓形激波,从而消除水滴在撞击之前的变形。该装置的优点在于对试样几何形状适应性强,且配备回收系统;缺点在于装置本身造价高昂、结构复杂,并且需在氦气环境下进行,因此试验成本高昂。
3.3 试样静止、加速水滴的方法
试样静止、加速水滴的试验方法是将试样保持相对静止,通过加速水滴使其与试样发生高速撞击,这也是目前雨蚀研究中最主要的研究方法,主要包括单射流冲击装置、多射流冲击装置以及脉冲射流冲击装置等。
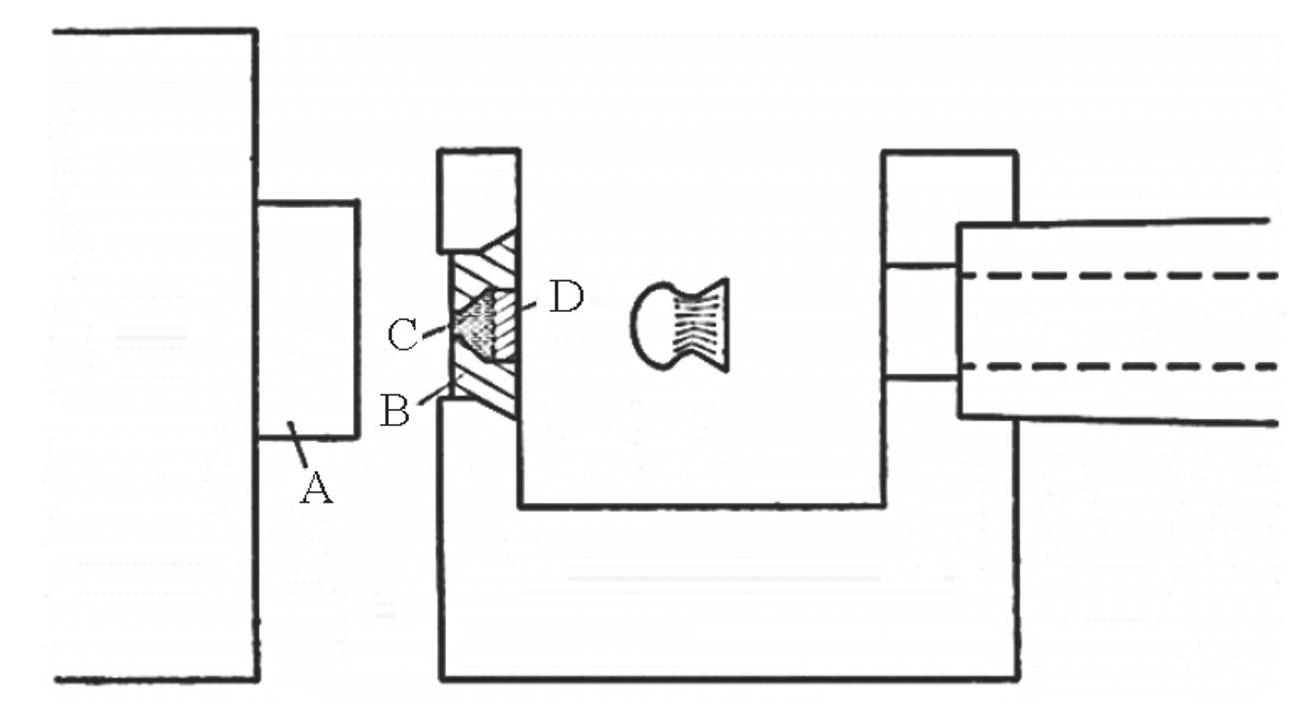
1961年,Bowden和Brunton研制出首台单射流装置[30](single impact jet apparatus,SIJA),其结构如图20所示。该装置由内径5.59 mm的高压氮气枪发射铅弹,铅弹撞击图中所标示的橡胶垫圈(D),进而向前挤压其前方的液体腔(C)。液体在高压下从腔体前端的小孔径喷嘴中射出,形成高速射流。该装置可通过调节气压来改变射流速度,最高可达1 200 m/s,同时操作简便,已成为射流冲击研究领域中应用最为广泛的装置。1990年,英国剑桥大学Carvendish实验室[75]研制了一种多射流装置(multi-impact jet apparatus,MIJA),结构如图21所示。该装置利用尼龙棒的往复运动,以压缩液体腔并产生多次射流冲击,从而实现对同一试样不同位置的重复冲击。该装置由计算机控制,可产生每分钟约20次、速度在30~600 m/s之间的射流。此外,装置下方的试验台可通过控制其沿XY方向的移动,实现在无须重复装夹的条件下,对同一试样不同位置进行多次冲击。与单射流装置相比,该装置显著提升了冲击位置的定位精度与试验效率。
国外有学者[76,88]采用高压水泵产生射流,以对固定试样进行侵蚀试验,装置如图22所示。高压水泵将水加压至特定压力后,通过高压软管输送至喷嘴座;该喷嘴座可沿水平方向以不同进给速度移动;试样置于距喷嘴一段距离(stand-off distance,SOD)处,此距离会促使连续射流失稳并破碎成水滴。
水滴撞击条件(如水滴速度、粒径等)均与系统压力有关。2020年,Fujisawa等[89]设计了一种射流喷射装置,如图23所示。该装置由柱塞泵、喷嘴、罐以及试样等组成,该装置有不同的喷嘴,可以在喷嘴出口下游产生水柱,水柱由于液体-空气界面的不稳定性而迅速变为圆形喷雾射流,该喷雾将打在距离喷嘴下方200 mm处的试样上,实现试样的喷雾状雨蚀。
此外,另一种典型的多射流装置是脉动射流冲蚀试验台[28,77](pulsating jet erosion test,PJET),其结构如图24所示。该设备利用高压泵驱动水流通过喷嘴,形成聚焦水射流。随后,一个在相对侧开有两个直径10 mm孔口的旋转碟片将此连续射流切割为离散的射流段。当圆盘以20 Hz旋转时,凭借其两侧的孔口,对样品的冲击频率可达40 Hz。该频率等效于一架以225 m/s速度在降雨强度为25 mm/h的雨场中飞行的飞机,其表面所承受的雨滴撞击频率。水射流的速度可通过调节水压进行控制。2011年,Foldyna等[90]发明了利用超声波产生脉动射流的装置,该装置可以产生具有不同运动参数的液滴。其原理是,将超声波发生器置于腔室中,在高压水中以加压波动的形式产生周期性脉冲,从而实现脉冲射流。2023年,Yamagata等[78]基于PJET搭建了一套脉冲射流试验装置,示意图如图25所示。该装置与PJET不同的点在于水射流竖直打在试样上,使得射流击中试样的角度更加精确,且水射流经过滤后能够回收利用。该装置的优点在于试验效率高,然而其测试结果易受试样厚度的影响,且水射流的形状与真实雨滴形状有较大差异。
