2025, 47(2):1-23. DOI: 10.11887/j.cn.202502001
摘要:随着制造业的蓬勃发展,环境污染和资源短缺等问题逐渐凸显,严重影响了社会的可持续发展。因此,制造业节能减排转型是全球绿色低碳发展的必然要求。而生产调度作为制造系统中最重要的环节之一,可通过资源的合理分配来实现制造系统运行的高效化和绿色化。在绿色制造的背景下,车间绿色调度已成为生产调度领域的研究热点。为此,拟从并行机绿色调度问题、流水车间绿色调度问题、作业车间绿色调度问题、柔性作业车间绿色调度问题以及分布式车间绿色调度问题多个方面,对2018年至今的研究成果进行系统性的综述,总结现有研究的不足,指出未来的研究方向。
2025, 47(2):24-34. DOI: 10.11887/j.cn.202502002
摘要:在拆解序列规划问题中,为了提高拆解效率、降低拆解能耗,引入了机器人并行拆解模式,构建了机器人并行拆解序列规划模型,并设计了基于强化学习的遗传算法。为了验证模型的正确性,构造了混合整数线性规划模型。算法构造了基于目标导向的编解码策略,以提高初始解的质量;采用Q学习来选择算法迭代过程中的最佳交叉策略和变异策略,以增强算法的自适应能力。在一个34项任务的发动机拆解案例中,通过与四种经典多目标算法对比,验证了所提算法的优越性;分析所得拆解方案,结果表明机器人并行拆解模式可以有效缩短完工时间,并降低拆解能耗。
2025, 47(2):35-48. DOI: 10.11887/j.cn.202502003
摘要:目前主流优化方法通常将云工作流调度建模为单目标或者不超过三个目标的多目标优化问题,未能充分考虑实际应用场景需求。为克服传统方法局限性,将云工作流调度问题直接建模为涉及时间、费用、可靠性、资源消耗度、负载均衡等众多指标的超多目标优化问题,并针对该问题提出一种改进协同演化算法,利用双阶段策略和多性能指标协同机制有效地平衡解集的收敛性和多样性,提升算法寻优能力。在七类真实工作流实例上的实验表明,所提方法相比现有算法在大多数情况下可找到更好的调度方案。
2025, 47(2):49-59. DOI: 10.11887/j.cn.202502004
摘要:针对深度强化学习在柔性作业车间调度问题上泛化能力不足的问题,提出结合课程学习和深度强化学习的方法。通过动态调整训练实例难度,重点增强最难实例的训练,以适应不同数据分布,避免学习过程中的遗忘问题。仿真测试结果表明,算法在未经训练的大规模问题和基准数据集上保持了不错的性能。在2种人造分布的4个未训练大规模问题上取得了更好的性能表现。相较于精确方法和元启发式方法,对于计算量较大的问题实例,能快速地获得质量不错的解。同时算法可以适应不同的数据分布的柔性作业车间调度问题,具有较快收敛速度和较好泛化能力。
2025, 47(2):60-67. DOI: 10.11887/j.cn.202502005
摘要:针对运载火箭姿态控制系统结构复杂、故障高发的问题,提出一种基于多模型的故障检测与隔离算法。建立运载火箭小偏差姿态动力学模型,设计系统的卡尔曼滤波器;结合专用观测器思想,利用多个不同结构的卡尔曼滤波器组生成对应残差,使得单个残差仅对于传感器或执行机构的某一故障敏感,并通过理论推导了故障隔离策略,以实现运载火箭不同故障类型的检测和隔离。仿真分析表明,无故障时,残差结果均没有超出设定阈值,算法未出现报警;传感器或执行机构故障时,提出的隔离策略可以准确定位故障,从而验证了该算法的有效性。
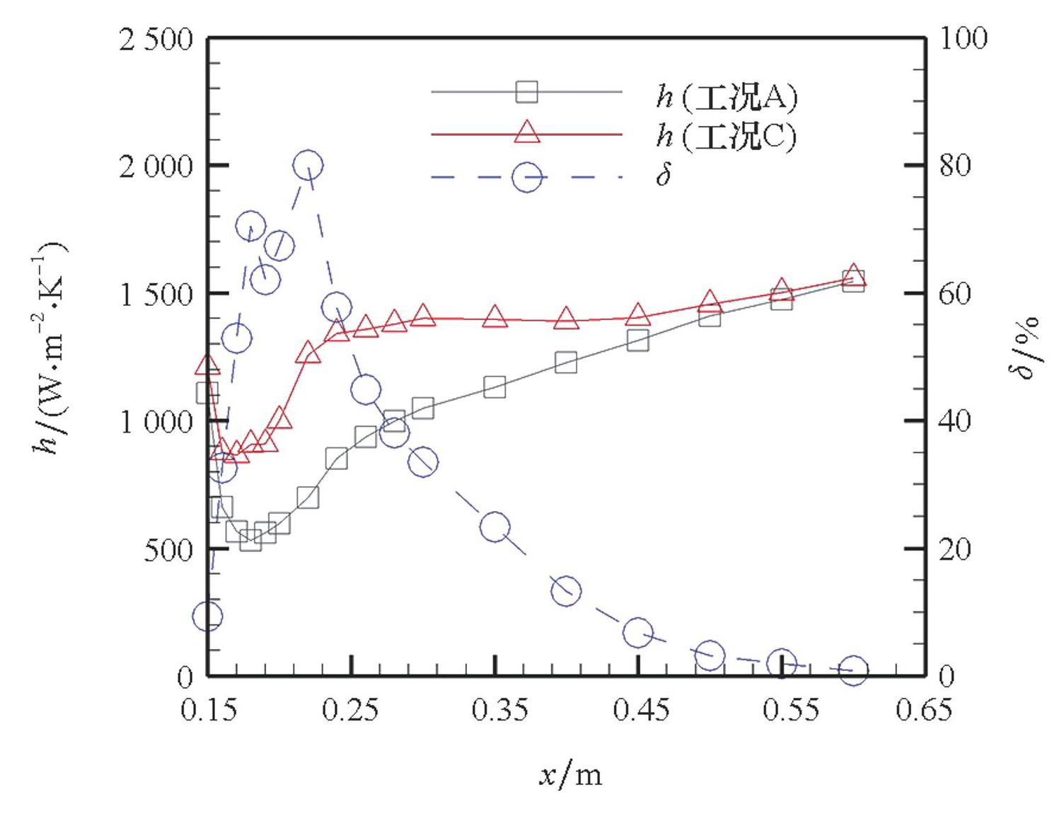
