摘要
针对不同马赫数下平板边界层转捩位置的预测问题,开展小样本条件下的高效预测方法研究。利用非线性抛物化稳定性方程生成大量流动转捩数据,以Ma=0.01的样本作为源域,Ma=0.1,0.2,0.4,0.8,1.6的样本作为目标域,系统分析不同马赫数对转捩图案的影响。基于卷积神经网络,构建流场图案与转捩位置的映射关系,并采用渐进式解冻结合分层学习率的迁移学习策略。结果表明,迁移学习显著优于直接训练:在Ma≤0.4时,仅需目标域1/10的样本即可实现平均绝对误差低于真实值均值的2.04%;在Ma≥0.8条件下,通过渐进式领域适应策略可将误差控制在6.19%以内。该方法有效提升了小样本条件下的转捩预测能力,为跨工况流动转捩预测提供了技术路径。
Abstract
To predict the boundary-layer transition location over a flat plate across varying Mach numbers, an efficient method was developed for small-sample settings. Flow-field disturbance datasets across multiple Mach numbers were generated using the nonlinear parabolized stability equations, with Ma=0.01 designated as the source domain and Ma=0.1, 0.2, 0.4, 0.8, 1.6 as target domains. The influence of Mach number variations on transition patterns was systematically analyzed. A convolutional neural network model was employed to map flow field patterns to transition locations, incorporating a transfer learning strategy with progressive unfreezing and layer-wise learning rates. Results demonstrate that transfer learning significantly outperforms direct training: for Ma≤0.4, only 1/10 of the target domain samples are required to achieve a mean absolute error below 2.04% of the average ground-truth value; for Ma≥0.8, a progressive domain adaptation strategy controls the error within 6.19%. The approach enhances transition prediction under small-sample conditions and provides a reliable technical pathway for cross-condition flow modeling.
边界层由层流向湍流的转捩现象是决定飞行器气动性能、热负荷水平与结构安全性的关键因素之一[1]。与层流状态相比,湍流边界层的壁面摩阻和热流密度可增加3~5倍,且转捩区域更可能出现局部热流峰值,对热防护系统构成巨大威胁。多次飞行事故,如“哥伦比亚号”航天飞机灾难与美国“猎鹰”HTV-2首次飞行试验的失败,均凸显了转捩位置不确定性对飞行器热失控与结构破坏的重大影响。因此,边界层转捩问题已成为国际航空航天领域的研究重点之一。
为攻克转捩预测难题,研究者们发展出了多种研究范式:基于线性扰动增长理论的eN法及其一系列改进模型(如苏彩虹等[2]提出的基于扰动幅值增长的修正策略)、基于RANS框架下的转捩模型(如Langtry等[3]提出的γ-Reθ模型和Wang等[4]发展的k-ω-γ模型),以及成本较高的直接数值模拟[5](direct numerical simulation,DNS)与风洞实验(如易仕和等[6]采用的纳米粒子示踪平面激光散射技术)。然而,研究表明,转捩位置对来流马赫数、扰动初始幅值、频率等因素极为敏感[7-8],难以建立统一的判据模型。因此,边界层转捩预测仍被视为气动设计中的“工程黑箱”,缺乏有效、通用的预示手段,导致工程实践中常采用保守的“全湍流”假设进行设计,牺牲了性能和载荷预度。
