摘要
聚集器是一类基于坐标变换热传导、等效介质与散射相消理论,通过调控热导率分布或几何构型,将大尺度热流高效汇聚至局部区域,实现稳态与瞬态热输运精准调控的热功能器件。随着材料科学与先进制造的发展,相关研究正从理论模型走向工程实现,并在微电子散热、热电能量采集、能源加热与热疗等领域展现出应用潜力。围绕热聚集器的物理机制、结构设计与实现路径,系统梳理其发展脉络与代表性工作,比较不同理论框架与构型方案的适用条件与性能特征,并结合典型应用分析其技术优势与工程可行性,进一步展望其在复杂几何、多尺度体系、新型能源系统及极端热环境调控中的发展趋势。
Abstract
A thermal concentrator is a thermal functional device based on transformation thermotics, effective-medium theory, and scattering-cancellation principles. By tailoring the spatial distribution of thermal conductivity or geometric configurations, it efficiently concentrates large-scale heat flux into localized regions, enabling precise control of both steady-state and transient heat transport. With advances in materials science and manufacturing technologies, research on the thermal concentrator is moving from theoretical models toward engineering implementation, and it shows application potential in microelectronic cooling, thermoelectric energy harvesting, energy heating, and thermal therapy. The physical mechanisms, structural designs, and implementation pathways of the thermal concentrator were systematically reviewed, summarized its development and representative works, compared the applicability and performance characteristics of different theoretical frameworks and configurations, and analyzed its technical advantages and engineering feasibility in typical application scenarios. Finally, future trends of the thermal concentrator were discussed, including extensions to complex geometries, multiscale systems, emerging energy platforms, and extreme thermal environments.
