2025, 47(3):1-9. DOI: 10.11887/j.cn.202503001
摘要:提出一种基于分层投影网络的自监督嵌入方法多视图异构投影网络(multi-view heterogeneous graph projection network, MeghenNet)以学习多视图低维节点表征,其中多视图异构图被定义为明确允许模型同时从多数据源中采集信息建模异构图。MeghenNet采用分层注意力映射机制,其跨关联投影模块用于提取单视图中的语义信息,跨视图模块用于聚合多个视图中的上下文信息。计算每个视图嵌入与全局嵌入之间的互信息损失函数以确保视图之间的信息一致性。在多个真实数据集上的实验表明,所提出算法在处理多视图异构图嵌入问题时明显优于基准算法。
2025, 47(3):10-20. DOI: 10.11887/j.cn.202503002
摘要:现有的序列广告推荐研究主要关注用户对广告的偏好,未充分考虑广告间的正向关系。从广告间的关联出发,将广告网络和用户网络同时纳入考量,构建了基于触发模型的多轮广告序列推荐影响力最大化模型。提出了基于广告边的多轮反向影响力采样贪心策略,以提升广告平台收益,并证明了这一方法具有严格的理论下界保证。实验表明,与现有最优方法相比,该方法的广告传播影响力收益平均提升了35%,显著增强了广告推荐效果,为广告序列推荐提供了新的解决方案。
2025, 47(3):21-31. DOI: 10.11887/j.cn.202503003
摘要:为了减少商家在社交网络上进行多轮次商品推广的营销成本,针对多轮次影响力传播过程中的增益节点选择问题展开研究。基于多轮次影响增益传播模型,提出了自适应的增益节点选择策略,该策略在已知种子节点的前提下,能够在近似线性的算法复杂度下,找到最小化达到传播影响阈值所需的营销轮次的近似策略。实验结果表明,相较于现有启发式算法和非自适应算法,所设计的自适应策略能够减少7.3%~18.3%达到指定阈值所需的传播轮次,有效减少推广成本。
2025, 47(3):32-40. DOI: 10.11887/j.cn.202503004
摘要:针对真实物联网环境中的缺失多元时间序列异常检测难题,提出一种融合缺失信息图嵌入的多元时间序列异常检测算法;基于预插值与异常检测任务融合的联合学习框架,设计一个基于时序高斯核函数的图神经网络(graph neural network, GNN)预插值模块,实现了预插值与异常检测任务的共同优化;提出一种时间序列数据缺失信息嵌入的图结构学习方法,采用图注意力机制融合缺失信息掩蔽矩阵和时空特征向量,有效建模多元时间序列缺失数据分布的潜在联系。在真实物联网传感器数据集上验证了提出算法的性能,实验结果表明,该方法在缺失多元时间序列异常检测任务上显著优于主流两阶段方法,预插值模块对比实验部分充分证明了基于高斯核函数的GNN预插值层的有效性。