随着数据驱动技术的发展,深度学习方法逐步应用于边界层转捩建模。目前,已有少数研究尝试直接面向转捩位置进行预测,例如Zafar等[9]通过利用卷积神经网络(convolutional neural network,CNN)处理边界层剖面,并结合循环神经网络捕捉流向演化历史,实现了对N值包络线斜率及转捩位置的端到端模型构建;Meng等[10]使用北京大学Ø300 mm、Ma=6.5静风洞的实验数据,针对倾斜圆锥模型构建了基于神经网络的转捩位置与周向角θ的映射关系;Chang等[8]通过非线性抛物化稳定性方程(nonlinear parabolized stability equations,NPSE)生成涵盖多种扰动初始条件的大规模边界层转捩数据集,并基于壁面压力信号与7种机器学习模型,实现了高精度的转捩位置预测。与此同时,更多工作仍聚焦扰动增长率[11]、N值变化量[12]以及转捩模型中的关键修正项[13]等中间变量的建模。总体来看,尽管数据驱动方法在转捩建模中展现出巨大潜力,但其有效性依赖于大规模高质量数据集作为训练基础,在一定程度上限制了它们在小样本条件下的适用性与泛化能力。
迁移学习为解决上述小样本困境提供了可行途径,它通过将源领域中已学习的表征与知识迁移到目标领域,可在显著减少数据需求的同时加速模型收敛并提升性能,可视为一种特殊形式的数据同化方法[14]。目前,迁移学习在空气动力学中的应用主要集中于两类场景:一是跨工况迁移,二是向高保真数据迁移。前者旨在将已有模型适配于新的流动条件,如王志鹏[15]提出基于生成对抗网络的用于超临界翼型流场预测的框架;瞿锡垚[16]利用长短期记忆网络将压力分布的空间依赖关系迁移至其他机翼截面;Yang等[17]将二维翼型模型嵌入物理规律后迁移至三维后掠机翼流场预测;Zhang等[18]提出点云驱动的迁移学习框架以实现目标工况压力预测。另一方向则聚焦于提升预测可信度并降低计算或实验成本,相关研究包括:从低分辨率但效率高的粗网格计算流体动力学(computational fluid dynamics,CFD)数据迁移至高分辨率的细网格数据,如Wu等[19]、王雨桐等[20]所开展的研究;将CFD数据迁移至实验数据,如Yu等[14]、张俊杰等[21]采用的策略,有效弥补了数值模型与真实系统之间的差异性。
鉴于此,本文聚焦于平板边界层的转捩位置预测问题,通过NPSE方法生成跨马赫数的多组数据集,并采用分阶段微调的卷积神经网络模型,探索流场扰动图案到转捩位置的直接映射关系。研究旨在探讨迁移学习在“小样本与跨工况条件下的边界层转捩位置预测”中的有效应用,通过构建涵盖数据生成、特征提取到跨域微调的方法框架,为航空航天及能源领域的气动设计与流动控制提供高效的数据驱动预测途径。
1 数据集构建与特征分析
1.1 NPSE方法简介
NPSE是一种用于描述边界层中扰动演化过程的数值方法。与传统线性稳定性理论(linear stability theory,LST)相比,NPSE在建模过程中引入了非线性效应,能够更准确地捕捉转捩前期扰动的非线性发展过程。已有研究证实,NPSE在预测扰动结构演化及转捩起始位置方面与DNS结果吻合良好,同时能显著降低计算成本[8],这一优势保证了基于NPSE构建数据集的适用性和预测结果的可靠性。尽管NPSE在模拟强非线性湍流阶段存在局限,但其适用范围覆盖了本文所关注转捩判断的关键区域,因此并不影响所得主要结论与迁移模型训练的有效性。
NPSE的基本思想是将扰动变量分解为波函数与沿流向缓慢变化的形状函数,其控制方程可表述为:
(1)
其中,针对可压缩流动,L、Ly、Lyy、Lx是5×5的系数矩阵,为沿流向缓慢变化的形状函数。小扰动,可进一步分解为傅里叶空间不同频率和波数的模态叠加:
(2)
其中,i是虚数单位,α、β分别是扰动波在流向的波数和展向的基础波数,ω为基础频率。有关公式的详细推导可参考Yang等[22]的研究。通过数值求解,可以有效模拟扰动从线性增长到非线性相互作用,直至引发转捩的过程。
1.2 工况与扰动设置
为评估跨马赫数条件下转捩位置预测的可迁移性,设置了六组自由来流马赫数,分别为Ma=0.01,0.1,0.2,0.4,0.8,1.6。其中Ma=0.01作为源域,其余五组作为目标域。在每一组工况内,围绕基础频率、基础波数与初始扰动幅值构造参数空间,通过随机抽样生成多样化样本。计算参数的具体设置见表1。A(m,n)表示对频率为mω、展向波数为nβ的扰动模态所施加的初始幅值,Nx、Ny则分别代表在流向和法向的网格点数。所有工况下的流向范围均设置为378~2 500(对应雷诺数为378~972),以保证不同工况之间的可比性,并在展向施加4个周期。