国内研究雨蚀的学者相对较少,且研究起步较晚。20世纪末,施红辉、毛靖儒等[91]利用高速摄影机和胶片图像分析法,系统性地研究了液滴撞击光滑固体表面和锯齿状表面的流动特性。2004年,施红辉等[92]研制出超音速液体射流发生装置,并且结合偏振光学系统研究了有机玻璃材料在高速射流冲击下的力学响应。李玉龙、侯乃丹等[13]基于Cavendish实验室单射流装置的工作原理,通过对轻气炮装置进行改装,研制了如图26所示的单射流冲击装置,该装置能够实现单滴射流冲击,通过调节气压可将冲击速度控制在100~600 m/s。郑子龙等[93]设计研制了一套液滴冲蚀装置,装置示意图如图27所示。该装置通过调节管道水流量以控制水压,从而实现喷嘴处液滴速度的精确调控。试验还分为雾化冲蚀与射流冲蚀两种模式:雾化冲蚀选用8.3 MPa与10.3 MPa两种管道压力,对应液滴速度分别为90 m/s与115 m/s,其特点是冲蚀范围广、落点随机;射流冲蚀则采用6.9 MPa管道压力,液滴速度为70 m/s,具有冲击集中、破坏力强的特征。
此外,Zhang等[79]在2015年基于脉动射流装置构建了一套连续平扇射流试验装置,装置示意图如图28所示。其核心组件包括高压柱塞泵、PNR1686型扇形喷嘴及安全泄压阀,采用自来水作为侵蚀介质并通过过滤系统循环使用。射流速度通过体积流量与喷嘴截面积计算获得,由压力计实时监测压力,喷嘴至样品距离固定为10 cm以忽略空气阻力影响。装置增设可调速移动轮盘及旁通卸载阀以调节射流速度,并引入旋转不锈钢盘(具10 mm圆孔或1 mm窄槽结构)将连续水射流分割为多段间隔射流,从而研究液滴撞击频率与射流尺寸对侵蚀行为的影响。
此外,Wang等[80]与Hou等[81]均依照PJET设计了相关脉冲射流冲击试验平台,其试验原理和过程均与PJET相同。Wu等[94]基于超声波脉冲射流设计了用于加速雨蚀试验的脉动水射流试验装置,如图29所示。为了产生脉动水流,装置使用了被动声学脉动喷嘴,喷嘴有一个特殊设计的腔室,可以在一定的距离将连续流压力震荡为脉动流。试验时使用光源与高速相机记录并分析液滴的形态与参数等。
2025年,西北工业大学[82]基于单射流以及脉冲射流冲击试验平台,设计了一种连续多滴射流冲击试验装置。该装置旨在克服单射流冲击试验平台无法实现连续冲击以及脉冲射流平台水滴形貌控制不佳的局限性,从而在确保良好水滴形貌的前提下,实现对静止试样的连续多次冲击。装置如图30所示,通过调节撞锤速度可将射流冲击速度控制在100~500 m/s。
另外,依据不同试验方法的适用条件,Seward等[95]提出在雨蚀分析的不同阶段,应选用相应的试验装置以适应不同层次的试验需求,具体如图31所示。在现有各类雨蚀试验方法与装置中,单射流装置与旋转臂装置因具有占地面积小、操作简便、试验条件易于控制等特点,在材料雨蚀研究中应用最为广泛。其中,单射流装置通常用于探究液固冲击的基础力学机制,并模拟大直径雨滴在雨场中对材料造成的侵蚀损伤;旋转臂装置则多用于评估材料在连续雨滴冲击作用下的抗雨蚀性能。需要指出的是,各类雨蚀试验方法均存在各自的优势与局限性。因此,在不同研究阶段,应结合具体试验目标,选择适当的试验方法与装置,从而更有效地实现试验目的。
本文中所提及的各类试验装置(旋转臂、射流装置、风洞等)在水滴形态、冲击频率、试样尺寸、环境控制等方面差异显著,使用的冲击方式和累计效果也相差甚大,导致数据横向对比困难。当前,大多依赖于同规格样品的损伤对比来进行横向等效和分析。有必要建立若干标准化试验手段,并借助数值仿真等手段,建立不同装置所涉及的各类试验手段的横向数据映射和试验数据的等效转换。