热聚集器作为热超构材料领域的重要组成部分,已经成为研究热流操控技术的一个关键方向[1-5]。通过调控热导率分布或结构几何形状,热聚集器能够高效地引导和集中热流,具备在特定区域实现局部温差优化的潜力。在热超构材料的框架下,热聚集器不仅能够提供精准的热流操控,还在提高热能利用效率、实现空间热管理和热电转换等方面展现出了重要应用价值[6-8]。这使得热聚集器在微电子散热、能源回收、热电材料等领域,成为实现高效热能控制的核心技术之一。
尽管热聚集器在多个领域展示了其独特的优势,现有的研究仍面临许多挑战。从理论研究到实际应用的过渡中,材料选择、设计方法以及制造技术的限制都成为其进一步发展的瓶颈。尤其在不同几何构型、空间维度的复杂系统中,如何实现更高效、更稳定的热流聚集,以及如何在动态热环境下优化聚集器的性能,仍然是亟待解决的问题。此外,随着新型能源系统和热窒息技术的兴起,热聚集器的多功能集成和智能化控制也为未来研究提出了新的方向和挑战。
本文旨在综述热聚集器截至目前的研究进展。主要回顾其从理论研究到工程实践的发展历程,并对未来研究做了展望。
1 热聚集器基础
热聚集器的研究起源于热超构材料的提出。2008年,Fan等[1]首次将电磁隐身斗篷的概念引入热学领域,理论预言了热隐身斗篷。如图1所示,通过借鉴变换光学理论,他们提出变换热学理论,预言了热隐身斗篷:其可以保护内部的物体免受外界的热干扰,且不对外界产生任何的扰动,就好像其内部物体不存在一样。他们进一步在该系统中预言了热流反转的现象,这和传统“热往低温流”的观点截然不同,并基于此提出了表观负热导率的概念。相关研究成果对以下领域有潜在应用:热保护、欺骗红外探测、精确控温等。热斗篷的提出为热超构材料的发展奠定了坚实的基础。尤其是所涉及的变换热学理论,成为后续诸多具备不同功能器件(例如热聚集器)的研究基础。热聚集器的典型特点是能够在保持背景温度梯度不变的基础上增加中心区域的温度梯度。
2011年,基于变换热学理论,研究人员根据稳态热传导方程在不同坐标系中的不变对称性,成功设计了方形热聚焦器[9]。如图2所示,通过坐标变换方法,在变换区域内引入非均匀且各向异性的热导率,可实现对热流的聚焦功能。研究者进行了二维有限元模拟,以验证理论结果。在该工作中,研究人员指出热聚焦器可以贴附在太阳能电池板上,从而提高太阳能利用效率,这为热聚集器在应用层面的研究奠定了相应的基础。而且随着聚集器理论研究的推进,如何从实验上直接对热聚集器进行验证也成为研究人员关注的重点。
在热聚集器的基本理论建立不久,2012年,美国哈佛大学Narayana和Sato首次制备出了真正意义上的热聚集器[10]。如图3所示,利用两种热导率不同的同心均匀材料从内向外交替叠加,根据有效媒质理论,此时的径向和切向热导率分别满足不同的有效热导率近似方程,即径向可看作两种热导率的串联,而切向则可看作两种热导率的并联,从而实现不同方向上热导率的区分,获得等效的各向异性热导率。基于这种方法,他们成功克服了超构材料需要热导率各向异性的要求,利用均匀的各向同性材料,仅仅在材料空间排布上进行了精心设计,便制备出热聚集器。值得注意的是,尽管在该工作中对于热聚集器的研究已延伸至实验层面,但此时研究人员仍旧将研究重点局限于稳态情形,更复杂的瞬态情形则还未被触及。
