杨惠,董德尊,荀鹏,刘汝霖,厉俊男,唐竹,吕高锋,全巍,钟金诚,李韬
2025, 47(6):1-12. DOI: 10.11887/j.issn.1001-2486.25050036
摘要:面向高端装备开放交互环境带来组件间高效数据交互的新型网络通信问题,提出了一种新型算控网络。针对高效、实时、灵活以及安全方面的极致需求,算控网络在协议体系、规划、应用及安全设计方面进行智简性设计,为异构资源间的强实时协同融合提供高效能和高灵活性的基础网络支撑。在详细调研相关研究工作基础上,探讨数据链路层增强、传感控制器远程内存直接获取接入、面向服务的感控中间件等新型算控网络关键技术,介绍国防科技大学网络芯片与系统团队算控网络关键技术攻关及测试评估情况,并展望未来挑战和研究方向,助力我国在高端装备体系和创新生态方面获得领先优势。
2025, 47(6):13-23. DOI: 10.11887/j.issn.1001-2486.25030003
摘要:为了对“天河”网络中基于网卡的集合通信硬件卸载功能进行进一步优化,以支持更多类型的集合通信算法以及更大的消息尺寸,研究了面向集合通信硬件卸载的维序触发机制和数据缓存方法。提出面向多任务并发的维序触发机制,既满足了期望的集合通信语义,又确保了浮点计算操作结果的可复现性;提出基于哈希表和脉冲信用流控的网络数据动态缓存方法,以缓解有限的硬件缓存资源和多任务并发的大量网络数据缓存需求之间的矛盾问题。实验结果表明,与基于软件方式的集合通信操作相比,该方法可以支持多种典型集合通信操作的多种算法的硬件卸载,且性能提升效果显著,同时,硬件实现代价较低,尤其是在缓存资源方面具有较高的利用率。
2025, 47(6):24-35. DOI: 10.11887/j.issn.1001-2486.25060006
摘要:面向5G/6G超密集组网的基站网络流量预测需求,提出一种增强随机集成混合核K近邻算法(enhanced random ensemble-based mixed kernel K-nearest neighbor algorithm,ER-MKKNN)。通过融合径向基函数与白噪声核构建混合核函数,突破了单一核函数在非线性关联建模与噪声抑制间的平衡瓶颈。创新性地引入样本-特征双重随机子采样与超参数区间随机化策略,显著提升了高维稀疏场景的泛化稳定性。基于袋外误差反演的动态权重分配机制,提升了算法对流量突变的鲁棒响应能力。配套设计的多级并行化架构,为超密集组网提供了可扩展的预测解决方案。实验表明,ER-MKKNN在均方根误差、平均绝对百分比误差和平均绝对误差三项指标上均优于所对比深度学习模型,为智能网络运维提供了新的技术路径。
2025, 47(6):36-45. DOI: 10.11887/j.issn.1001-2486.25040001
摘要:粒子输运问题的随机模拟在传统冯·诺依曼架构上面临随机事件分支和不规则访存带来的挑战,其根源在于随机算法与确定性硬件之间的不匹配。为此,设计了一种基于自旋和铁电器件的概率可调真随机数生成器。基于自旋器件的物理随机性,为架构提供物理随机源,并通过优化的控制逻辑和写入机制提高随机比特吞吐率;基于铁电器件的忆阻特性,设计了可编程和具有非易失连续存储权重的概率可调突触。实验表明,该设计求解示例输运问题时性能相比通用处理器提高171~1 028倍。进一步地,相较现有的基于自旋转移矩磁隧道结的真随机数生成器,其不仅唯一具有生成可调概率随机采样的能力,且产生均匀分布随机序列时吞吐率达到303 Mbit/s,具有更高的随机比特吞吐率。
2025, 47(6):46-59. DOI: 10.11887/j.issn.1001-2486.25050027