4 高速雨滴冲击数值仿真方法
4.1 直接有限元法-混合固体/液体单元法
4.1.1 原理与发展历程
有限元法(finite element method,FEM)是计算力学中处理液固耦合问题的核心工具[96],其核心思想是将连续求解域离散为节点连接的有限单元,通过变分原理或加权余量法建立控制方程的代数方程组。因其处理复杂几何与材料非线性的优势,早期即被尝试用于含冲击的液固耦合问题,此过程中形成两类关联思路:广义直接有限元法,针对两相问题的具体实现——混合固体/液体单元法[97]。
直接有限元法的核心在于统一性:将流体与固体均视为连续介质,基于质量、动量、能量守恒的连续介质力学控制方程统一描述,且采用有限元法统一离散求解域。20世纪70—80年代,随非线性有限元理论与计算机技术发展,统一有限元框架开始用于流固耦合模拟:1978年,Zienkiewicz等[98]首次系统探讨了流固耦合的数值处理方案;1981年,Hughes等[99]采用统一欧拉-拉格朗日网格描述流体与固体力学行为,提出统一数值框架,形成混合固体/液体单元法(如图32所示)。该方法通过流体域与固体域的共节点网格,直接传递力与位移,规避了当时显式耦合算法的不成熟问题。Belytschko和Kennedy[100]对模型进行了简化,将复杂动力学问题转化为“空间分区的单材料动态响应”,即“材料”在不同区域分别呈现流体与固体本构。
4.1.2 直接有限元法的应用
早期,该方法的发展主要聚焦于国防和航空航天领域,其中飞机部件的雨蚀问题是一个经典应用案例。1978年,Wilbeck[101]在其开创性工作中,将水滴冲击视为可压缩流体的高速撞击,这一理论为在有限元框架内模拟水滴提供了物理基础。随后,研究人员[102]利用显式动力学有限元程序(如早期的DYNA系列程序),将雨滴建模为一系列具备状态方程且强度为零或极低的材料单元。例如,采用多项式状态方程或Grüneisen状态方程来描述水体的压力-体积-能量关系,同时运用简单的弹性或理想塑性模型并设置极低的屈服应力来近似模拟流体的剪切行为。固体目标则采用更为复杂的弹塑性或复合材料模型。在计算过程中,当水滴单元撞击固体表面时,产生的压缩应力波通过共享节点直接在两者之间传播。
该方法能够有效地模拟出冲击瞬间产生的高达数百兆帕的瞬时水锤压力,以及固体结构中由此引发的应力波传播和初始损伤。该方法在概念上简洁且优美,并在众多工程问题上取得了成功。其优势主要体现在以下几个方面:其一,无须特定的复杂耦合算法,流体与固体的耦合通过节点力自然实现,从而确保了系统中动量和能量的守恒性[103-104];其二,由于界面具有共节点特性,能够精确地描述耦合界面的几何形状,无须求解额外的传输方程[105];其三,可在同一框架内调用材料模型库,进而实现对批量同类材料的快速分析。对于关注冲击瞬时载荷和结构初始响应的分析,该方法简单有效且具有较高的计算效率[102]。然而,随着研究的持续深入,该方法固有的局限性也日益凸显。其中,最为致命的缺点是无法避免的网格畸变问题。流体在冲击后会发生显著的变形、飞溅和破碎,而拉格朗日网格随之变形会导致单元严重畸变,这不仅会降低计算精度,还会使显式积分的时间步长急剧缩小,甚至导致计算完全终止(如图33所示)[106]。此外,该方法难以模拟冲击后水滴的铺展、冠状飞溅的形成以及水膜在结构表面的流动等后续流体行为,而这些现象对于分析多次冲击和流动引发的损伤至关重要。为克服网格畸变问题,Benson[107]引入了“侵蚀算法”,当单元应变或变形超过临界值时,将其从网格中删除。然而,这引发了质量、动量和能量不守恒的问题,并且侵蚀准则的设定往往缺乏物理依据,带有较大的人为性[108],这极大地降低了模拟结果的可信度。
