摘要
本文系统梳理了模型预测控制方法及其在飞行器系统中的应用。从飞行器系统的任务场景与技术难点出发,深入分析了飞行器控制系统的设计需求。针对不同类型飞行器控制算法的设计要求,调研并构建了模型预测控制的框架体系,系统回顾了模型预测控制方法的起源、发展以及基础理论,调研了鲁棒模型预测控制、Lyapunov模型预测控制、切换模型预测控制以及显式模型预测控制等主流方案,厘清了近年来该领域的主要研究成果。基于模型预测控制的方法框架,系统调研了模型预测控制在四旋翼无人机、直升机、固定翼飞行器和高速飞行器系统中的应用。最后,展望了模型预测控制方法在飞行器领域的未来研究方向,并给出总结性评述。
Abstract
It was presented that a review of model predictive control and its applications in aircraft systems. Starting from representative mission scenarios and key technical challenges, it clarifies the design requirements of aircraft control systems. In response to the design needs of different classes of vehicles, the review surveys and synthesizes a coherent framework for model predictive control. It traces the origins and development of model predictive control and summarizes its theoretical foundations, with particular attention to robust model predictive control, Lyapunov model predictive control, switched model predictive control, and explicit model predictive control, thereby delineating the principal advances reported in recent years. Building on this framework, the paper examines applications of model predictive control to quadrotors, helicopters, fixed-wing aircraft, and high-speed aircraft. Finally, it outlines future research directions for model predictive control in aerospace control and offers concluding remarks.
Keywords
先进高效飞行器,通常指在最新的技术和设计理念辅助下,飞行性能得到显著提升,具有高工作效率和环境友好性的一类飞行器[1]。此类飞行器结合了先进气动设计、新型材料及智能控制技术等领域的创新成果,旨在提升飞行器的整体效率、安全性和可持续性[2]。在众多的技术环节中,控制系统扮演着中枢指挥的角色,它能够实时调控飞行器的姿态和轨迹,确保飞行器能够在复杂环境下稳定且精确地跟踪期望轨迹,是先进高效飞行器不可或缺的技术单元。先进的控制系统能够优化飞行器的控制流程,在能源消耗、飞行效率、安全性等方面均能得到全方位的提升[3]。
通过调研当前先进飞行器的产业数据和研究现状,按照不同的任务和应用场景以及不同的总体构型,先进飞行器的主要种类可划分为四旋翼无人机、直升机、固定翼飞行器和高速飞行器等,见图1与表1。四旋翼无人机因成本低、灵活性强、技术发展迅速,已成为先进飞行器的重要组成部分,广泛应用于物流、农业、资源探测等领域,市场需求仍在快速增长[4]。四旋翼无人机适用于低空近地、短航程的任务。直升机则因垂直起降和悬停能力,在医疗救援和军事行动中扮演着关键角色[5]。直升机造价高,适用于多种复杂环境。相比之下,尽管固定翼飞行器和高速飞行器在整体产业分类中的占比低于四旋翼无人机和直升机,但其在卫星发射、全球物流网络以及时效敏感型货物市场中具有不可替代的地位,其发展直接关系到国家科技水平和战略竞争力[6]。相比于直升机和高速飞行器,固定翼飞行器造价居中,特别适用于长航程的运输任务;而高速飞行器的造价非常高,适用于高速、高空、远程的运输任务。四类飞行器的应用场景广泛,涵盖了从低速低空到高速高空长航程的多样化任务需求;同时,研制成本亦呈现显著差异,范围从低成本到极高造价。
图1先进飞行器的主要种类
Fig.1Main types of advanced aircraft
表1四种飞行器的特征归纳
Tab.1Summary of characteristics of four types of aircraft