2016年,研究者们将温度依赖型变换热学理论扩展到了非稳态情况,并考虑了瞬态热传导方程。在此基础上,他们提出了一种可切换的聚集器[11]。如图4所示,当环境温度低于(或高于)某个临界温度时,该集中器可作为普通的热集中器运行;而当环境温度高于(或低于)该临界温度时,它能够自动关闭。通过随时间变化的数值模拟研究表明,在瞬态热集中的情况下,对密度和热容的要求可以通过保持其原始值来近似满足,从而避免对装置外部温度场产生显著畸变。此外,研究团队利用有效介质理论构建了一种由均匀各向同性材料组装而成的结构,实现了可切换的热集中效应。研究结果表明,该装置可以通过采用热导率对温度敏感的材料进行制备并通过实验进行功能验证。进一步的定量分析表明,在不同温度场下,该可切换热集中器的内部温度梯度发生显著变化。基于非线性理论和有效介质理论的计算结果均显示,在临界温度附近,温度梯度急剧下降,表明该装置对环境温度变化具有快速响应能力。而随着热超构的迅速发展,研究人员注意到具备单功能的器件已经无法满足复杂的现实应用场景需求,这也促使研究者逐渐将注意力转移到多功能器件的研究。
在同一年,有研究者提出了一种用于多功能热传输的宏观变换理论,并基于该理论引入了智能热超材料的概念[12]。如图5所示,不同于传统的变换映射理论通常仅赋予装置单一功能,他们提出的多功能变换热传输理论为设计具备多重功能的单一装置提供了可行方案。该概念使得特定区域的热流梯度能够随环境温度变化而自动调节。
作为一种模型应用,该概念有助于在外加温度变化时非侵入式地切换热电效应,从而实现可切换热电效应。由于外部温度分布不会受到干扰,智能热超材料还可作为大型设备或建筑结构中的组成部分,而不会对整体环境造成影响。而且研究团队通过实验验证了智能热超材料的概念,所使用的材料仅包括均匀各向同性材料和形状记忆合金,且所有材料均为市售材料,使该设计易于应用于实际技术。此外,由于控制方程的相似性,该理论研究可进一步推广至光学、电磁学、声学和弹性动力学等学科,以实现相应的智能多功能热超材料的等效设计。
在2019年之前,关于热聚集器的研究仍基于变换理论,基于变换理论的设计往往伴随着对材料热导率各向异性的严苛要求,从而为实际制作增加诸多挑战。但研究者在2019年提出了基于直接求解稳态热传导方程的热聚集器设计,各向异性的问题也因此得到了完美解决[13]。相比之前的设计,该工作所利用的方法不仅更容易理解,同时由于对材料的热导率要求只需各向同性即可,这也为生产制备环节带来不少便利。
考虑到现实的热传递过程不仅仅涉及固态物质,也会涉及流体,研究人员开始将目光聚焦到固液耦合情形下的热聚集器设计。2023年,在之前研究的基础上,研究者们提出了一种基于热传导与热对流协同变换的连续可调液-固混合热超材料的实现方法[14]。如图6所示,利用这一方法,他们在实验中构建了一种基于液-固混合热超材料的元器件,该器件能够通过可控的流体动力学实现热隐身与热集中之间的连续切换。这种切换对应于虚拟空间中的拓扑转换。该液-固混合热元器件的一大显著特点在于,其中心区域的热流可以从接近零连续调节至极高的数值。而这一显著的调控能力是在不干扰背景温度场的情况下实现的,展现出了传统热超材料无法达到的卓越热操控能力。液-固混合热超材料在多个领域具有重要的应用价值,例如热隐身与热伪装、电子设备的散热与热管理、可持续基础设施,以及智能材料和机器中的智能热控制。