混合固体/液体单元法作为直接有限元法在液固耦合问题上的先驱性探索,在计算力学发展历程中具有重要意义。从历史角度看,它为理解高速冲击的初始物理过程提供了宝贵的数值工具。通过该方法的模拟,验证了水锤压力理论,初步揭示了结构在液态冲击载荷下的动态失效机理,为后续相关研究奠定了基础。然而,由于混合固体/液体单元法在模拟流体大变形方面存在固有缺陷,在现代高保真度的高速雨滴冲击全流程仿真中,该方法已逐渐失去主流地位。流体在冲击后会产生极大的变形、飞溅和破碎等复杂行为,而该方法难以准确模拟这些后续流体现象,导致其无法满足现代仿真对高精度和全面性的要求。作为一种承上启下的过渡技术,它明确了问题的需求与挑战,从而催生并凸显了欧拉-拉格朗日耦合法和无网格法在处理此类极端变形问题上的优越性[109]。当前,该方法仍可用于特定场景下的快速评估和参数化研究,作为处理结构部分的有力工具[110]。未来FEM应更多作为结构子模型与这些方法耦合,发挥其在材料本构与界面建模方面的优势。
4.2 以SPH法为代表的无网格方法
4.2.1 原理与发展历程
高速冲击问题涉及材料极端变形、破碎及复杂流固耦合,传统网格方法因网格畸变、重构困难等固有缺陷难以适配;而无网格方法,如图34所示,以光滑粒子流体动力学(smoothed particle hydrodynamics,SPH)为代表,凭借大变形与自由表面流动的处理优势,已成为该领域核心数值工具[111]。
SPH源于天体物理学的研究需求:1977年,Lucy、Gingold与Monaghan[112-113]提出该方法,用于模拟非对称星体结构及星际物质碰撞等三维开放问题,以突破欧拉网格描述宇宙空间的局限性;20世纪80年代,Monaghan等[114]将其引入连续介质力学,定义为核近似粒子法并用于流体动力学计算,但受精度不足与数值不稳定限制,应用范围较窄;20世纪90年代至21世纪初,研究者通过人工黏性[115]、人工应力[116]等稳定化方案,结合一致性修正、核函数梯度修正[117-120],显著提升方法鲁棒性;21世纪后,随计算能力提升与算法成熟,SPH迅速拓展至水下爆炸、高速碰撞、流固耦合等工程领域[121],且主流商业有限元软件均集成其模块[122],极大地推动了SPH技术的普及和工程应用。
核函数是SPH的核心,通过积分插值使离散粒子表征连续场:粒子携带质量、密度等物理信息,经核函数“弥散”至以光滑长度为尺度的支持域,仅支持域内粒子发生相互作用,最终将连续介质力学微分方程离散为粒子求和形式:
(6)
式中,m、ρ、r分别代表粒子的质量、密度和位置,h为粒子的支撑长度,W(·)为对应核函数。有效核函数需满足归一性、对称性等特性[123]:
1)满足归一化条件:(|r-r′|,h)dr′=1。
2)紧支性:当|r-r′|>κh时,W(|r-r′|,h)=0。
3)正定性:W(|r-r′|,h)≥0。
4)满足狄拉克δ函数性质:(|r-r′|,h)=δ(|r-r′|)。
目前,主流类型核函数之一是Reyes Lópoz等[121]推广的三次样条核函数,在三维条件下,其形式为:

(7)