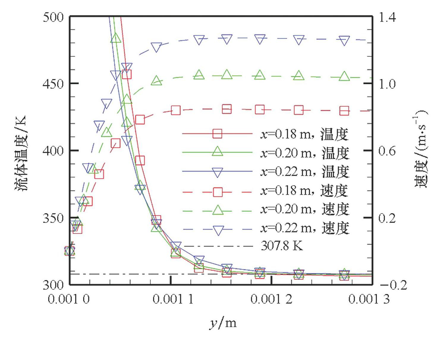
2025, 47(2):68-77. DOI: 10.11887/j.cn.202502006
摘要:为掌握法向过载对机载热电转换系统的影响,基于计算流体力学软件对循环工质在吸热通道内的流动换热过程进行了数值研究。结果表明,法向过载的增大改变了管道内的流场结构,从而使得壁面温度逐渐降低:沿管长方向,吸热通道的壁面温度呈现一个峰值结构,该结构的形成与近壁处流体湍流热流的变化密切相关。随着法向过载从0g增加至2g,吸热通道前端的流场从8涡结构变为双主涡结构且二次流的影响逐渐增强。双主涡结构的形成使得加热壁处的温度边界层变薄,流体的湍流热流增加,局部对流换热系数增加达80%。随着管道内换热增强,吸热通道的壁面温度逐渐降低,局部降温可达290 K
2025, 47(2):78-88. DOI: 10.11887/j.cn.202502007
摘要:针对平流层浮空器在动态风场中的区域驻留问题,面向不同的控制通道,基于深度强化学习D3QN算法设计了环境风利用的浮空器区域驻留控制器,研究了不同的奖励函数对区域驻留控制器性能的影响。在以区域驻留时长为3 d、区域驻留半径为50 km的任务约束下,进行了区域驻留控制仿真。结果表明:与采用DDQN方法设计的区域驻留控制器相比,采用D3QN方法设计的控制器的性能显著提高,仅依靠高度调节控制轨迹的情况下,平均区域驻留半径可以达到25-26 km、驻留有效时间比为96-25%,在水平方向辅助动力推进的情况下,平均区域驻留半径可显著减小、驻留有效时间比可显著提高。同时,验证了基于深度强化学习设计的区域驻留控制器具有较强的鲁棒性,可通过不同的奖励函数设计控制器,满足不同的区域驻留任务需求。
2025, 47(2):89-97. DOI: 10.11887/j.cn.202502008
摘要:针对临近空间串联气球系统中的超压气球处于特殊的边界和载荷条件这一问题,提出了一种基于“自然形”球形方程组,对双向受拉条件下的正球形超压气球的两极进行局部形状优化的方法。通过平滑拼接数值解母线段和圆弧母线段,得到了两极有一定夹角的上下对称的超压气球的完整母线。使用有限元方法分析了局部球形优化前后超压气球的应力分布情况,验证了该局部球形优化方法的有效性。在此基础上,对影响局部球形优化效果的关键因素进行了分析,包括数值解母线段弧长、周向应力输入条件、局部球形、母线圆弧段的半径,为局部球形优化时关键参数的选择提供了重要参考。
2025, 47(2):98-108. DOI: 10.11887/j.cn.202502009
摘要:卫星单目视觉位姿估计通常先提取卫星图像关键特征点,再求解n点透视(perspective-n-points, PnP)问题得到摄像机与卫星之间的相对位姿关系,其中卫星关键点检测的精度是决定单目位姿估计精度的关键。针对该问题提出一种卫星关键点高精度检测方法,该算法在预测关键点图像坐标的同时给出关键点坐标预测的不确定度,在此基础上构建加权的PnP约束方程求解相对位置和姿态,显著提升了卫星单目位姿估计精度。在公开的卫星单目位姿估计SPEED数据集上开展了相关实验,实验结果表明提出的同步预测关键点坐标与不确定度的卫星关键点检测方法能够有效提升关键点检测精度,并且通过求解加权的单目位姿估计问题显著提升了卫星单目位姿估计精度。
2025, 47(2):109-119. DOI: 10.11887/j.cn.202502010