2025, 47(3):41-50. DOI: 10.11887/j.cn.202503005
摘要:传统的图数据模型未考虑时间维度,可能会导致时态查询极其复杂,甚至破坏时间信息的完整性,为此,提出了一种时态属性图数据模型和相应的时态图查询语言S-Cypher。该时态图数据模型使用对象节点表示实体,引入属性节点和值节点表示实体的属性,在节点以及对象节点之间的边上记录有效时间以表达时态信息,其记录的有效时间均遵循一组时态约束。S-Cypher是Cypher的时态拓展,在保证兼容的同时不仅提供了一套简洁完善的时态图查询语法,包括时态数据类型、时态图模式匹配、时间窗口限定和时态路径;还提供了一套在Neo4j上进行S-Cypher时态图查询的实现方案。实验结果显示,S-Cypher的查询时间平均是Cypher的1.29倍,表明S-Cypher能够有效地管理Neo4j中的时态图数据,并具有良好的性能。
2025, 47(3):51-63. DOI: 10.11887/j.cn.202503006
摘要:针对运载火箭在上升段遭遇大风区的减载需求,提出自适应学习率的智能姿态控制方法。以运载火箭为研究对象,建立了其俯仰平面的动力学模型。基于柔性动作-评价构建了适用于运载火箭上升段飞行控制的深度强化学习框架,设计了一种综合考虑姿态跟踪精度和稳定性以及减载效果的奖励函数。在此基础上,基于步长学习率调度器实现了学习率自适应迭代,以期在快速提升控制器收敛性的基础上找到最优解。并设计了一种早停机制实现了训练过程的自动停止,以提升训练效率。仿真结果表明,所提出的方法在保证姿态跟踪精度和稳定性的前提下能够有效实现运载火箭的减载效果,并且对随机阵风干扰具有较强的鲁棒性和适应能力。
2025, 47(3):64-72. DOI: 10.11887/j.cn.202503007
摘要:针对航天器编队相对运动构型时变轨迹跟踪控制问题,基于端口哈密顿(port-Hamiltonian,PH)模型和广义正则变换,采用互联阻尼分配无源控制(interconnection and damping assignment passivity-based control,IDA-PBC)算法设计了一种分布式协调控制律。通过对航天器编队线性动力学的PH建模和广义正则变换,得到轨迹跟踪误差PH系统。在拓扑结构连通且固定的假设下,利用相对运动误差PH系统模型,基于IDA-PBC算法推导出了考虑邻居航天器间相对误差的轨迹跟踪分布式协调控制律。数值仿真验证了控制律的有效性,结果表明,利用PH控制方法可以完成航天器编队轨迹跟踪控制,为航天器编队分布式协调控制提供了一种新的有效方法。
2025, 47(3):73-80. DOI: 10.11887/j.cn.202503008