式中,d为问题维度,αd表示d相关的样条函数,R表示粒子间距与支撑长度h之比。其优点在于二阶导数连续、光滑性好,支持域半径为2h(邻域粒子数充足),精度与稳定性平衡优,但支持域边界二阶导数不连续易引发边界奇异值[116],适用于常规高速冲击流体模拟,如罗果等[124]以三次B样条核函数结合有限元,模拟180~220 μm、200 m/s水滴撞击叶片,通过无反射边界捕捉应力波,分析等效应力分布与动力响应。Monaghan[125]进一步提出了五次样条核函数,其形式为:

(8)
4.2.2 无网格方法的应用
SPH方法因粒子的自主运动无须考虑网格的连接关系,且具备完全的拉格朗日特性,能够追踪复杂流体的运动轨迹和表面变形演化行为。在多相流、多物理场耦合等领域内,各个材料相的界面可通过粒子间的相互作用直接描述,从而实现了多相-多物理场-多分析步连续仿真,可自动模拟雨滴从初始完整形态到撞击后铺展、飞溅乃至雾化的全过程。同时,通过改进的动力学边界条件或基于惩罚力的接触算法,SPH方法能够精确地将雨滴冲击产生的瞬时水锤压力和后续的径向射流压力传递到固体结构上,为分析材料的动态响应和损伤演化提供更真实的载荷输入。近年来,FEM-SPH耦合方法(如图35所示)展现出巨大潜力。该方法在固体结构使用高效精确的FEM网格,而在雨滴和可能发生大变形的局部区域使用SPH粒子。这种耦合策略兼顾了计算效率与模拟保真度,已成为当前工程应用中的主流先进技术。
Fig.35Schematic of analysis algorithm combining SPH method and traditional finite element method[106]
在具体应用方面,Sha等[128]借助Abaqus/Explicit软件,通过FEM-SPH联合仿真方法,基于黏聚区理论准确预测了复合材料涂层结构在水射流冲击下的分层损伤,模拟了不同速度和角度下射流的冲击过程,成功再现了试验中观察到的损伤形貌,验证了该模型在分析涂层雨蚀机理方面的有效性。Xie等[129]使用类似方法研究了高速水滴冲击钢材和有机玻璃时内部的应力分布和冲击损伤。葛涛涛[130]利用SPH-FEM耦合方法研究了高速挤压过程金属流体的流动状态和应力分布。姚清[131]基于HBP(Herschel-Bulkley-Papanastasiou)本构方程,借助耦合方法研究了结构砰击非牛顿流体时的流变行为,同时基于相关实验研究与数值研究对建立的数值模型进行了充分验证,并将其结果应用于水上飞机迫降在剪切增稠流体中运动轨迹和运动姿态的分析。冯伟干等[132]研究了高速水流冲击弹性边界结构时结构刚度对水锤压力的影响。
尽管SPH方法具备诸多优势,但仍存在计算效率偏低、拉伸数值不稳定、边界条件受限等问题,学者们对该方法进行了进一步的拓展与改进。龚凯等[133]针对固壁边界条件提出了改进的压力外推法和无滑移格式的动力学边界条件,显著提升了固壁附近压力和速度场的计算精度。另外,得益于计算机硬件的发展,借助GPU的大规模并行计算加速,可实现千万级规模的高效仿真,大大拓展了SPH方法的工程适用边界。张福红[134]基于GPU加速技术开展了水流溃坝的数值仿真研究,计算结果和理论解误差不超过4%。何建东[135]分别基于流体和固体的数值模拟特点提出了GPU加速方案,并用于静水压力作用下弹性体变形过程及溃坝流动冲击下弹性体变形过程的数值模拟问题求解,计算效率得到了显著提高。
4.3 耦合的拉格朗日-欧拉方法
4.3.1 原理与发展历程
耦合欧拉-拉格朗日(coupled Eulerian-Lagrangian,CEL)方法是处理流固耦合与大变形问题的关键技术,其为任意拉格朗日-欧拉(arbitrary Lagrange-Euler,ALE)在显式动力学中的工程化实现,核心优势是融合拉格朗日法在界面追踪、材料建模上的精准性,及欧拉法处理流体大变形的稳健性[99]。