摘要:空空导弹热力环境的精确预示需要进行流、热、固多场耦合分析,并研究耦合效应对流场与结构-温度场的影响。采用分区求解方法,建立空空导弹流-热-固多场耦合模型,对导弹结构变形与温度、压力相互之间的耦合关系以及耦合效应对温度、压力仿真结果的影响进行了分析。研究表明:气动力与气动热引起弹体结构弯曲变形,且结构变形会造成导弹温度场和压力场发生变化,其中气动力作用产生的结构变形为引起温度和压力变化的主要原因。耦合效应对导弹气动热力学环境预示精度产生影响,当导弹长细比较小,或飞行速度较低,或飞行攻角较小时,耦合效应影响小;当导弹为大长细比并以高速、大攻角飞行时,考虑耦合效应预示精度高。
2025, 47(2):120-130. DOI: 10.11887/j.cn.202502011
摘要:助推滑翔导弹是一种精确制导武器,面临复杂多变的飞行条件,对制导律的设计提出了较高要求。建立导弹飞行状态变化模型,采用最优控制方法推导出带弹着角约束的改进最优制导律,并引入纵向制导系数和侧向制导系数,分析了单个制导系数变化对制导精度的影响并确定了制导系数选取方法。针对不同飞行任务的要求,分析了固定弹着角约束和动态弹着角约束对制导精度的影响。以自行研制的小型固体助推滑翔试验飞行器为对象,完成了导弹飞行的数值仿真和半实物仿真,仿真结果表明,所提出的改进最优制导律较为合理,具有较高的制导精度。
2025, 47(2):131-145. DOI: 10.11887/j.cn.202502012
摘要:为满足航天舱内设备自动化总装需求获得一种结构尺寸小、工作空间大、负载能力高、灵活度高的装配机器人,提出一种基于PRR/PR(PRR)R机构的轻量化、高负载8自由度混联调姿机器人舱内装配系统。分析混联机器人位置映射关系、速度映射关系、雅可比矩阵、加速度映射关系,建立混联装配机器人动力学模型,得到各关节驱动力、驱动力矩与关节速度映射关系。进一步,建立混联机器人刚度模型,求解机构末端所受六维力后机构的变形程度。ADAMS和ANSYS仿真模型验证了机构运动学、动力、理论刚度模型。为狭长空间内大型设备装配自动化的实现提供了可行方案与理论基础。
2025, 47(2):146-154. DOI: 10.11887/j.cn.202502013
摘要:针对多芯粒网络中存在跨芯粒的死锁问题以及链路故障导致的网络连通性问题,提出一种面向多芯粒网络的优化报文重传机制。通过在重传机制中使用“报文合并”功能来减少控制报文的数目,降低网络的负载;通过使用“报文转发”功能并采用转发到邻居策略,降低芯粒间网络链路故障的容错成本,实现芯粒内网络更均衡的负载。模拟实验结果表明:相较于转向限制,所提方法在延迟基本不变的前提下提升12-5%~25%的饱和带宽,在出现链路故障时,最高提升50%的饱和带宽。“报文合并”可以有效减少控制报文的数目从而降低网络整体的负载。“报文转发”容错成本更低、能够实现芯粒内网络更均衡的负载。
2025, 47(2):155-164. DOI: 10.11887/j.cn.202502014
摘要:粒子输运模拟是高性能计算机的主要应用,对于其日益增长的计算规模需求,通用微处理器由于其单核结构复杂,无法适应程序特征,难以获得较高的性能功耗比。因此,对求解粒子输运非确定性数值模拟的程序特征进行提取与分析;基于算法特征,对开源微处理器内核架构进行定制设计,包括加速器流水线结构、分支预测部件、多级Cache层次与主存设计,构建一种符合粒子输运程序特征的专用加速器体系结构。在业界通用体系结构模拟器上运行粒子输运程序的模拟结果表明,与ARM Cortex-A15相比,所提出的专用加速器体系结构在同等功耗下可获得4-6倍的性能提升,在同等面积下可获得3-2倍的性能提升。