摘要:为了深入研究火箭飞行试验中出现的自激振动现象,建立了一个基于弹性力与气动力耦合的两自由度线性系统,阐明了俯仰和偏航自由度之间由于位移反馈而引发自激振动的工作机理。通过对系统运动方程进行稳定性分析,得到平衡点失去渐进稳定特性并产生自激振动的判据。利用数值方法求解常微分方程组得到俯仰和偏航角位移时程曲线。仿真结果与试验数据对比表明,火箭飞行过程中出现的振动突然放大的现象是位移反馈导致的模态耦合型自激振动。此外,分析结果表明,自激振动发生前、后,通常会伴随有拍频振动或定频振动。
2025, 47(3):81-89. DOI: 10.11887/j.cn.202503009
摘要:针对传统效能评估方法难以体现反导装备体系的演化性、涌现性和自适应性等问题,提出了一种基于数据驱动的反导装备体系效能评估方法。在分析反导装备体系特点和传统效能评估方法不足的基础上,采用贝叶斯优化算法对卷积神经网络超参数进行优化,构建了贝叶斯卷积神经网络效能评估模型;研究了贝叶斯卷积神经网络反导装备体系效能评估算法流程、步骤,形成一套完成的反导装备体系效能评估算法;设计验证仿真实验,输入大量试验数据对贝叶斯卷积神经网络模型进行训练和学习,以获得对反导装备体系效能的仿真预测。实验结果表明:数据驱动下的反导装备体系效能评估拟合度较高,期望输出结果与实际输出结果之间的差距非常小,该方法具有较高的可行性和可信性。
2025, 47(3):90-97. DOI: 10.11887/j.cn.202503010
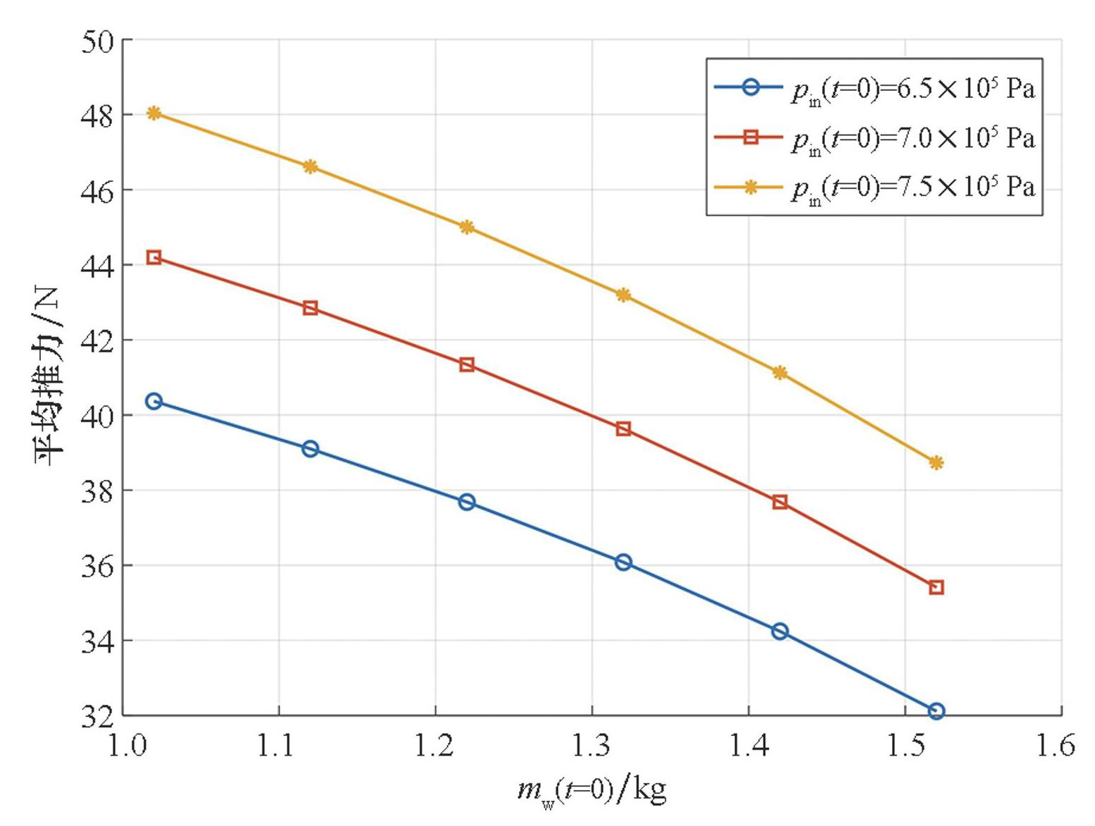
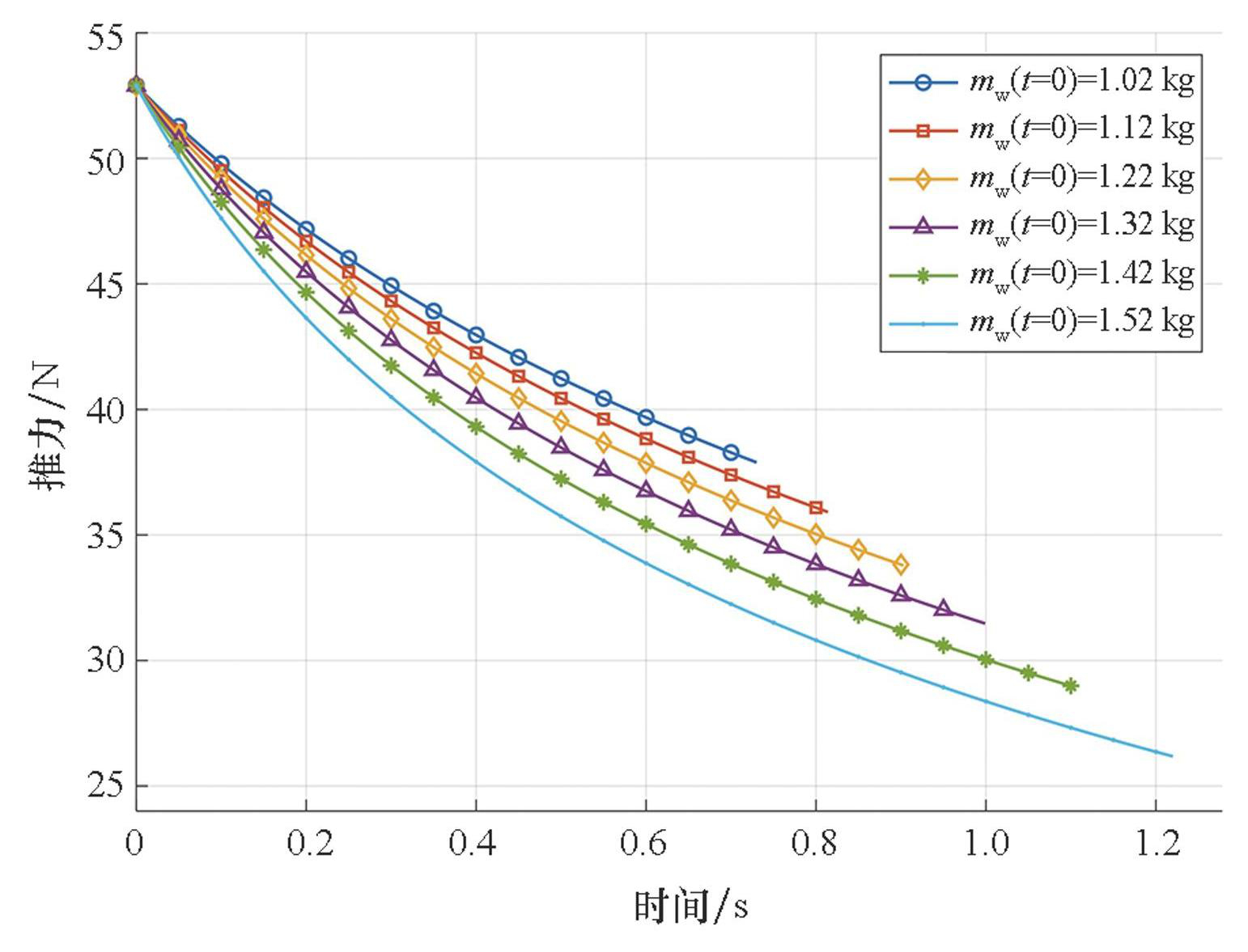
摘要:推力特性直接影响水火箭的发射速度、高度和射程,为了提高水火箭的推力性能,基于现有固定容积气压舱,设计了一种柔性可变形自加压的弹性气压舱方案,并对其性能进行评估。利用伯努利定理和变形协调关系,建立了水火箭内部压力、喷口速度与推力的耦合模型。此外,采用数值计算方法研究了不同初始状态(装水量和充气压力)对水火箭推力的影响规律,进一步对比分析了相同初始状态下固定体积气压舱与弹性气压舱所产生推力的差异性。研究结果表明,改进的柔性可变形弹性气压舱可以有效提高水火箭发射过程中的水流喷射速度,使相同初始状态下水火箭产生的推力平均值显著提升46.95%。所提方案可为提高水火箭的飞行性能和新型柔性变形水火箭方案的优化设计提供重要参考。
2025, 47(3):98-108. DOI: 10.11887/j.cn.202503011