该方法概念雏形可追溯至Noh在20世纪60年代的高速冲击问题数值研究[136],最初主要用于模拟接触、碰撞等短暂瞬时的非线性动力学现象。CEL/ALE的基本原理为分区网格策略(如图36所示[137]):固体结构采用拉格朗日网格,网格节点与材料直接绑定,通过各类弹塑性本构模型可精确追踪结构变形与应力应变分布;流体或需经历大变形的材料则采用欧拉网格,网格在空间中固定不动,材料在网格内部流动,从根本上规避了传统网格方法的畸变问题,其力学行为通常通过状态方程描述[99]。
Fig.36Distribution of Eulerian mesh (water and air) and Lagrangian mesh (target plate) in a typical ALE example[137]
在高速液固耦合冲击(如雨滴撞击飞机蒙皮、水下滑行体入水)中,液体短时间内承受高压,可压缩性效应不可忽略,状态方程成为刻画其力学响应的核心本构关系,Ahmed[138]建立了压力、密度(或比容)与比内能(或温度)的热力学关联。最常用的是描述压缩态流体的Mie-Grüneisen线性Us-Up状态方程[137],其一般形式为:
(9)
式中:PH和eH是参考冷压和冷能,P和e表示待求状态下的压力和比内能,通常由Hugoniot冲击关系确定[139];Γ是Grüneisen系数,用于表征热压力对内能的依赖程度。针对水的高速冲击场景,一个广泛应用的经验模型[140]为:
(10)
式中,μ=ρ/ρ0-1,C0是流体声速,其余为材料参数。此外,多项式状态方程、Tait方程、Noble-Abel状态方程等也适用于不同压缩性、黏性的流体力学行为描述[141]。当前主流商业显式动力学分析软件均内置多类状态方程模型:Abaqus内置Us-Up形式、Tabular形式等[142];LS-DYNA可通过*EOS关键字调用或定义状态方程,提供Linear Polynomial、Grüneisen、Tabulated等覆盖简单可压缩流至强冲击物理的状态方程库[143];ANSYS AUTODYN预定义含SHOCK、Linear状态方程的水模型,并保留用户自定义接口[144],以满足不同场景下的流固耦合精确计算需求。
对于固体材料的本构模型,则以各类动态本构模型为主,如适用于塑性金属的Johnson-Cook(J-C)本构模型、适用于聚合物黏弹塑性的Bodner-Partom(B-P)本构模型等。此外,此类常见的材料模型也大多以内置模型的形式嵌入主流有限元分析软件中,同时,还可通过用户自定义材料子程序的方式设置其特殊力学行为。CEL/ALE中液固两者的耦合通过欧拉-拉格朗日接触算法定义相互作用:流体对固体的作用以压力形式施加,而固体的存在会改变流体的流动区域边界。求解过程中,平衡方程采用欧拉框架求解,变形梯度与雅可比行列式的输运方程则采用拉格朗日框架求解。在欧拉域内,材料的分布通过“体积分数”表征,每个欧拉单元内的体积分数代表该单元被特定材料填充的体积比例;通过求解质量、动量、能量守恒方程的输运问题,可实现材料流动过程的数值模拟[145-146],如图37所示。
4.3.2 CEL/ALE方法的应用