摘要:结合软件定义网络与分段路由(segment routing,SR)可优化网络性能,但在大规模动态网络中,其关键节点链路利用率过高会导致队列延迟激增。为此,提出深度强化学习与负载中心性理论融合的分段路由优化算法(segment routing optimization algorithm fusing deep reinforcement learning and load centrality theory,SROD-LC)。通过负载中心性理论量化网络节点重要性,识别关键节点并监控其链路负载状态;利用多智能体强化学习框架,在关键节点部署分布式深度强化学习智能体,通过共享奖励机制协调路由决策,实现链路负载的主动优化。同时结合SR的灵活性,动态调整段标识列表快速重路由部分流量,降低本地链路利用率并规避潜在拥塞。基于真实网络拓扑的模拟实验结果表明:当SR关键节点比例在0.3~0.5范围时,SROD-LC优化效果显著,与基准算法相比,可将网络最大链路利用率降低21%~35%。
2025, 47(6):60-70. DOI: 10.11887/j.issn.1001-2486.25050035
摘要:在一些资源受限场景下,大语言模型的高效推理部署面临严峻挑战。当前主流的模型推理优化技术,虽然在一定程度上提高了模型推理效率,但是仍然存在部署粒度较为粗糙、推理精度较差等问题。根据不同算子对GPU亲和度不同的发现,提出算子感知张量卸载(operator-aware tensor offloading,OATO)方法。OATO能够提取算子的语义知识,并基于此设计了智能算子调度算法,可以生成全局最优模型部署方案。同时,将OATO方法集成进最新的大模型推理框架Llama.cpp中,实现了算子感知的张量卸载增强推理引擎OALlama.cpp。实验结果表明,相比于业内最先进的推理引擎Llama.cpp和FlexGen,OALlama.cpp在3种大模型上均取得最好的推理性能,尤其是在LlaMA3-8B模型GPU加载75%权重的场景下,OALlama.cpp的首词生成速度相比FlexGen和Llama.cpp提升近1倍。
2025, 47(6):71-80. DOI: 10.11887/j.issn.1001-2486.25050003
摘要:AI芯片在深度学习应用中受限于片上内存容量,当前主流内存优化方法针对静态计算图,对动态计算图的内存优化存在进一步的优化空间。针对该问题,提出一种控制流计算图模型的内存优化框架,在子图内部实现内存复用的基础上,结合控制流特性递归进行子图间的内存复用。针对片上与片外内存的内存墙问题,针对控制流计算图的权重数据提出一种有效的乒乓缓存实现策略,在子图内部实现访存和计算操作的重叠执行。基于国产LUNA AI芯片进行验证,结果表明,该内存优化框架实现了控制流计算图的片上内存优化使用,相比原有方法进一步提升5.9%。该策略有效解决了内存墙问题,减少了片上片外内存的数据传输时间,计算图的执行效率最高提升29%。
2025, 47(6):81-90. DOI: 10.11887/j.issn.1001-2486.24100001
摘要:为实现永磁同步电机电感参数准确、稳定的在线辨识,提出一种基于虚拟电压矢量激励-电流微分响应的在线电感观测方法,该方法无须额外注入测试信号且与转子位置、电阻、永磁磁链解耦。引入虚拟电压矢量定向坐标系的概念,推导并证明了永磁同步电机的d-q轴电感观测可以与d-q同步旋转坐标系的位置角相解耦。在此基础上,讨论了虚拟电压矢量和电流微分信息提取的实现流程,实现了无须任何额外注入信号的非侵入式电感辨识。通过与IEEE标准中离线测试方法进行对比,验证了所提方法的有效性和准确性。
2025, 47(6):91-105. DOI: 10.11887/j.issn.1001-2486.24090044
摘要:针对表贴式永磁同步电机中常见的定子匝间短路和转子偏心故障,采用占用空间小、可绕制匝数多的柔性印刷电路板制作探测线圈,并将其布置于定子槽口以捕获磁场信息。对于定子匝间短路故障,提出了利用双正交锁相提取故障特征值的匝间短路故障检测方法,能够对短路电阻、短路匝数以及故障位置进行有效区分,且不受电机转速波动的影响。对于转子偏心故障,提出了基于高频注入的探测线圈差分电桥结构偏心故障检测方法,最终可实现2%的偏心度检测。对于复合故障,引入了基于卷积神经网络的故障区分方案,并对比了不同类型学习方法的性能,试验结果表明:复合故障条件下实现了98%的匝间短路正确率评估,且选用AlexNet在训练数据占比为60%时的偏心检测误差仅为5%。