摘要:针对视频小卫星与观测目标存在较大初始相对姿态偏差和角速度,目标容易偏离相机视场造成脱靶的问题,设计了一种视频小卫星目标跟踪视野分区防脱靶控制方法,该方法将星载相机矩形成像视野按照内切圆划分为内外两部分,内切圆内部和外部分别基于势函数和拟欧拉旋转法设计跟踪控制器,并利用Barbalat引理证明两个区域控制律的渐近稳定性,同时在理论上证明了目标进入视野内切圆区域后,在基于势函数的控制器作用下可以确保不脱靶。通过控制器对比仿真,结果表明拟欧拉旋转法相比于比例-微分(proportional-derivative, PD)控制具有更强的抑制目标偏离视场能力,结合拟欧拉旋转法和势函数法的视野分区控制与全视场的拟欧拉旋转法相比,能够有效实现对较快速机动目标的防脱靶控制,从而实现连续跟踪观测。
2025, 47(3):109-118. DOI: 10.11887/j.cn.202503012
摘要:针对导弹弹道规划问题,搭建了适用性的Gym训练环境,基于双延迟深度确定性策略梯度框架设计了智能体网络结构,根据终端约束和过程约束设计奖励函数,形成了智能弹道规划方法。通过部署于嵌入式GPU计算加速平台,进行了拉偏仿真和对比测试,结果表明:该方法在不同射程任务要求下能够满足导弹能力和过程约束,有效克服环境干扰,具有针对不同对象模型的适应性。同时,该方法计算速度极快,远超流行的GPOPS-Ⅱ工具箱,单步弹道指令计算用时在ms以下,能够支持实时在线弹道生成,为工程应用提供了有效实现途径和技术支撑。
2025, 47(3):119-127. DOI: 10.11887/j.cn.202503013
摘要:基于弹着点空间分布对目标毁伤效能的差异化影响,构建导弹命中目标不同重要区域的概率分布模型,实现对传统命中精度概念的扩展。针对导弹实打试验过程复杂、费用高、次数少的实际,采用贝叶斯方法融合多源信息,基于区域划分—分布确定—先验融合—后验求解的思路进行导弹命中精度估计。选取Dirichlet 分布作为命中精度参数的先验分布,运用D-S(Dempster-Shafer)证据理论对先验信息进行融合处理,基于马尔可夫链蒙特卡罗 (Markov chain Monte Carlo, MCMC) 方法对精度参数的后验分布进行求解。示例表明,该方法能够细致描述导弹命中目标不同重要区域的概率,并科学融合多源命中精度先验信息,为导弹命中精度估计方法及测试方案优化提供理论借鉴。
2025, 47(3):128-140. DOI: 10.11887/j.cn.202503014
摘要:针对现有全监督学习获取精确配对样本耗费资源问题,同时兼顾网络地图生成质量,提出了一种新颖的基于生成对抗网络的半监督网络地图生成模型,旨在利用少量精确配对的数据和大量非配对数据,实现智能化遥感影像直接生成网络地图。此外,设计了一种基于变换一致性正则化和样本增强一致性的半监督学习策略,克服了非精确配对数据带来的不一致性问题,同时能获得更好的模型泛化性能。对不同地图数据集进行了充分的对比实验,模型生成的网络地图在定量指标和视觉质量上优于比较方法,验证了半监督网络地图生成方法的有效性和快速性。
刘久富,Elishahidi S.B.Mvungi,汪恒宇,解晖,刘向武,王志胜