随着计算机技术的飞速发展,商业有限元软件中引入的CEL求解方法,为揭示高速冲击下的瞬态物理现象及材料破坏机理提供了强大的分析工具。谢永慧等[147]采用CEL方法,对水滴冲击钢板的弹塑性响应进行了数值模拟。在该研究中,固体钢板部分采用拉格朗日方法模拟其弹塑性变形,而水滴部分则采用欧拉方法描述其可压缩流动与大变形行为。通过构建1/4对称模型,针对直径为0.4 mm、速度为500 m/s的水滴垂直撞击工况,系统分析了撞击过程中水滴内部的压力演化、水锤压力的形成机制、射流产生机理,以及固体的应力分布与塑性变形特征,从而揭示了液固高速撞击下的金属破坏机理。类似地,Mabrouki等[137]基于LS-DYNA 3D软件,采用ALE方法研究了高速水射流对弹塑性靶的侵蚀行为,数值结果与实验结果在形态上表现出良好的一致性。此外,Xie和Rittle[148]利用CEL方法探讨了金属喷丸过程中水射流冲击对表面粗糙度的影响,指出随着冲击液滴数量的增加,表面粗糙度和峰值参数经历三个演化阶段:折痕阶段、粗糙度降低阶段和稳态阶段。这些研究充分验证了CEL方法在高速冲击与材料破坏机理研究中的有效性和应用潜力。
Fig.37Domain decomposition for solving the erosion process of natural gas hydrates using the ALE method[146]
在岩土工程与加工制造领域,CEL/ALE方法被广泛应用于工艺参数优化与机理研究。例如:杨志鹏等[149]采用ALE方法研究了水射流破土特性,并通过室内试验验证了数值计算结果的准确性。进一步地,基于数值模型,他们分析了不同射流速度和靶距下冲蚀深度与体积的变化特征,探讨了射流参数对破土特性的影响机制。田向阳等[150]利用S-ALE(structured ALE)方法,对聚能水射流侵彻花岗岩进行了数值模拟,通过仿真试验确定了五个关键因素对侵彻前头部速度、侵彻深度和开孔直径三个指标影响程度的主次顺序。王建明等[151]采用ALE方法研究了磨料水射流加工参数对切割深度的影响规律,并通过与实验数据对比,验证了仿真模型和结果的正确性。王安文和徐绯等[152]则分别采用实验与多种仿真算法对比的方法,评估了表面贴膜与更换复合材料两种工程改进措施的抗冲击效果,以及表面水膜对冲击的缓冲作用。
值得注意的是,不同数值方法各具优势,在实际研究中应根据具体需求选择或联合使用。例如,Zhang等[146]分别采用ALE和SPH方法研究了天然气水合物水射流钻探开采的临界侵蚀速度,实现了受损区域和侵蚀结果的可视化,并指出ALE方法在模拟受损区域和侵蚀坑特征方面具有较高精度,而SPH方法在显示单颗粒运动状态和不稳定不连续流场方面表现优异,如图38所示。这表明,针对复杂多物理场问题,多种数值方法的协同分析能够提供更全面、深入的认识。
需要指出的是,除了仿真方法选择,状态方程参数、材料本构模型、耦合算法设置对结果影响显著,尤其是本构模型的选择尤为关键。若仿真结果和试验结果误差甚大乃至于和基本物理规律相悖,则需要从建模、本构模型选取、模型参数赋予、边界条件、外载荷施加等多个角度进行反复修正和迭代,直至仿真结果和试验结果或物理规律相匹配为止。
4.4 多物理场联合仿真方法
4.4.1 多物理场耦合的理论框架和求解策略
随着飞行器、能源装备等现代工程系统服役环境的日益严苛与复杂,传统单一物理场的仿真方法在预测复杂工程现象时逐渐显露出局限性。工程科学领域迫切需要能够精准预测复杂系统行为的数值工具,在此背景下,多物理场耦合数值仿真方法应运而生并迅速发展。多物理场问题的核心在于各物理场(如流场、结构场、温度场、电磁场等)之间存在的链式耦合效应,这种相互作用可能产生单一物理场分析中无法观测到的“涌现”现象,从而对系统性能与安全产生决定性影响。