针对不同类型的飞行器,控制系统所面临的应用场景、系统特性以及控制方法也存在差异。因此,深入分析不同控制平台的特性,设计面向实际应用场景的控制算法,对于推动高效飞行器控制技术的发展具有重要意义。具体而言,四旋翼无人机对姿态控制的精确性要求更高,尤其在特定应用场景下,对跟踪精度和暂态性能提出了严格要求。直升机的欠驱动特性使其姿态控制面临更为复杂的动力学和稳定性挑战。此外,固定翼飞行器以及高速飞行器需要执行起飞或助推、加速、巡航、降落或再入等多阶段飞行任务,其飞行过程中将遭遇多种复杂扰动。尤其是高速飞行器,其在高速工况条件下的动力学呈现强耦合、强时变的非线性特性,并且存在多物理场强耦合的外界扰动,对飞行姿态控制造成严重影响。
针对不同类型的飞行器所面临的技术难题,国内外已提出了多种控制方法,包括鲁棒控制、自适应控制、滑模控制和增益调度等。与其他的研究方法相比,模型预测控制(model predictive control,MPC)能够将飞行器的状态和控制等多种约束直接融入优化过程中,在严格满足约束条件的同时实现最优控制分配[7]。MPC是一种结合了模型预测与优化技术的控制方法。MPC的优势在于能够解决多变量控制问题以及显式地处理系统的约束[8]。以工业过程系统为例,传统的控制方法难以处理多变量耦合、时滞以及系统约束问题。MPC凭借自身的滚动优化机制,在工业过程系统的控制问题上具有显著优势。近年来,MPC逐步应用于化工产业、能源电力、飞行器、智能驾驶以及机器人等诸多领域,创造了巨大的经济价值。MPC在时域优化求解以及多约束处理能力等方面具有显著优势,有望更有效地应对高速飞行器的强非线性、强耦合和强时变挑战。
约束优化问题在诸多工程系统中具有广泛的应用,例如控制系统、资源调度以及航空航天等领域。除MPC外,现有多种方法可用于求解带约束的优化问题,见表2。线性规划适用于目标函数与约束条件均为线性的静态优化问题[9]。二次规划则针对目标函数为二次型、约束条件为线性的情形[10]。动态规划通过分阶段策略求解多阶段决策问题,尤其适用于最优控制[11],但其在处理高维或连续状态空间时存在计算复杂度高、维数灾难等局限性。线性二次型调节器[12]作为一种经典控制方法,通常用于线性系统,以最小化二次型目标函数。启发式算法[13](如遗传算法、粒子群算法和模拟退火算法)依托经验规则或自然现象模拟,适用于大规模、非凸、多峰等复杂约束优化问题,然而这类方法通常无法保证全局最优解,且在需要高精度、高实时性或高可靠性的控制任务中可能面临稳定性与计算效率的挑战。
表2含约束优化问题的求解方法归纳
Tab.2Summary of solution methods for constrained optimization problems
相较于传统方法,MPC表现出以下显著优势:首先,MPC能够基于系统实时状态与环境变化动态调整决策,从而显著增强控制系统的灵活性与环境适应性;其次,它能够在统一框架下同时处理多目标与复杂约束,包括软约束与硬约束,尤其适用于高维复杂系统;最后,MPC具有良好的可扩展性,能够有效应对强非线性、时变动态与外部扰动,通过直接集成系统动力学模型与实时反馈机制实现滚动优化,表现出较强的鲁棒性。
本文以飞行器(包含四旋翼无人机、直升机、固定翼飞行器和高速飞行器)为研究对象,系统梳理MPC的核心技术及其在飞行器系统领域的应用,旨在提出一套以MPC算法为核心的飞行器控制研究范式,见图2。从MPC算法思想入手构建其体系架构,并归纳飞行器系统中涉及的MPC关键模块。鲁棒模型预测控制(robust model predictive control,RMPC)、切换模型预测控制(switched model predictive control,SMPC)及显式模型预测控制(explicit model predictive control,EMPC)等代表性方法共同构成飞行器控制的研究框架。本文的研究思路是,首先,针对特定飞行场景的控制需求,在MPC框架下进行问题建模,将其转化为标准优化问题;随后,结合不同飞行器的控制难点与应用需求,依托理论支撑设计具体的MPC算法;最终,将所提算法应用于飞行平台,以实现真实飞行环境中的任务执行。飞行平台、理论框架与控制算法三者之间形成紧密的互动关系。
图2研究思路
Fig.2Research thread
1 模型预测控制的框架
1.1 模型预测控制的起源与发展
1960至1980年,移动视域与迭代优化的控制思想相继被提出,并诞生了动态矩阵控制[14](dynamic matrix control,DMC)、广义预测控制[15]等经典的控制算法。迭代优化的核心思想是在每个采样时刻,通过求解有限预测时域内的优化问题,获得最优控制序列,并将该序列的首个控制输入作用于系统,如图3所示;随后顺移至下一个采样时刻,MPC在下一个采样时刻重新求解此优化问题,从而实现控制策略的滚动更新[16]。
图3模型预测控制的思想
Fig.3Concept of model predictive control