2025, 47(3):141-150. DOI: 10.11887/j.cn.202503015
摘要:针对在对时变非线性系统进行状态估计以及参数学习时估计误差大、抗干扰能力差等问题,提出一种面向非线性系统的精确稀疏高斯变分推理的批量状态估计与参数学习方法。基于高斯变分推理提出损失函数,状态估计问题转化为对真实后验近似问题,并引入需要学习的参数。对状态概率分布的参数使用高斯-牛顿式优化器的方法进行迭代更新,利用Stein引理、协方差矩阵的稀疏性及高斯容积方法得到完整的状态估计迭代方案。使用期望最大化学习测量模型的噪声参数,同时引入逆Wishart先验减少测量噪声和离群值对参数学习以及状态估计结果的影响。通过对无人机仿真模型进行模拟实验,在不加入无人机运动以及测量噪声真实值的情况下,对无人机轨迹能够进行精确的估计,且有效抑制测量噪声和测量离群值对轨迹估计精度带来的影响。
2025, 47(3):151-161. DOI: 10.11887/j.cn.202503016
摘要:为提高水库位移形变预测精度,通过改变变分模态分解(variational mode decomposition,VMD)的分解方式,融合VMD与长短期记忆网络对非线性非平稳的水库位移形变进行预测,提出了一种混合变分模态长短期记忆网络(mix variational mode decomposition long short-term memory,MVMDLSTM)模型预测方法;对不同单一预测模型与组合模型采用多源数据集验证新方法的可靠性。实验结果表明:MVMDLSTM模型能有效减弱单一预测模型与经验模态分解组合模型估计的偏差,MVMDLSTM模型预测精度更优,为稳定监测水库慢滑移和蠕动等微小变形预测预警提供有效的数据决策。
2025, 47(3):162-172. DOI: 10.11887/j.cn.202503017
摘要:针对空间目标在低频次观测的小样本识别场景中,不同姿态下图像表征变化剧烈导致的辨识性特征提取难、图像间特征关联难的问题,提出一种自适应交叉融合局部特征的空间目标小样本识别方法。在现有小样本学习框架上,引入基于自注意力和互注意力的特征交叉融合模块,自适应地学习局部特征之间的相关关系,提高不同姿态下特征提取的判别性和鲁棒性,有效挖掘支持集和查询集之间的相似性,提升存在表征差异条件下的特征关联准确性。同时,在损失函数中引入基于邻域密度的样本标签权重,以解决空间目标数据集中姿态不均衡导致的网络模型学习偏差问题。通过在不同数据集上的验证,证明提出的方法具有更高的识别精度。
2025, 47(3):173-182. DOI: 10.11887/j.cn.202503018