2025, 47(2):165-172. DOI: 10.11887/j.cn.202502015
摘要:在网格生成软件处理几何模型过程中,针对几何表面信息缺失带来的孔洞问题,提出一种基于B样条曲面的填充修复方法。根据拓扑关系在给定的B样条曲线集中提取孔洞边界,针对单个孔洞包含的曲线采用曲线逼近拟合与组合技术进行预处理得到相容曲线。由曲线构造单向插值直纹面与张量积曲面,然后将曲面通过布尔和操作生成双线性差值B样条曲面来修复孔洞。此外,为保证方法的健壮性,针对复杂的特殊孔洞,可进一步采用直纹面生成填充作为候补方法。实验结果表明,方法具有很好的通用性,能适用于真实工业数模中各类形态孔洞的脏几何修复,为后续的网格生成提供干净、封闭的几何模型。
2025, 47(2):173-182. DOI: 10.11887/j.cn.202502016
摘要:图像异常检测旨在识别并定位图像中的异常区域,针对现有算法中不同层次特征信息利用不充分的问题,提出了基于多层次特征融合网络的图像异常检测算法。通过使用融合了异常先验知识的伪异常数据生成算法,对训练集进行了异常数据扩充,将异常检测任务转化为监督学习任务;构建了多层次特征融合网络,将神经网络中不同层次特征进行融合,丰富了特征中的低层纹理信息和高层语义信息,使得用于异常检测的特征更具区分性;训练时,设计了分数约束损失和一致性约束损失,并结合特征约束损失对整个网络模型进行训练。实验结果表明,MVTec数据集上图像级检测接收机工作特性曲线下面积(area under the receiver operating characteristic, AUROC)平均值为98-7%,像素级定位AUROC平均值为97-9%,每区域重叠率平均值为94-2%,均高于现有的异常检测算法。
2025, 47(2):183-192. DOI: 10.11887/j.cn.202502017
摘要:针对复杂系统设计过程缺乏早期可靠性评估的问题,提出一种基于模型的系统工程方法支持复杂系统的设计及可靠性评估。结合复杂系统的研发特点,提出一种基于“使命、运行、功能、逻辑、物理、可靠性”的基于模型的系统工程(model-based systems engineering, MBSE)建模方法,支持复杂系统设计和可靠性评估;利用基于“图、对象、属性、点、关系、角色”的系统建模语言KARMA对上述过程进行统一表达;通过KARMA的代码生成功能实现图模型到计算模型的映射,完成复杂系统可靠性的评估;将方法应用于液压系统案例,结果表明所提方法对于复杂系统设计和评估具备有效性。
2025, 47(2):193-201. DOI: 10.11887/j.cn.202502018
摘要:针对无人机基站三维空间部署动态性强、时效性高、约束因素多、耦合性强等特点导致的计算量大、仿真周期长等问题,提出利用高效全局优化(efficient global optimization, EGO)算法来确定无人机基站三维空间部署位置。考虑到EGO算法主要通过最优化改善期望(expectation improvement, EI)函数来获取新的采样点,提出利用改进的差分进化(differential evolution, DE)算法来优化EI函数,改进DE算法通过引入亲本选择框架、后代种群生成策略自适应选择框架来提高寻优能力及收敛速度。利用3个典型的工程问题对改进EGO算法的性能进行测试,结果表明改进后的EGO算法在寻优能力、寻优速度以及稳定性方面都有明显提升。在此基础上,给出了利用改进EGO算法进行无人机基站三维空间部署的应用示例。
2025, 47(2):202-211. DOI: 10.11887/j.cn.202502019