MPC是有限时域范围内的优化问题,其稳定性还需要额外的理论保证。第一种思路是将MPC的预测时域加长,利用近似无限时域的思想保证闭环系统稳定性。第二种思路是在优化问题中增加终端等式约束,即强制限定终端状态回到平衡点,从而保证闭环系统稳定性。第三种思路是在优化问题中增加终端成本以及终端不等式约束,并由此派生出一些保证稳定性的方法[17]。
随着计算机性能的不断提升、优化技术的快速发展,MPC的性能优势得以展现,并逐渐发展为热门的控制方法。在产业应用上,工业过程系统是最早成功应用MPC的领域。早在20世纪80年代初期,知名石化企业在炼油反应-分离系统上部署了200余套DMC控制器,将能源消耗降低了15%。炼油反应-分离系统是典型的多变量、强约束、大时滞复杂系统,DMC能够预测设备在未来几分钟的温度,同时能够显式处理燃料阀开度、塔压、排放等硬约束,最终大幅度地优化了能源消耗。在电力系统中,MPC协同优化电力网络,统一调度电厂、微电网以及储能网络之间的能源分配,将弃风弃光率降低30%。在城市交通问题上,MPC优化城市信号,将车辆的出行时间缩短10%到20%。大量的工业成果表明,MPC能够在耦合和饱和非线性系统中实现高质量的控制性能[18],具有广阔的发展前景和实际应用价值。
1.2 模型预测控制的基础理论
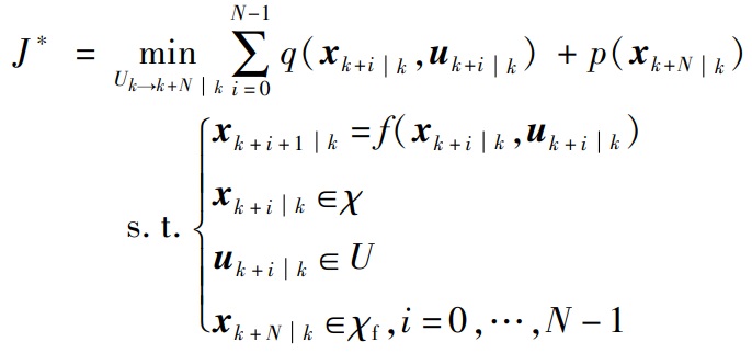
MPC是一种基于动态系统模型,预测未来时域内系统行为,并通过滚动优化确定控制策略的先进控制方法[19]。具体而言,离散时间系统如下:
(1)
其中,f(x(k),u(k))表示系统的非线性动力学,表示系统状态向量,表示控制输入向量,且两者分别满足约束集x(k)∈χ和u(k)∈U。针对该系统,使用系统的状态方程(1)作为预测模型,即xk+i+1|k=f(xk+i|k,uk+i|k),设计标准形式的MPC,其形式为

(2)
其中:xk+i|k表示从当前状态xk|k=x(k)出发,在k时刻预测的k+i时刻的状态向量;J*表示第k时刻最优的代价函数;Uk→k+N|k对应优化得到的最优的控制序列,N为预测步长;q(xk+i|k,uk+i|k)表示第i步的阶段成本,p(xk+N|k)表示第N步的终端成本,二者均定义为加权的欧几里得范数的形式;χ和χf分别表示状态集合以及状态的终端集,U表示控制集合。
观察式(2)的优化过程可知,MPC基于系统的数学模型预测未来时刻的系统输出。在每个采样时刻,MPC通过求解有限时域内的优化问题生成一组控制序列,但仅将当前时刻的第一个控制输入应用于系统,随后顺移至下一个采样时刻,重复这一优化过程,从而实现滚动控制[20]。MPC的显著特点是能够显式处理系统的输入、输出和状态的各种约束条件,例如输入输出饱和等约束。通过在优化问题中引入这些约束,MPC可确保系统在限制范围内运行,避免出现不合理的行为。MPC算法的完整流程总结为算法1。
算法1 MPC算法流程
Alg.1 MPC algorithm flow
本文针对四旋翼无人机、直升机、固定翼飞行器与高速飞行器四类飞行平台展开了系统调研。各类飞行器面临不同的飞行环境与控制需求,需采用相应的MPC方法,见图4。具体而言,四旋翼无人机的主要控制挑战在于系统强非线性与外部扰动,可采用RMPC以增强抗干扰能力,并借助Lyapunov模型预测控制(Lyapunov model predictive control,LMPC)保证飞行稳定性。固定翼飞行器在长航程任务中需应对环境动态变化,适合采用RMPC处理扰动,并利用EMPC实现航程优化。直升机系统存在多飞行模式切换的挑战,SMPC可有效实现模式间的平滑过渡。高速飞行器则面临最为复杂的飞行环境,其控制问题同时涉及航程规划、外部扰动、多模态切换及稳定性等多重因素,需结合多种MPC方法进行联合设计。
图4飞行平台与算法的适应关系
Fig.4Aircraft platform and algorithm adaptation relationship
2 模型预测控制的方法概述
针对上节中四类飞行器的控制需求,本节将系统归纳并对比RMPC、LMPC、SMPC及EMPC四类方法的算法特点与适用场景,见表3。RMPC主要面向系统不确定性与外部扰动问题,其通过将模型不确定性纳入优化框架,设计具有鲁棒性的控制策略,有效应对系统不确定因素,从而保证系统的闭环稳定性[21]。LMPC以系统稳定性为核心目标,尤其适用于对全局稳定性有严格要求的场景;该方法基于Lyapunov函数进行控制器设计,可确保系统在控制过程中始终保持稳定[22]。SMPC适用于具有多模态特性的系统,能够在不同飞行模式之间实现平滑切换,并通过约束满足与稳定性条件保证切换过程中的系统可靠性[23]。EMPC则着眼于计算效率的提升,通过离线求解优化问题并将最优控制律表达为显式函数形式,显著降低在线计算负担,适用于实时性要求较高的应用场景[24]。总体而言,四类方法分别从鲁棒性、稳定性、多模态适应性与实时性等角度为飞行器控制提供了有针对性的解决方案。
表3不同MPC算法的特征归纳
Tab.3Summary of characteristics of different MPC algorithms
2.1 鲁棒模型预测控制