多物理场耦合仿真是一个系统化的分析与设计过程,其核心在于求解描述不同物理场的控制方程组,并精确捕捉它们之间的相互作用机制。正如Wang等[153]所指出,多物理场耦合仿真的关键在于求解描述不同物理场的控制方程,并精确捕捉它们之间的相互作用。例如,在包含流固耦合冲击的多物理场联合仿真问题中,涉及的控制方程主要包括控制流体场的Navier-Stokes方程、控制固体场的结构动力学方程、控制温度场的热力学基本方程,以及控制电磁场的Maxwell方程[154]。Bayat等[155]的研究揭示了飞行过程中存在复杂的流-固-热-振动耦合现象,若再考虑隐身需求,则将进一步引入电磁耦合,构成高度复杂的多物理场系统。
4.4.2 多物理场联合仿真分析的应用
高乾丰等[156]的研究是单向耦合的典型范例。他们结合计算流体力学与有限元法,采用单向耦合方法,首先利用Fluent软件进行风雨场的CFD模拟,将风场视为连续相,将雨滴按M-P(Marshall-Palmer)谱分布视为离散相,采用离散相模型(discrete phase model,DPM)模拟风驱雨过程,计算出风力机表面的风压和雨水撞击力;然后,将这些风雨荷载以网格节点力的形式导出并编辑成Abaqus可读的inp命令流文件;最后在Abaqus软件中建立风力机的有限元模型,如图39所示,将风雨荷载作为节点力施加,并考虑自重等载荷,进行结构静力分析,从而实现了从风雨场到结构场的单向耦合,以此研究风雨共同作用下风力机的受力与变形特性。
Fig.39Simulation method and boundary condition settings for fan blades under combined wind and rain loads[156]
若涉及强耦合问题,则需着重考虑雨滴冲击可能导致的热-力耦合和能量转换现象。D′Aniello等[154]的研究为高速水射流磨削热敏材料表面时的水射流切削机制问题提供了关键见解,并给出了改进的过程控制方案。更为复杂的多场耦合案例可见于杨欢等[157]的工作,他们聚焦于磁场辅助微细磨料射流冲击时的流场和切削效果模拟,指出在磁场、重力场、流场耦合作用下,辅助磁场有助于提高侵蚀效率和表面质量,展现了多物理场协同控制的巨大潜力。
5 总结与展望
本文系统地梳理了飞行器高速雨蚀问题的研究体系,从力学机理、试验方法和数值仿真方法三个角度综述了当下的主要研究成果,并揭示出若干关键研究缺口。当前,对材料损伤时的多机制耦合和微观损伤演化机理研究缺失,并缺乏对应的材料动态性能数据库;在试验方面缺乏对应的标准化测试体系以及即时监测手段;在数值仿真方面则缺乏对多物理场复杂耦合条件下的雨蚀性能及损伤评价的研究,同时缺乏对损伤演化及寿命预测模型的验证和评价。以上各类因素共同导致了缺乏一套涵盖材料层级到结构层级的耐雨蚀设计及防护理论体系。
高速雨滴冲击侵蚀作为飞行器表面材料面临的重要损伤形式,其力学机理复杂且受多种因素影响。通过系统的试验研究与数值模拟分析,可揭示水滴特性、飞行速度、材料特性及环境条件对侵蚀过程的显著影响。试验方法能够有效模拟真实雨场环境,捕捉侵蚀过程的动态特征;数值模拟技术则有助于深入分析应力波传播与材料动态响应,为理解侵蚀机理提供有力支持。
现有的研究结果已经证实,提高飞行器表面材料的耐雨蚀能力需综合考虑材料选择、表面处理工艺及结构设计等多方面因素。未来研究应进一步探索新型防护材料与技术,优化试验与数值模拟方法,以更精确地预测与评估高速雨滴冲击侵蚀效应。此外,新一代飞行器表面材料常采用涂覆功能材料/结构,有必要从学科交叉的角度,阐明高速雨滴冲击侵蚀下涂覆功能材料/结构的力学损伤及功能衰减耦合机制,为飞行器在复杂气象条件下的功能-承载一体化正向设计提供关键技术和基础理论支撑。