近年来,人工智能与大数据领域得到了飞速发展。这无疑为研究人员从不同层面实现智能热超材料提供了契机。在2024年,研究者们提出了一种由深度学习算法驱动的热增强型热扩散超材料[15],该算法无须人工干预。如图7所示,作为概念验证,他们展示了基于预训练人工神经网络,在环境温度变化时智能调节双层结构中旋转部件(由聚二甲基硅氧烷(polydimethylsiloxane,PDMS)制成)的有效热导率。在算法实现方面,该方法将双层结构外轮廓上离散位置的温度(即环境温度)作为输入数据,然后,预训练的人工神经网络输出PDMS旋转速度ω1,从而调整其有效热导率,并改变核心区域的温度梯度分布。在硬件实现方面,研究团队将预训练的人工神经网络集成到树莓派微型计算机,一端连接微型红外摄像机以检测环境温度并提供输入数据,另一端连接步进电机驱动器,以控制电机的ω2,驱动PDMS旋转。有限元模拟和实验均验证了该热增强型热扩散超材料的有效性,并表明其对外部热场方向具有较强的鲁棒性。值得一提的是,自适应或主动调节的器件可应用于两类典型场景。第一类是确保设备在变化环境中保持稳定功能,例如研究团队设计的热信号调制器。第二类是设备能够根据环境变化智能选择其功能。为了验证这一点,研究者们设计了一种智能热电发电机,该装置可根据环境变化调整自身功能。
2 热聚集器应用
前文主要关注了热聚集器研究在理论层面的发展,从最初基于变换理论设计的提出一直到最近基于深度学习实现智能热聚集器。而对于热聚集器研究的另一重要方面则是应用领域。对于热聚集器应用的研究可追溯到2013年,研究人员展示了一种三维热单元,该单元在具有恒定热导率的情况下几乎完美地实现了热集中,这大大简化了其实验实现和制造过程[16]。如图8所示,该热单元的热集中性能主要受其组成材料的热传导各向异性控制,而这种各向异性可以通过周期性交替排列两种具有各向同性热导率的天然材料轻松构建。
特别值得注意的是,该热集中的效率与集中器的几何尺寸无关,并且通过合理选择天然材料,可以实现接近100%的效率,这是以往研究中的热集中器件所未能达到的。该先进的热单元由非常简单的材料组成,具有广阔的应用前景,例如用于太阳能热面板等设备。
而在2014年,研究人员在应用方面提出了利用热聚集器在不同领域实现局部加热的想法,如图9所示。例如,在电子封装领域,可以利用局部加热以避免加热某些对温度较为敏感的部件或者印刷电路板的翘曲[17]。
在一般的热聚集器研究中,器件的设计往往受限于结构的单通道特性,这里的单通道特性意味着结构上每一点的热流只有一个方向,也正因为此,当对材料热导率要求较高时,比如要求热导率超过1 000 W·m-1·K-1时,这给聚集器的设计带来了不少挑战。最近,研究者们受到古生物剑龙背板的温度调节机制启发,构建了具有扩展平面结构的双层热梯度调节器理论,并探讨了其在热电转换效率增强方面的应用[18]。
如图10所示,研究者们通过实验验证了扩展平面结构实现热聚集器的有效性。通过合理的参数选择并结合机械加工,研究者制造出了相应的样品,并在实验室中将样品放置在冷热水槽之间,待体系达到稳定状态后利用红外热像仪对样品表面进行温度数据采集。实验数据后处理证实,样品在背景与中心区域的温度梯度保持均匀,同时中心区域温度梯度明显高于背景。
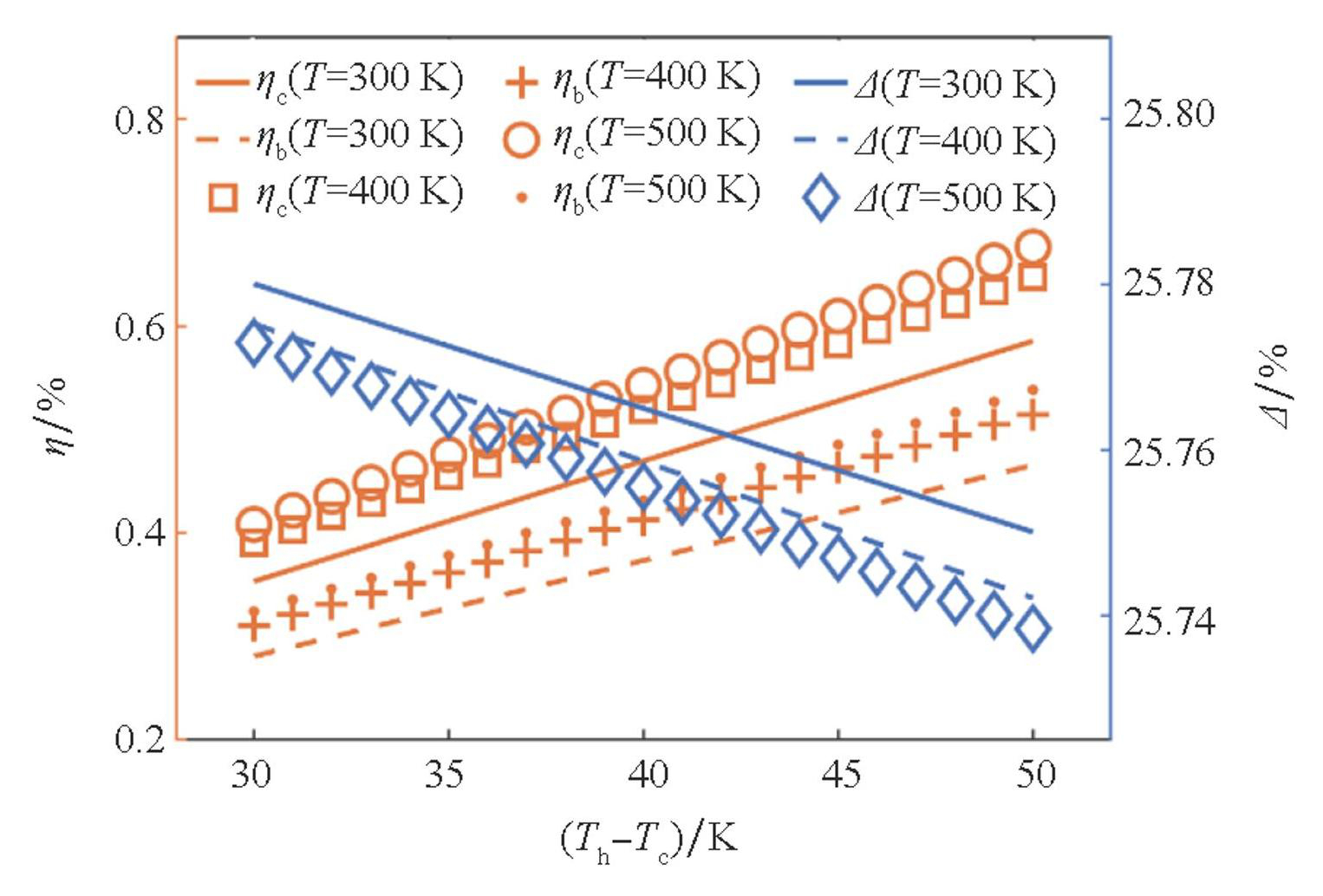