摘要:为了解决许多交通流预测研究方法不能全面地挖掘交通数据中的动态隐藏相关性的问题,研究了动态时空变化特征,提出了一个基于编码器-解码器的交通预测模型。在模型中,编码器和解码器都主要由多头时空注意力机制组成,在两者中间加入了连接注意力机制,以分析路网时空相关性。模型还使用时空嵌入编码与自适应图卷积结合构成的动态嵌入模块来分析节点的动态和静态信息。在两个真实数据集上的实验,证明了该时空模型在长短期流量预测的效果优于其他方法。因此,时空编码器-解码器模型能有效处理复杂的时空序列,提升交通流预测的准确性。
2025, 47(3):183-193. DOI: 10.11887/j.cn.202503019
摘要:围绕外加电流阴极保护系统及其电流输出方式,为实现在船体防腐功能的基础上达到兼顾水下电场隐身的目的,采用“集成式”代替传统的“分区式”阳极电流控制方法,提出基于水下电场和参比电位测量信息的电流调整策略,主要思想是将相对于自然腐蚀状态的阴极保护电流的优化问题转化为相对于电场隐身时水下电场增量的最小化问题。通过仿真计算和缩比模型试验对所提出电流优化控制方法的有效性进行了检验,结果表明,以电位峰-峰值作为评价标准,并且全船电位满足防腐要求时,1.0B深度测量平面电位峰-峰值相对于船体处于自然腐蚀状态下能够降低20%以上,且该方法可快速计算得到外加电流阴极保护系统兼顾电场隐身和船体防腐所需的各个阳极的输出电流。
2025, 47(3):194-202. DOI: 10.11887/j.cn.202503020
摘要:FG-CNTRC凭借其卓越力学性能和可设计特性,在先进装备制造中展现出重要工程价值。围绕纳米增强相尺度效应对其增强结构力学响应影响机制的关键问题,结合非局部理论与Eshelby-Mori-Tanaka方法,构建了纳观-宏观跨尺度本构模型。基于碳纳米管(carbon nanotubes, CNTs)空间梯度分布的数学表征,考虑环境温度与visco-Pasternak基体的热-力耦合效应,通过Kirchhoff板理论和能量变分原理构建了纳米增强复合结构振动控制方程,求解了四边简支板的特征频率。分析了CNTs特征参数及热-力耦合效应对结构固有频率的作用机制。研究表明,本构模型能有效表征CNTs尺度效应对结构动刚度的弱化作用。该效应同时抑制基体弹性参数对刚度的增益效果,但显著提升温度变化的敏感性。同时,结构往复振动的临界体积分数与基体阻尼参数呈正相关。
2025, 47(3):203-212. DOI: 10.11887/j.cn.202503021
摘要:针对复杂结构系统的可靠性优化设计问题,提出一种高效的基于扩展空间子集模拟及马尔可夫链模拟的优化方法。在扩展空间中将设计参数为基本随机变量分布参数的可靠性优化问题进行转化,优化目标失效概率函数,等价转化成参数后验密度函数,通过子集模拟方法获得覆盖全设计域的初始失效样本点,再结合近似序列优化框架,采用高效的马尔可夫链模拟方法在逐步缩小的设计域内进行模拟,逐次更新设计参数后验密度函数的估计,并解耦求解得到优化问题的最优解。与已有方法相比,所提方法仅需一次可靠性分析即可避免局部优化解,得到全局最优解。所给算例说明所提方法在分析计算精度和效率上的优越性及工程适用性。