具体而言,Ma=0.01的样本数据由Chang等[8]提出的Dataset I扩展而来,其余马赫数下的数据在此基础上进行适当调整:为凸显迁移学习在小样本条件下的优势,目标域样本数量统一缩减为300;Ma=0.1,0.2,0.4三组保持相同的扰动与网格设置。随着马赫数升高,数值计算对网格分辨率的需求逐渐增加,故在Ma=0.8和Ma=1.6时适当加密网格,此时计算代价也显著上升。此外,在Ma=1.6时,流动的线性失稳机制受到明显抑制(详见1.3节),为使扰动在相似的流向范围内能够发展至饱和并发生转捩,通过多轮试算后将初始扰动幅值增大至原值的4倍,从而保持模型输出区间的一致性。
表1各马赫数工况计算参数配置
Tab.1Configuration of computational parameters under different Mach number conditions
为进一步验证计算结果的可靠性,依据表1,选取了Ma=0.4,0.8,1.6三种具有代表性的工况进行网格无关性检验,求解参数在其范围内随机生成,并设计了三种网格:在表1中原网格基础上将Ny减少50个网格点且Nx减少100个网格点后的粗网格、与表1所用网格相同的中网格、在原网格基础上将Ny和Nx各增加100个网格点后的细网格。
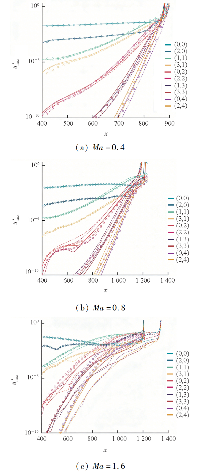
计算完成后,图1展示了不同马赫数下扰动速度在法线方向上的幅值最大值u′max沿流向位置的演化。图中不同颜色表示不同扰动模态,虚线、实线和圆圈分别代表粗网格、中网格和细网格的结果。可观察到粗网格的结果在转捩位置上存在明显偏差;而中网格与细网格的结果在主模态发展趋势上几乎一致,仅在高阶模态部分存在细微差别。因此,可以认为中网格已具备足够的空间分辨率。但需要说明的是,出于计算资源与效率的权衡,本文仅在部分算例中开展了网格收敛性检验,研究重点在于迁移学习方法及图案识别策略的可行性。
1.3 流场稳定性分析
为保证所有工况下的起始流域均位于失稳区内,现基于LST对不同马赫数条件下的流动稳定性进行分析。通过求解局部特征值问题获得扰动增长率αi,构建以雷诺数Re、频率F、波数B为参数的中性曲面,如图2所示。计算结果表明,所设置的各工况起始流域均位于该中性曲面的不稳定区内,从而为后续NPSE计算中扰动的发展演化提供了必要的物理前提。
图1不同网格分辨率下扰动幅值的演化对比
Fig.1Comparison of disturbance amplitude evolution under different grid resolutions
进一步比较发现,在Ma≤0.2的较低马赫数范围内,中性曲线形态整体一致,仅在最不稳定波的参数区间上观察到微小收缩。这意味着在线性阶段,低马赫数之间的可压缩效应差异影响较弱。然而,在进入非线性发展阶段后,初始扰动的微小差异可能会被逐步放大,导致流动结构出现显著变化。
为更直观地说明马赫数对转捩过程的影响,图3展示了在相同初始扰动条件(除Ma=1.6的扰动幅值放大四倍)、不同马赫数流场下以流向扰动速度着色的涡量分布图以及速度扰动幅值随流向位置的演化曲线。从图中可以清晰地观察到,尽管在早期的线性失稳阶段流动特征相似,但随着马赫数升高,流场呈现不同的涡结构特点。这一趋势也意味着高马赫数条件会加剧跨工况学习的难度,从而对后续的迁移学习策略提出更高要求。
图2不同马赫数下的中性曲面
Fig.2Neutral surfaces at different Mach numbers
1.4 输入输出形式选择
在数据驱动的转捩预测研究中,特征的选取需同时兼顾物理意义与工程可实现性。参考Xiao等[23]基于失稳图案进行N值预测的研究思路,选取xz平面贴近壁面位置处的流向速度扰动的灰度切片图像作为模型输入。该选择具有两方面显著优势:其一,从物理机理上,速度扰动图案直接反映了边界层中扰动波的增长过程,蕴含了转捩发生位置的关键信息,在其他流场参数未知的情况下仍具备较强的指示意义;其二,从工程应用角度,此类扰动图像可通过粒子图像测速、压敏涂层、温敏涂层等非接触式实验技术获取,从而避免传统热线探针等侵入式手段对流场造成的干扰。
图3相同初始扰动下不同马赫数的转捩演化对比
Fig.3Comparison of transition evolution at different Mach numbers under identical initial disturbances