摘要:“低、慢、小”无人机的泛滥给空域的飞行安全造成了严重威胁,准确分析无人机回波信号的特点对于非合作无人机的检测具有重要意义。根据旋翼无人机目标时域积分回波模型以及倒谱算法的原理,推导了回波信号的频域表达式和倒谱表达式,分析了回波信号参数与频域和倒谱特征的对应关系,提出了一种针对无人机回波信号的参数估计方法并通过仿真与实测数据验证了此方法的有效性。结果表明,该方法可以更加准确地估计无人机回波信号的带宽和旋转频率,进而为无人机目标的探测与识别提供重要参考。
2025, 47(2):212-218. DOI: 10.11887/j.cn.202502020
摘要:针对传统的子空间类测向算法在欠定场景下失效,且需要信号源数量作为先验信息的问题,提出一种基于互质阵列的GNSS欺骗干扰源测向方法,以提升卫星导航接收机在欺骗环境下的应用安全。通过构建循环相关矩阵以降低噪声对互质阵列信号处理性能的影响,并通过矢量化循环相关矩阵获取虚拟域等效阵列信号。在此基础上,设计一个基于虚拟域信号稀疏重构的优化问题,通过最小化拟合误差,获得高精度、多自由度测向结果。仿真结果表明,所提算法相比于传统子空间类算法具有更高的测向精度,而且在欠定场景下,依旧可以提供可靠的欺骗源测向结果。
2025, 47(2):219-226. DOI: 10.11887/j.cn.202502021
摘要:为了保证水下设备的长期稳定通信,提出了一种基于改进的快速边缘似然最大化的稀疏贝叶斯学习(sparse Bayesian learning based on improved fast marginal likelihood maximization, IFM-SBL)算法,对水声信道进行低复杂度、高性能的估计。特别是在低信噪比情况下,通过阈值去噪和离散傅里叶变换降噪,可以进一步提升算法的性能。仿真和海试结果表明,所提的IFM-SBL信道估计后的输出误码率与基于期望最大化的稀疏贝叶斯学习(sparse Bayesian learning based on expectation maximization, EM-SBL)算法相似,且验证了算法在低信噪比和快慢时变信道中都具有良好的鲁棒性。在运行速度方面,FM-SBL算法与IFM-SBL算法比EM-SBL算法提高了约90%,大大减少了信道估计时间。
2025, 47(2):227-238. DOI: 10.11887/j.cn.202502022
摘要:舰船腐蚀电场信号具有频率低、难以消除等特性,是一种线谱特征明显的船舶物理场特征。不同涂层破损区域的舰船具有区分明显的电场分布特性,可以利用腐蚀电场信号实现舰船的涂层破损位置检测。为此,提出一种结合精细复合层次反向波动色散熵(refined composite hierarchical fluctuation revise dispersion entropy, RCHFRDE)和改进哈里斯鹰优化核极限学习机(improved Harris Hawk optimization-kernel based extreme learning machine, IHHO-KELM)的检测方法。使用RCHFRDE提取腐蚀电场信号的特征信息,输入IHHO-KELM进行训练检测涂层损伤区域。通过仿真实验和缩比船模实验来验证所提方法的有效性与可靠性。实验结果证明,该方法能有效预测舰船涂层的单个破损区域,仿真数据和测量数据的检测准确率分别达到94-67%和89-00%,在先验环境信息较少的情况下可以作为非接触式检测方法的有效补充。