MPC设计过程中的一个关键问题是构建精确的数学模型。模型的精度会直接影响对系统状态的预测精度。对于存在建模偏差的系统,例如包含未建模动力学、参数不确定性或外部干扰的系统[25],其控制性能会显著下降,且优化过程将变得更加复杂和困难[26]。RMPC旨在解决缺乏精确数学模型的预测控制问题,代表性方法包括扰动观测MPC[27]、随机MPC[28]和管道MPC[29],见表4。
Soman等[30]提出了一种随机MPC,用于解决存在移动障碍物的自动驾驶系统的安全控制问题。Yang等[31]提出了一种双层随机MPC,将其应用于电动汽车与微电网的集成控制问题。该方法有效地减少了预测误差,提升了能源管理系统的运行效率。Kim等[32]提出了一种基于Koopman算子的随机MPC,用于自动驾驶汽车的横向控制。尽管随机MPC具有良好的控制性能,但其在线计算的复杂性较高,计算量较大[17]。
表4鲁棒模型预测控制方法归纳
Tab.4Summary of robust model predictive control methods
管道MPC在一定程度上平衡了在线计算与控制性能,其通过计算扰动不变集的思路抑制外部扰动的影响。不变集以及扰动不变集是设计管道以及终端不等式约束的关键概念,其内容可见定义1以及定义2。
定义1:对于系统xk+1=f(xk),xk表示系统第k时刻的状态,xk+1表示系统第k+1时刻的状态,如果存在一个集合Ω,使得
(3)
那么称集合Ω为系统的正不变集[17]。
定义2:对于受扰系统xk+1=f(xk,wk),其中,wk∈W表示系统第k时刻的扰动,W是一个紧集合。如果存在一个集合Ω,使得当x0∈Ω时,系统的后续状态满足
(4)
那么称集合Ω为系统的扰动不变集[17]。
针对离散线性定常系统,Gu等[33]提出了一种基于事件触发的管道MPC,通过管道增强的方法,将随机约束重新表述为确定性约束。通过暖通空调系统的仿真实验,证实了所提出的控制方法的有效性。Soleymani等[34]设计了基于稳定反馈和Lyapunov函数的管道,通过终端集保证了迭代可行性。该算法被应用于存在加性扰动的风力发电机的控制问题。Chen等[35]提出了一种基于管道的分布式协同鲁棒控制器,能够将发生故障时的系统状态限制在安全稳定的范围之内。该算法被应用于具有执行器故障的分布式驱动电动汽车的路径跟踪控制问题。Dai等[36]提出了一种管道RMPC。该方法利用管道细化系统的标称状态,实现了有界扰动下时变轨迹的跟踪控制。然而,管道RMPC的迭代计算过程会影响算法的实时性能,其复杂的结构限制了实时计算效率。并且,管道的设计过程较为复杂,局部反馈控制参数的选择也面临较大挑战[17]。
其余常用的增强MPC鲁棒性的方法包括引入观测器[37]、扰动建模[38]和扰动滤波[39]等。通过构建扰动的统计模型,以及应用滤波技术,可补偿部分的扰动,但如何保证补偿精度仍然是一个难点。相比之下,引入观测器是增强MPC鲁棒性的常用策略,具体类型包括滑模观测器[40]、鲁棒观测器[41]和扩张状态观测器[42]等。Dai等[43]通过整合二次鲁棒性约束提高了系统的稳定性,但非线性约束加大了实时求解的计算负担。Yuan等[44]提出了一种连续控制集无模型预测控制算法,设计了超螺旋滑模观测器估计集总扰动,增强了控制器的参数鲁棒性。Zhu等[45]提出了一种状态反馈MPC,采用闭环状态观测器近似重建系统模型,并将其作为MPC预测的基准。Sun等[46]提出了一种改进的连续控制集模型预测控制方法,设计了扩张状态观测器来补偿系统中的多种扰动。基于扰动观测器的MPC在具体控制情境下可实现良好的控制效果,但受限于观测器的带宽。较窄的带宽可能降低估计精度,而较宽的带宽则容易引入高频噪声。尽管基于管道或观测器的RMPC方法能够有效减轻外部扰动并增强系统鲁棒性,但与基于扰动学习的机制不同,观测器通常难以实现对扰动的实时自适应调整[17]。
2.2 Lyapunov模型预测控制
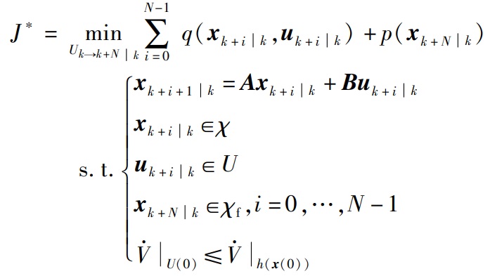
LMPC的核心思想是在优化问题中引入刻画Lyapunov函数衰减速率的附加约束,以确保闭环稳定性,算法结构如图5所示。具体而言,要求Lyapunov函数沿闭环轨迹的导数不大于由预先设计的辅助控制律所给出的上界,从而保证系统状态的收敛性。LMPC的算法结构为

(5)
其中,A为系统矩阵,B为输入矩阵。第5个约束是所设计的MPC的稳定性约束,V是Lyapunov函数,h为辅助控制器,对应辅助控制器的Lyapunov函数的变化率,对应LMPC的Lyapunov函数的变化率。具体而言,在收缩约束的构造方面,反步法是一类被广泛采用的辅助控制器设计方法。借助比较原理,可将与反步法对应的Lyapunov函数导数条件转化为MPC优化中的不等式约束,进而保证首次控制动作满足Lyapunov稳定性要求。通过合理地整定参数,使得当反步法对应的控制律满足Lyapunov稳定性条件时,式(6)成立。
(6)
其中,表示LMPC当前时刻的输出,表示辅助控制器当前时刻的输出。那么,当第5个不等式约束被满足时,LMPC即可继承来自辅助控制器的稳定性保证。