为增强输入图像中转捩特征并实现尺度统一,在完成NPSE求解后,将速度扰动首次达到±0.05的坐标设为流向终点,并自该位置向上游回溯20个网格点,截取该区段的扰动图像作为模型输入。所构建的数据集示例如图4所示,不同马赫数下的样本横向排列,覆盖了转捩发生前扰动快速增长的关键物理阶段。
模型的输出为单一标量,即与该输入流场图案相对应的转捩位置xtr。使用表面摩擦系数的流向分布曲线判断转捩位置,将其相对于层流基线发生显著抬升的起始点定义为转捩位置。考虑到跨工况的差异,输入和输出均经过标准差归一化处理。
2 迁移学习策略与预测结果
2.1 源域训练与基线性能
选择残差网络ResNet-18[24]作为基础架构,该模型在图像识别任务中已被证明具备出色的特征提取能力。首先在Ma=0.01的源域数据上进行预训练,数据集按照80% ∶10% ∶10% 的比例划分为训练集、验证集和测试集。采用随机搜索策略在验证集上进行超参数优化,探索的参数范围包括:学习率∈{0.000 1,0.001,0.01},批次大小∈{16,32,64},权重衰减∈{0,0.000 01,0.000 1,0.001},以及优化器∈{AdamW,Adam,SGD}。共采样20组独立组合,并基于均方误差进行评估筛选,最终选择误差最低的配置(上述粗体)用于最终模型的训练和测试。
在完成训练后,对测试集进行性能评估,结果显示模型在转捩位置预测中的平均绝对误差(mean absolute error,MAE)为17.1。图5提供了详细的可视化分析结果:图5(a)上方子图展示了预测值与真实值的六边形密度分布,对角红色虚线为理想拟合线,深蓝色区域代表样本较高的对数密度,可见多数样本贴近对角线;下方子图则给出了按真实值区间统计的MAE分布,误差在各实际值区间内较为均匀,说明模型在整个值域范围内性能稳定。图5(b)进一步展示了绝对误差(absolute error,AE)的频率分布直方图,误差分布呈现明显的左偏特征,主要集中在较小数值区间,长尾部分有限,这表明模型在大多数样本上都表现出较高的预测精度,仅有极少数的异常预测值。综合上述结果可见,基于Ma=0.01样本训练得到的CNN模型能够较为准确地捕捉流场扰动与转捩位置之间的映射关系,为后续跨马赫数迁移提供了可靠的源域基线。
图4不同马赫数条件下的扰动图案数据集
Fig.4Disturbance pattern dataset under different Mach number conditions
图5源域条件下CNN模型的预测性能
Fig.5Predictive performance of the CNN model under the source-domain condition
2.2 微调策略设计
针对小样本条件下的跨马赫数迁移,本文采用渐进式解冻与分层学习率相结合的微调策略[25]。该方法在保留源域预训练模型通用表征的同时,重点优化与目标任务强相关的高层特征,从而提升训练稳定性与学习效率。
为验证迁移学习的必要性,先将预训练模型直接应用于目标域样本,而不进行任何微调。结果显示,在Ma=0.1条件下,模型的MAE为53.5;在Ma=0.8条件下,MAE更是高达670.3。这一结果表明,不同马赫数条件下的流场数据分布确实存在显著差异,源域模型无法直接泛化至目标域,从而充分证明了开展迁移学习的必要性。
为探讨不同微调策略对迁移效果的影响,以Ma=0.1条件为例开展对比实验。基于ResNet-18的网络结构特点,将其分解为stem、layer1~4和fc等模块,并设计了三种微调策略,如表2所示。在总训练轮次(epoch)一致的前提下,它们的解冻范围依次扩大,相应的可训练参数规模和计算开销也逐步增加,但都在后期降低学习率η以提高收敛稳定性。以百万次乘加运算(million multiply-accumulate operations,MMac)衡量计算量,并考虑到反向传播需分别对权重与输入求梯度,计算量近似为正向传播的2倍。为降低随机性影响,每种策略均进行5次随机训练,最终以预测结果的MAE及其标准差(standard deviation,SD)作为性能评价指标。
表2不同微调策略的性能对比
Tab.2Performance comparison of different fine-tuning strategies
注:“可训练参数量”中的百分比表示训练层参数量占整个网络总参数量的比例;“计算量”中的百分比表示相较于直接训练的计算比例。