为了说明聚集器对于热电转换效率的提升,研究者依据热电转换效率理论计算了在不同平均温度下,当热电片分别位于聚集器中心区域和对应背景区域时的热电转换效率ηc和ηb,并关注了效率提升Δ与冷热源温差Th-Tc之间的关系,如图11所示。计算结果表明,在不同冷热源温差下,当热电片位于中心时,其热电转换效率相比位于背景时有着明显提高,在研究者所考虑的参数范围内,效率提升接近25.8%。
Fig.11Theoretical results of thermoelectric conversion efficiency improvement via expanded-plane thermal concentrator[18]
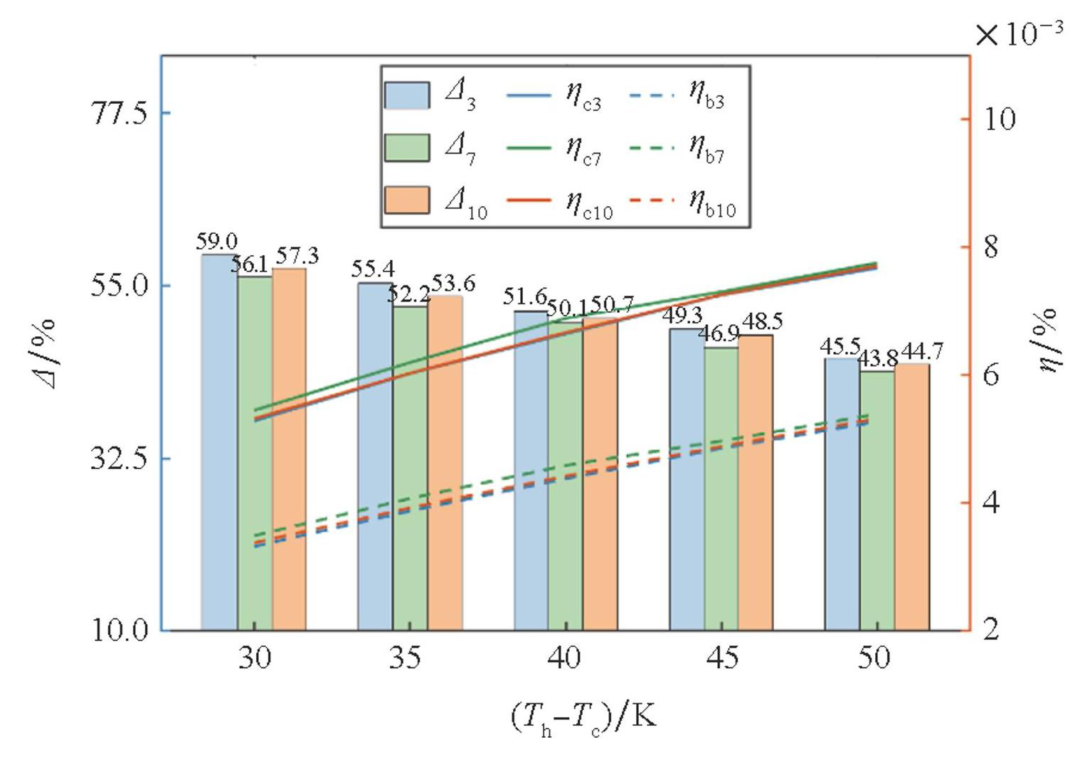
进一步,如图12所示,研究人员通过测量在不同冷热源温差下热电片两端接入不同电阻负载(R=3 Ω,7 Ω,10 Ω)时的输出电压,从而计算了输出功率,其中,各变量下标“3”“7”“10”代表外接电阻值。此外,研究者测量了不同情形下的输入热流。基于此,最终得到了在不同情形下的热电转换效率以及对应的效率提升。实验结果表明,随着温差的增大,在固定外接电阻时,热电片不论位于中心还是背景区域,热电转换效率始终呈现上升趋势,但中心区域的效率始终高于背景。这直接从实验上证实了热聚集器能提升热电转换效率。而且,实验测得的效率提升最高可达59.0%。这一结果在无须额外能量消耗的热电转换领域取得了重要突破。其中,“无须能量消耗”指的是该方法能够完全利用废热直接产生电能,而不同于需要额外非热能源的转换技术。此外,研究成果不仅为多功能扩展平面超材料器件的进一步探索奠定了基础,同时也为热管理领域的重大进展提供了新的可能,如图13所示。
Fig.12Experimental results of thermoelectric conversion efficiency improvement via thermal concentrator[18]
3 热聚集器研究未来展望
截至目前,关于热聚集器的研究已经历了近15年的飞速发展。不论在理论层面,还是在实验层面,抑或是在应用方面,皆取得了较多研究成果。但对于热聚集器的研究仍然有不少问题有待解决。比如在热电技术中,温差是驱动电压产生的关键因素,因此如何在热电材料两端建立更大的温差,成为提升热电转换效率的核心问题。热聚集器通过对热流路径的精准控制,将广泛分布的热量有效地聚焦于热电器件的热端,使热端温度显著升高,从而扩大热端与冷端之间的温差,提高塞贝克效应驱动电压。同时,热聚集器可通过结构设计减少热量在非功能区域的扩散,避免热损失,提高整体热流利用效率。此外,热聚集器还可结合各向异性导热材料或多层结构,构建兼具热集中与绝热功能的集成系统,为微型热电发电器、可穿戴能源装置、废热回收系统等提供更加紧凑高效的热管理解决方案。未来,热聚集器与热电材料的协同设计,将为低热源环境下的能量采集与智能热控提供新路径。