2025, 47(3):213-221. DOI: 10.11887/j.cn.202503022
摘要:为深入研究杆式射流在水中的运动特性,通过实验与数值模拟相结合的方法,系统探讨了药型罩壁厚、材料以及装药长径比对杆式射流水中运动特性的影响规律。研究发现,杆式射流入水后,其头部会发生镦粗现象,并伴随质量侵蚀效应。射流的有效长度在运动过程中呈现先增长后下降的阶段性变化,而其平均速度则呈指数形式衰减。进一步分析表明,增大药型罩壁厚和装药长径比均能显著提升杆式射流的抗侵蚀能力和存速能力。药型罩壁厚的最佳取值范围为0.036Dk~0.055Dk,而当装药长径比超过1.25时,装药结构对杆式射流水中运动特性的影响逐渐减弱。此外,材料密度对杆式射流在水中侵彻过程中的速度衰减规律具有重要影响:密度越高,射流的存速能力越强;若材料密度相近,则射流速度衰减规律趋于一致。通过对紫铜、钽和钨三种不同材质药型罩的研究表明这三种材料均适合应用于水下聚能战斗部。本研究为优化水下聚能战斗部的设计提供了理论依据和参考价值。
2025, 47(3):222-231. DOI: 10.11887/j.cn.202503023
摘要:为全面科学地评估高速磁浮列车悬浮系统性能,基于模糊层次分析法设计了悬浮系统综合评估方法。针对悬浮系统运行规律和能力特点,提出了表征悬浮系统性能的评价指标体系;采用模糊层次分析法确定高速磁浮列车悬浮系统性能指标的权重,利用指数标度法和梯形分布法建立了悬浮系统多层模糊综合评估模型;开发了高速磁浮列车悬浮系统性能综合评估系统,并利用时速600 km高速磁浮样车在上海1.5 km高速磁浮试验线开展动态运行测试。结果表明基于模糊层次分析的悬浮系统综合评估方法能够对悬浮系统性能做出综合评估,实现了评估结果的可量化与可视化。
2025, 47(3):232-238. DOI: 10.11887/j.cn.202503024
摘要:连续式激光多普勒测速仪(laser Doppler velocimeter, LDV)受连续激光器功率低、光学系统衍射等因素的影响,限制了其在低空测速当中的应用。通过引入“虚拟距离”对大气分层模型进行拓展,建立了脉冲式LDV的时域回波信号模型。仿真结果表明,脉冲式LDV可通过累积硬目标回波信号速度反演,而且脉冲式LDV不受空间分辨率的限制,可以利用更长的激光脉宽进行探测,理论上验证了脉冲式LDV利用长脉冲进行高精度测速的可行性,为未来脉冲式LDV进行原理实验验证奠定了理论基础。脉冲式LDV可以探测5 km及更远目标散射的回波信号,极大拓展了LDV的工作距离范围,使得LDV可以应用在低空飞行载体组合导航、航天器行星表面着陆导航等需要远距离高精度速度测量的场景。