Shen等[47-49]已将该方法成功应用于水下航行器、水面航行器等的轨迹跟踪与会合任务。针对受强扰动影响的动态系统,Xu等[50-51]将干扰预测算法或扩张状态观测器集成至LMPC算法,在标称模型之上施加收缩约束以保证闭环稳定性,显著提升了对时变扰动的抑制能力。对于含加性扰动与时变通信时延的多智能体系统,Su等[52]提出了基于Lyapunov终端集的分布式MPC控制器。面向具有非线性与不确定性的系统,Farbood等[53]从模糊控制视角出发,采用模糊Lyapunov函数并结合椭圆终端集与收缩约束,证明了递归可行性与渐近稳定性。在系统安全性方面,Wu等[54-56]将屏障函数与LMPC融合,统一了收敛性与安全集,进而在输入受限条件下同时实现安全稳定性与递归可行性。考虑经济型目标,Pan等[57]提出了适用于含时滞与外扰场景的多目标LMPC,并证明其在有限时间内可收敛至鲁棒不变集。在计算可实现性与工程应用方面,LMPC已用于感应电机[58]、交直流变换器[59]、多电平并网变换器[60-62]及整流器[63]等电力电子系统,以及船用吊臂起重机[64]、水下视觉伺服[65]和智能汽车转向系统等受约束强非线性对象[66-67]。
图5LMPC示意图
Fig.5Diagram of LMPC
2.3 切换模型预测控制
高速飞行器在执行任务时不可避免地会经历离散模式切换,例如发动机工作模式转换、飞行阶段变更以及包线保护触发等。不同的逻辑条件对应不同的工作模式。此类具有混合逻辑特征的动力系统推动了SMPC的发展:将切换信号视为高层控制决策,将各子系统视作不同的切换模式,见图6。在理论层面,Wang等[68-69]和Zhao等[70]围绕切换信号的时序约束构建了从驻留时间、平均驻留时间到持续驻留时间(persistent dwell time,PDT)的多层研究框架;给出了数据驱动SMPC的指数稳定性与迭代可行性结果;推导了自触发以及事件触发SMPC的渐近稳定性条件。Zhuang等[71]通过构造满足PDT的收缩终端集并引入历史约束,在切换序列与控制输入联合优化框架下保证了稳定性与迭代可行性。在复杂网络与不确定环境中,Tan等[72]结合管道收紧、离线最小模式驻留时间与不变集,使得即使存在异步切换乃至控制器间歇失效问题时,仍可确保一致渐近稳定性。针对T-S模糊系统,You等[73]证明齐次多项式与线性矩阵不等式(linear matrix inequality,LMI)的耦合可有效降低保守性并扩大吸引域。面向大规模网络化系统的切换时刻优化问题,Peng等[74]采用两级层次协调与实时补偿,以获得可在线实现的近最优切换时间序列。在批处理过程场景中,Ma等[75]将事件驱动的切换迭代学习MPC与预测补偿、二维神经网络结合,保证了对随机试验长度的概率收敛性;进一步地,Dong等[76]提出触发学习MPC,由性能指标触发按需学习机制,在资源受限条件下实现学习、优化的闭环控制。
图6SMPC示意图
Fig.6Diagram of SMPC
在工程应用方面,SMPC已在电力电子与驱动系统中得到广泛验证:固定开关频率的SMPC成功应用于并网逆变器的LCL滤波环节[77]、开关磁阻电机[78-79]、永磁同步电机[80]、三相电压源变换器[81]、三电平[82]]、五电平[83]以及交错式DC/DC变换器[84]等。此外,在铁路交通生态驾驶领域中,SMPC实现了舒适性、能效、排放与线路损耗之间的有效权衡[85-86];在风电系统中,SMPC结合差距度量与概率稳定性,实现了更优的能量捕获与功率平滑[87]。
2.4 显式模型预测控制
EMPC能够直接给出最优控制问题的显式解,通常在离线阶段计算完成,从而显著降低在线实施的计算负担、提升实时性。EMPC的研究脉络大体沿着从线性到非线性、从区域分割到区域近似、从静态显式到学习增强展开。对于带约束的线性系统,经典做法是通过将状态空间划分为多面体区域并计算分段仿射反馈以获得显式解。多面体区域划分的示例如图7所示,图中θ1、θ2、θ3表示系统抽象的无量纲状态变量。
图7EMPC区域划分示意图
Fig.7Diagram of EMPC′s regional division
不同于经典范式,Johansen等[88]基于正交搜索树构造近似反馈,将线性增长的查询复杂度降为对数增长,并证明了优化结果的次优性与系统的渐近稳定性。在有界加性扰动下,Gao等[89]给出了分段仿射的min-max EMPC控制律,并通过多面体锥划分实现快速在线评估。面向非仿射强耦合系统,Seo等[90]在多时间尺度框架下融合了EMPC、动态逆算法及高增益观测器,实现了在结构不确定与风场扰动条件下的鲁棒控制。Theunissen等[91-92]进一步利用对偶活性集方法,将区域近似的EMPC推广至分布参数系统。为缓解区域爆炸与存储瓶颈,Bayat等[93]提出了基于δ算子的多分辨率EMPC;Zeilinger等[94]通过构建显式在线混合框架,以分段仿射近似对活性集求解器进行预热,实现性能、存储与计算开销之间的可调折中。在显式近似计算领域,Chen等[95]采用反向传播网络与轻量级神经网络以极少参数量拟合万级规则,达成MHz级开关控制;Xiang等[96]结合注意力树搜索与双正向线性单元结构,降低在线计算量与内存占用量。Liu等[97]提出的递归MPC则将对显式求解器的学习转化为递归策略网络,可自适应选择预测步长以逼近最优解。在应用层面,EMPC已在多类工程对象上得到验证:电动汽车节能跟踪控制[98]、锂电池充电[99]、两级涡轮增压发动机[100]、磁驱柔性内窥镜[101]、永磁同步电机[102-104]、四旋翼飞行器[105]、并网储能变换系统[106]以及线控转向系统[107]等。