实验结果表明,三种策略中S2在预测精度与计算成本之间实现了最佳平衡,因此被选为后续研究的默认微调方案。图6(a)进一步展示了策略S2的具体数据处理流程,其中蓝色模块表示冻结的网络层,红色模块表示可训练层,虚线表示不参与梯度更新。该策略首先利用源域样本完成特征提取,随后在目标域样本上采用两阶段训练方式:前期仅微调全连接层,使用相对较高的学习率快速适应新任务;后期解冻layer4层,并采用较低学习率进行精细调优。图6(b)展示了ResNet-18的残差块结构示意,该网络中每个layer由两个残差块组成,并通过残差连接有效缓解深层网络训练中的梯度消失问题,从而提升了模型的稳定性与表达能力。
2.3 不同马赫数区间的结果分析
基于第2.2节所提出的迁移学习策略,本节对第1.4节构建的不同马赫数数据集进行迁移训练,并考察模型在测试集上的性能表现。与前文一致,每组实验均随机训练5次,结果随训练样本数量的变化如图7所示,取其MAE(图中实线)和SD(图中透明带)进行展示。图中橙色线表示在不使用迁移学习的情况下,采用相同训练参数直接训练得到的结果;蓝色线表示以Ma=0.01为源域,迁移到各个目标马赫数后的迁移学习结果;红色线则表示经由中间域逐步迁移至目标域的结果。
在Ma=0.1,0.2,0.4条件下,迁移学习相较直接训练表现出显著优势,图7中蓝色曲线始终大幅低于橙色曲线,在样本数量极少的情况下优势更加明显。当训练样本数为250(约占源域样本量的10%)时,Ma=0.4条件下的迁移学习MAE为23.6,仅相当于真实值均值1 158.3的2.04%,且更低马赫数下的相对误差进一步减小。需要指出的是,当样本数量增加至250时,部分实验的标准差出现上升,这主要源于测试集规模减小带来的统计不确定性,而非方法本身缺陷。
图6基于策略S2的迁移学习流程
Fig.6Flowchart of transfer learning based on strategy S2
图7跨马赫数迁移学习性能对比分析
Fig.7Comparative analysis of transfer learning performance under different Mach number conditions
当目标域马赫数升高至0.8时,域间分布差异显著增大,模型性能较低马赫数有所下降。这表明源域与目标域之间存在较大的分布差异,单步迁移不足以学习到有效映射。为克服这一问题,引入渐进式领域适应策略[26],采用分阶段迁移方式:先将模型从Ma=0.01迁移至Ma=0.4,得到中间域模型,再进一步迁移至Ma=0.8。实验结果以图7(e)中红色线显示,在样本量为250时,相较于单步迁移,MAE降低了25.1%,证明渐进式策略能够有效缓解分布差异带来的负面影响。
同样地,在迁移至Ma=1.6的数据集时,基于Ma=0.8的迁移结果继续训练。图7(f)结果表明,此时迁移学习与直接训练的MAE已较为接近,但迁移模型具有较小的SD,在稳定性方面仍具有优势。而且,在样本数量为250的情况下,迁移模型的MAE为78.4,占真实值平均水平1 267.4的6.19%(Ma=0.8的比例为4.42%),仍处于较低水平。此外,两种方法均显示出误差随样本量增加而逐步降低的趋势。
为进一步直观展示模型在不同马赫数下的预测效果,针对目标域中五组马赫数,在训练样本数量为250的情况下,各随机选取了10个测试样本进行模型评估。如图8所示,展示了真实转捩位置与预测转捩位置的散点图(图8(a))以及相应的相对误差分布(图8(b))。结果表明,迁移学习模型在较低马赫数下表现出较高的预测精度,样本点紧密分布在对角线附近;随着马赫数的增加,预测误差略有增大,但相对误差整体保持在较低水平。由此进一步验证了迁移学习方法在跨马赫数转捩位置预测中的有效性。
图8模型的预测误差分析
Fig.8Prediction error analysis of the model
3 结论
本文采用渐进式解冻与分层学习率相结合的迁移学习方法,利用低马赫数下的流动样本,实现了从流场图案到转捩位置映射关系向不同马赫数条件下的有效迁移。主要结论如下:
1)基于Ma=0.01源域数据训练的预测模型,结合渐进式解冻与分层学习率的迁移学习策略,有效实现了从流场失稳图案到转捩位置的精准映射。
2)在较低马赫数范围内,尽管稳定性图谱与前期线性失稳阶段差异较小,但在非线性阶段生成的转捩图案仍存在显著差异,且该差异随马赫数增大而逐渐扩大。
3)在Ma=0.4及以下马赫数范围内,迁移学习方法的预测性能明显优于直接训练,尤其在训练样本数量有限时优势更为突出,仅需目标域10%的样本量即可实现低于转捩位置真实值均值2.04%的相对误差。
4)当马赫数升高至0.8及以上时,源域与目标域间的流动结构差异显著增大,需采用渐进式领域适应策略。在此情形下,迁移模型的平均绝对误差和标准差仍保持在较低水平。
未来的研究可进一步探索以高马赫数样本为源域起点的迁移策略,预期可实现向更高马赫数条件下的有效迁移,从而拓展方法在更广泛流动状态下的适用性。