随着热功能器件的发展,热聚集器已成为精准热管理与热能利用中的关键技术之一。传统热聚集器多以圆形或径向对称结构为主,但在实际工程应用中,中心目标区域往往呈方形或矩形,如芯片、电池单元、微结构器件等。因此,针对中心区域为方形的热聚集器进行研究,将更具工程适应性。未来可通过非共形映射、坐标变换优化或各向异性材料设计,实现热流在规则多边形区域内的高效聚焦与均匀分布,提升热能利用效率与局部温控能力[19-24]。最近,研究人员基于一种称为离散-聚合的策略,设计了任意形状的多物理场超材料,并针对电场和热场并存的情形,实现了温度场的聚集效应[25]。该工作所利用的设计方法对不同几何结构的热聚集器研究具有非常重要的作用。同样地,针对任意形状热聚集器的研究,最近研究人员发展了一套更直接且更高效的设计框架,该框架利用最佳多秩层压材料为设计任意形状的热聚集器提供了解决方案。且在该研究工作中,研究人员不仅从模拟方面验证了该设计框架的有效性,而且利用3D打印技术完成了具体的实验样品设计并通过实验对样品进行了进一步的验证[26]。该项研究工作也将为任意几何结构的热聚集器设计提供新的思路。
与此同时,实际热传导过程本质上是三维问题,二维热聚集器在建模与实验中存在一定理想化限制。针对三维热聚集器的研究将成为未来的重点发展方向,可结合三维坐标变换热传导理论、3D打印功能梯度材料、空间异构导热结构等,构建出能够在立体空间内聚焦热流的装置,用于微电子散热、3D芯片热管理、立体封装系统等应用场景。此外,三维热聚集器的设计与仿真也将对数值计算方法提出更高要求,未来可与人工智能辅助设计、机器学习优化热路径等先进技术相结合,推动其在智能热调控与多场耦合系统中的实用化进程[27-28]。
热窒息是一种热流密度高度集中而导致局部热量无法有效扩散的现象,可引发温度急剧升高和系统失效。基于这一原理,热聚集器可以被设计为一种非传统的打击手段,应用于军事场景中。例如,可通过引导环境热源或定向能量(如激光、微波)聚焦于敌方电子设备或封闭空间内,造成局部热窒息,从而使设备失效或人员丧失作战能力。在地下通道、掩体等狭小空间中,这种方式尤其有效,能够引发高温、缺氧、热压等致命因素,逼迫敌人撤离。该技术具备非接触、隐蔽性强的优势,未来有望在微型热打击、电子对抗及无人作战系统中发挥作用。
热聚集器通过精确引导和集中热流,可高效用于石油融化等工业场景,特别适合应对石油在寒冷环境中因温度降低而凝固或黏度升高的问题。在原油管道中,热聚集器可将外部热源(如蒸汽或电热)高效聚焦于堵塞区域,实现快速解堵;在油田井筒中,可用于融化石蜡沉积物,提升采油效率;在海上泄漏事故中,也可辅助融化寒冷区域形成的油冻,加快清理进程。与传统加热方式相比,热聚集器具有能耗低、加热效率高、结构兼容性强等优势,未来可在石油开采、输送及环保等领域发挥重要作用。
4 总结
经历了近15年的时间,热聚集器的研究已经取得了快速发展。从最初的基础理论研究到实验研究,再到应用层面,热聚集的研究由点到面发生了重要变化。本文按照时间线系统地回顾了热聚集器从基础理论到应用层面的研究进展,从初期的坐标变换热传导理论和等效介质方法的提出,到后续在散射相消理论的基础上逐步发展出的结构优化设计,热聚集器的理论框架和设计理念不断完善,推动了其在各类实际应用中的探索。尤其在微电子散热、热电能量采集等领域,热聚集器展现出了巨大的潜力。
随着材料科学和制造技术的飞速发展,热聚集器的工程化应用逐渐走向成熟,相关技术不断突破,为其更广泛的实际应用奠定了基础。尽管在多样化的几何构型和复杂的工作环境下,热聚集器的设计和控制仍面临一定的挑战,但其未来在新型能源系统、空间热管理及热窒息等领域的应用前景广阔。未来的研究应进一步优化聚集器的性能,提升其在不同条件下的适应性,并结合智能化技术,推动热聚集器向更加高效、精准的方向发展[29-34]。
致谢
本工作是在中国工程物理研究院研究生院须留钧博士的帮助下完成的,特此致谢!