3 模型预测控制在飞行器系统中的应用
本节将系统归纳MPC算法框架在飞行器系统中的应用,梳理面向飞行器系统的MPC的算法框架。如图8所示,MPC的算法框架涉及RMPC、LMPC、SMPC以及EMPC,应用平台具体包括四旋翼无人机、直升机、固定翼飞行器以及高速飞行器。
图8MPC在飞行器系统中的应用
Fig.8Application of MPC in aircraft systems
3.1 四旋翼无人机
四旋翼无人机姿态控制的挑战主要源于飞行器的非线性动力学、外部扰动,以及实时计算的要求。为了应对这些问题,MPC作为一种先进的控制方法,凭借其能够进行未来状态预测和优化控制输入的优势,已广泛应用于四旋翼姿态控制中。近年来,研究者们通过不断创新和改进MPC,不仅提升了姿态控制的精度和鲁棒性,还在复杂任务环境下,如高速飞行、避障、多机协同飞行等,取得了显著进展,见表5。
在早期研究中,Yuan等[108]和Izadi等[109]开发了基于反馈线性化和多模型切换的控制策略,将非线性耦合项转化为线性化映射,从而把耦合姿态动力学解耦为可求解的线性MPC子问题,在保证稳定性的同时显著提升了实时运算频率,奠定了MPC在实际系统中应用的基础。
为增强控制系统在参数摄动与随机干扰下的稳定性,鲁棒性理论被系统性地集成至MPC框架。这包括采用H∞性能指标设计串级鲁棒MPC以抑制气流扰动[110],以及结合滑模控制理论与蒙特卡罗采样方法,以概率形式保证在模型失配下的性能边界[111]。与此同时,基于数据驱动的方法为模型不确定性提供了新的补偿途径[112]:利用神经网络学习未建模气动动力学[113]或采用高斯过程回归在线拟合扰动[114],能够在维持预测模型简洁性的前提下显著提升高速飞行等复杂工况下的控制精度。这些方法在理论上统一了模型优化与在线学习,并通过嵌入式平台上的实时化实现[115-117],证明了其工程可行性。
表5MPC在四旋翼无人机中的应用归纳
Tab.5Summary of MPC applications in quadrotors
在飞行控制的安全性与执行复杂任务方面,MPC的理论框架通过引入控制障碍函数(control barrier function,CBF)等工具得到了进一步拓展。通过将CBF与MPC优化问题结合,以约束形式严格保证了姿态控制中的状态与输入限制,实现了多机协同下的去中心化避障与安全飞行[118-121]。此外,针对着陆、跟踪等具有复杂几何与接触约束的任务,MPC作为路径跟随控制器,其显式处理多类约束的能力得以充分发挥[122-124]。当前的理论前沿致力于通过并行计算与优化算法加速(如GPU加速内点法[125]、预条件共轭梯度法[126-127]),从根本上降低非线性MPC的求解复杂度,推动其在资源受限平台上的全面部署,从而在理论上实现最优性、鲁棒性、安全性与实时性的统一。
四旋翼姿态控制的研究已从传统的MPC方法逐步发展到包含鲁棒控制、数据驱动方法、机器学习以及安全控制等多种先进技术的综合应用。针对不同任务环境,如高速飞行、避障、多机协同飞行等,研究者们提出了许多创新的控制方案,以提高控制精度、增强鲁棒性并确保安全性。尤其是RMPC和数据驱动MPC,凭借其强大的适应性和鲁棒性,在复杂环境中展现了优异的性能。此外,实时计算的优化方案使得MPC能够在资源受限的嵌入式平台上高效运行,满足了四旋翼在动态和复杂环境下的实时控制需求。
3.2 直升机
直升机的姿态跟踪控制是一个具有欠驱动、强耦合及强外部干扰的典型非线性控制问题,其理论研究的核心在于如何设计具备高精度、强鲁棒性及实时计算能力的控制算法。MPC因其处理多变量约束与进行优化前馈的天然优势,成为该领域的主流理论框架之一,代表性成果见表6。早期研究聚焦于解决稳态跟踪中的偏差问题:Chen等[128]通过将输入、输出与状态合并为决策变量,在可达稳态流形上进行优化,从理论上避免了因配平未知导致的稳态偏移;Ebirim等[129]则进一步将积分作用与偏置模型纳入MPC框架,通过构造零稳态误差约束,从优化问题层面保证了设定点跟踪的渐近稳定性[130]。这些工作为MPC在直升机系统上的应用奠定了基本的稳定性与可行性理论基础。
为应对未知气流扰动与模型不确定性,鲁棒性与稳定性理论被系统地融入MPC设计。Li等[131]采用事件触发机制与动态调整惩罚矩阵的策略,为飞行阶段自适应跟踪提供了稳定性论证;Di等[132]提出了基于积分滑模的管道MPC,其理论贡献在于通过辅助控制器构造一个鲁棒不变集,将系统轨迹严格约束于参考轨迹邻域内,从而兼顾最优性与抗扰性;Bui等[133]则引入由滑模控制导出的Lyapunov函数作为MPC的收缩约束,从理论上保证了非线性MPC的迭代可行性与闭环稳定性。这些方法共同构成了针对强干扰环境的、具有严格稳定性保证的鲁棒预测控制理论体系。
表6MPC在直升机中的应用归纳
Tab.6Summary of MPC applications in helicopters
面向着舰、平稳降落等具有复杂时变约束的高动态任务,MPC的理论框架在任务适应性及计算可行性方面持续深化。Ngo等[134]通过设计可变预测域与终端约束框架,在分层控制结构中从理论上保证了任务全程的可行性与安全裕度。在计算实时性方面,理论进展体现为对优化问题本身的高效参数化与近似:Rohal′-Ilkiv等[135]采用B样条基函数对连续时间MPC进行有限维参数化,显著降低了在线求解复杂度;Dutta等[136]则通过设计自适应EMPC,在存在扰动补偿与模型切换的情况下,严格证明了算法的迭代可行性与闭环稳定性。这些理论研究共同推动了MPC从一种优化控制方法,向能够应用于直升机高动态、强约束复杂飞行任务的实时可靠控制系统的演进。
基于MPC的控制方案,通过对飞行系统的精确建模和对未来行为的优化预测,能够有效应对直升机在复杂环境中的姿态跟踪问题。在面对外部扰动和系统不确定性时,RMPC和Lyapunov约束方法能够确保系统的稳定性和跟踪精度。此外,针对复杂飞行任务,如平稳降落、着舰、避障等,研究者们提出了不同的改进方案,使得直升机能够在动态变化的环境中执行高精度任务。
3.3 固定翼飞行器
固定翼飞行器的姿态控制面临着大角度机动、输入饱和及强非线性约束等挑战,传统线性控制在应对这些复杂工况时存在理论局限性。MPC通过其显式处理约束与多步优化的理论框架,为此提供了系统的解决方案,其核心理论发展集中于非线性系统的稳定性、鲁棒性保障以及实时计算实现,代表性成果见表7。早期研究致力于解决非线性MPC在大角度偏离配平点时的数值可行性与稳定性问题,如Reinhardt等[137]通过将姿态目标设定于输出子空间以构造具有唯一极小值的二次型代价,从优化问题本身提升了算法的数值鲁棒性。针对模型不确定性及持续外部扰动(如结冰导致的空气动力变化),理论上的进展体现在干扰观测器与约束收紧、终端集的结合,在保证迭代可行性的前提下,严格提升了系统的鲁棒性[138]。
在复杂任务环境(如避障、强风扰)下,MPC的理论框架通过与现代鲁棒控制及安全控制工具深度集成而得到扩展。为同时保证路径跟踪的稳定性与避障的安全性,Guevara等[139]将控制Lyapunov函数(control Lyapunov function,CLF)与CBF以约束形式集成至MPC优化问题,从理论上统一了渐进稳定性与安全性的保证。此外,面对复杂气流环境,Gryte等[140-141]通过将包含相对速度、攻角等关键变量的高保真风场模型嵌入非线性MPC预测模型,在理论上实现了对空气动力约束的显式管理与抗扰能力的本质提升。
为确保理论算法在资源有限平台上的部署可行性,计算复杂度成为MPC理论研究的关键维度。研究者们从优化问题的结构与求解算法层面进行创新:Reinhardt等[142]通过在执行器层面直接设计MPC并利用系统动力学进行结构化分解,显著降低了在线优化的决策变量维度与计算负担;Wang等[143]则提出了一种基于离散轨迹管道的快速RMPC框架,通过并行化求解技术兼顾了有界扰动下的鲁棒性保证与高控制频率的实时性要求。这些工作共同推动了非线性MPC从一种理论上的最优控制方法,向能够应用于固定翼飞行器大动态、强约束、强干扰飞行场景的实时可靠控制系统的演进。
表7MPC在固定翼飞行器中的应用归纳
Tab.7Summary of MPC applications in fixed-wing aircraft
综上,非线性MPC通过引入风场模型、干扰观测器、Lyapunov稳定性约束等技术,增强了飞行器在非线性、外部干扰环境下的鲁棒性和适应性。同时,为了提高计算效率,研究者们通过优化计算方法、引入结构化分解和并行计算等策略,进一步提升了MPC在实时控制中的应用性。
3.4 高速飞行器
高速飞行器的姿态与轨迹控制面临强非线性、多物理场耦合及严苛状态约束的复杂控制问题,其理论挑战核心在于如何在有限计算时间内协调鲁棒性、最优性与实时性。MPC凭借其显式处理约束与滚动优化的框架,成为应对该问题的重要理论途径,代表性成果见表8。在姿态控制层面,理论研究聚焦于约束管理、鲁棒增强与实时求解:殷舒楠等[144]通过将过程约束与增量惩罚嵌入优化问题,并结合轨迹误差热启动,从算法层面保证了指令平滑与约束满足;针对执行器故障等结构化不确定性,米涵芃等[145]采用管道MPC方法,并利用LMI构造比例缩放不变集,在理论上实现了容错控制中性能与保守性的权衡;为进一步协调控制结构,谭天乐等[146]将反步法与MPC结合,前者提供可实现的姿态指令,后者在线补偿模型误差,形成了分层控制的稳定性理论框架。
表8MPC在高速飞行器中的应用归纳
Tab.8Summary of MPC applications in high-speed aircraft
为适应高速飞行中的时变动力学与实时性要求,MPC的理论发展进一步与自适应学习及高效计算融合。葛健豪等[147]利用近端策略优化实现MPC参数在线自适应调整,在保证精度的同时降低计算开销;孙启超等[148]通过序列二次规划与块压缩并行化,结合长时域分解与联合热启动策略,显著提升了非线性MPC的求解速度,满足了再入段等高动态过程的实时性需求。在模型不确定性处理方面,何涛等[149]借助Koopman算子与自编码器获取线性标称模型,以数据驱动方式增强跟踪鲁棒性;李硕等[150]则将固定时间收敛理论与MPC结合,从理论上保证气动摄动下姿态系统的收敛时间上界。
在轨迹规划领域,MPC的理论进展体现为对非凸、高维优化问题的可解性与鲁棒性保证。针对无动力滑翔与再入段轨迹规划,方正等[151-152]通过离散化、凸化及信赖域方法,并引入终端约束松弛,从优化理论层面保证了问题的在线可解性与鲁棒收敛性。王吉瑞等[153]采用序列凸优化获得满足终端约束的节能弹道,并通过线性控制器跟踪,实现了规划与跟踪的解耦设计。为克服初值敏感性与局部最优难题,张笑妍等[154-155]提出了全局启发与局部伪谱的混合框架,上层利用利希滕贝格图进行自适应分段搜索以生成高质量初值,下层采用自适应伪谱法进行邻域精化,在理论上兼顾了全局探索与局部优化效率。面向多机协同与多约束任务,张远龙等[156]通过构造多阶段模型与终端构形约束,实现了协同轨迹的分段最优设计;黄迅等[157]进一步引入自适应伪谱策略处理油量、动压与控制饱和等工程约束,保证了爬升过程的稳定性与可控性;严苏豫等[158]则对时间与燃料的权衡进行了理论优化。此外,为强化跟踪环的扰动抑制能力,唐伟强等[159]将改进扩张状态观测器与预测函数控制结合,通过扰动估计校正模型并以小波基参数化控制量,完成了约束下的高精度高度跟踪。这些理论研究共同推动了MPC从离线优化工具向能够适应高速飞行器严苛动态与实时要求的一体化控制与规划系统的演进。
4 总结与展望
MPC及其在飞行器系统中的应用一直是一个研究的热点问题。随着新型飞行器的不断研发,围绕飞行器系统的MPC研究热度将持续不减,必将催生更多的研究课题。当前,面向低速飞行器的MPC已经相对成熟,然而,适用于高速飞行器的MPC仍有待进一步研究和发展。高速飞行器是一类典型的耦合混杂系统,其飞行工况横跨亚声速至超声速。高速飞行器必须在高马赫数范围内跨多个飞行阶段并实现平稳过渡,如助推、加速、巡航、再入等。面向不同的飞行任务以及多个阶段,发动机存在多个推力模式,整个飞行任务过程中不可避免地会发生离散的工作模式切换;高速飞行器跨越马赫数飞行时气动环境剧烈变化,气动特性与发动机推力之间相互交织影响,气动、推进耦合效应同样不可忽视。
在高速飞行过程中,飞行器的控制任务需要更加精细的轨迹跟踪与姿态控制,这要求MPC算法在保证精度的同时,具备快速收敛和实时优化的能力,现有方法通常在以下方面仍显不足。
1)多物理场耦合与高效建模。为了克服气动、推进耦合和多物理场耦合带来的挑战,未来的MPC方法需要在气动模型、推进系统与飞行器动力学模型之间实现更加精确的耦合。数据驱动方法可以为MPC提供更高效的近似模型,帮助在复杂的飞行环境中快速计算控制策略。
2)SMPC与多阶段任务规划。针对多飞行模式切换的问题,未来的MPC方法应当采用SMPC结构,能够有效地处理飞行器在各个飞行阶段之间的模式切换。这种算法需要实现平滑过渡,同时保证在切换过程中飞行器状态不违反约束。
3)RMPC与不确定性处理。由于高速飞行器面临多种外部扰动和系统不确定性,未来的MPC算法需要强化对不确定性和扰动的鲁棒性。不变集理论和Lyapunov稳定性理论的结合将进一步加强飞行器的稳定性保证,使其即使在复杂外部扰动和不确定性下,也能保持稳定运行。
4)计算效率与实时优化。在计算效率和实时性方面,未来的MPC方法应当探索GPU加速和并行计算的应用,进一步提高在线优化的速度。同时,借助EMPC和快速优化算法,可以将传统的MPC优化问题简化为更易计算的形式,从而减少每次优化求解的时间。在多阶段飞行任务中,采用分段优化或多阶段离线计算方案,可以显著减少实时计算负担,提高控制系统的响应速度。
5)数据驱动与自适应MPC。随着飞行器技术和控制系统的不断发展,越来越多的数据驱动方法进入MPC研究领域。通过神经网络、深度学习、强化学习等技术,MPC能够更好地应对高维复杂问题,实现动态优化和自适应调参。例如,利用飞行数据训练的神经网络替代传统的物理模型,能够在复杂环境中实现高精度预测,并提高模型的泛化能力。这种基于数据驱动的MPC方法,能够进一步降低建模复杂度和计算资源消耗,并且增强对动态扰动和系统不确定性的适应能力。
面向高速飞行器的控制问题,当前MPC理论与实际控制问题之间仍存在显著差距,因此,统一的模型预测控制框架亟待突破,RMPC、LMPC、SMPC以及EMPC等多种算法需要进一步深度融合,并要提出创新性解决方案来填补理想性能目标与实际可实现范围之间的鸿沟。针对高速飞行器跨、超声速飞行过程中的控制问题展开研究,如何构建在跨、超声速工况下的多物理场耦合模型;如何设计性能保证型控制策略,以可计算形式确保飞行器始终处于可操作安全域,保持稳定运行;如何实现高速飞行器在不同飞行模式下的安全切换,给出切换稳定的充分条件,保证切换过程的递归可行与稳定收敛,是后续有待进一步研究的关键科学问题。