2025, 47(6):106-118. DOI: 10.11887/j.issn.1001-2486.25060032
摘要:为了解决电力电子逆变器开路故障智能诊断面临的实际故障样本缺乏、变特征适应性问题,相应从数据、算法两大智能化要素角度提出了一套优化方法,以支撑电力电子逆变器开路故障智能诊断的实际应用。数据要素方面,提出基于逆变特性的故障样本扩增方法,明确了诊断模型训练所需的最少实际样本量;算法要素方面,提出一种诊断模型注意力增强方法以及模型频率点自适应训练方法,显著提高了面对逆变器宽频运行的模型训练效果及诊断准确率。实验验证了上述智能化要素优化方法的有效性。
2025, 47(6):119-131. DOI: 10.11887/j.issn.1001-2486.25010043
摘要:提出一种融合深度强化学习与改进粒子群优化的自适应自抗扰控制策略,旨在提升永磁同步直线电机的速度与推力控制性能。通过建立电机数学模型并分析其动态特性,设计基于深度强化学习粒子群优化的控制框架,利用强化学习中的奖励机制与环境交互,动态优化自抗扰控制器参数以应对运行条件变化及外部扰动。改进粒子群算法引入分区惯性权重机制,结合历史全局最优数据循环更新策略,优化神经网络权重,从而提高控制策略的搜索效率与优化精度。实验结果表明,相比传统粒子群优化自抗扰控制算法,所提方法显著提高了电机位置与速度跟踪精度,增强了系统稳定性及抗推力扰动能力,验证了创新策略的有效性。
2025, 47(6):132-144. DOI: 10.11887/j.issn.1001-2486.24120045
摘要:针对模块化多电平变流器低速大转矩工况下显著的电容电压脉动问题,现有高频注入抑制方案会增大器件应力与损耗并引入过调制风险,且参数优化缺乏全工况适应能力。为解决该问题,提出一种考虑多约束条件的高频注入参数自适应优化策略:基于系统特性和稳态模型,运用变步长梯度下降法离线生成满足电压脉动与调制波约束要求的最小注入电流基准参数表;进而设计在线自适应修正机制,实时依据电容电压脉动和调制信息动态调整注入参数,补偿模型偏差及工况变动,形成离线全局优化与在线局部寻优的协同架构。仿真与实验表明,所提策略在维持电压脉动抑制效果的同时显著降低了注入高频环流,并具备动态追踪最优目标的能力。
2025, 47(6):145-156. DOI: 10.11887/j.issn.1001-2486.24070018
摘要:为提高远程制导火箭的性能和设计效率,建立了远程制导火箭多学科参数化模型,实现制导火箭高精度性能仿真。提出了基于改进增广径向基的序列近似优化方法,通过各向异性技术提高增广径向基模型的泛化能力,采用递归演化实验设计和快速交叉验证提高近似建模效率,并应用非精确搜索策略进行序列采样,结合算例验证了所提出方法的有效性。开展了远程制导火箭序列近似优化设计,在满足设计约束的前提下,最大射程相较优化前提高了16.7%。
2025, 47(6):157-167. DOI: 10.11887/j.issn.1001-2486.23110026
摘要:为兼顾加筋壁板在优化设计中的轻质化目标与低误差敏感度要求,开展了考虑桁条扭转度误差的加筋壁板优化设计。建立了加筋壁板轴压后屈曲失稳有限元模型,分析结构承载特性对桁条扭转度误差与扭转桁条分布位置的敏感度。在此基础上,采用并行序列采样策略,提出基于代理模型的序列近似优化方法,并在考虑桁条扭转度误差影响下进行了加筋壁板轻量化设计。优化结果表明:对比无误差影响的优化设计方案,在均减重32%以上的情况下,考虑桁条扭转度误差的优化方案具有更低的桁条扭转度误差敏感性,有效提升了优化结构的可靠性与工程应用价值。
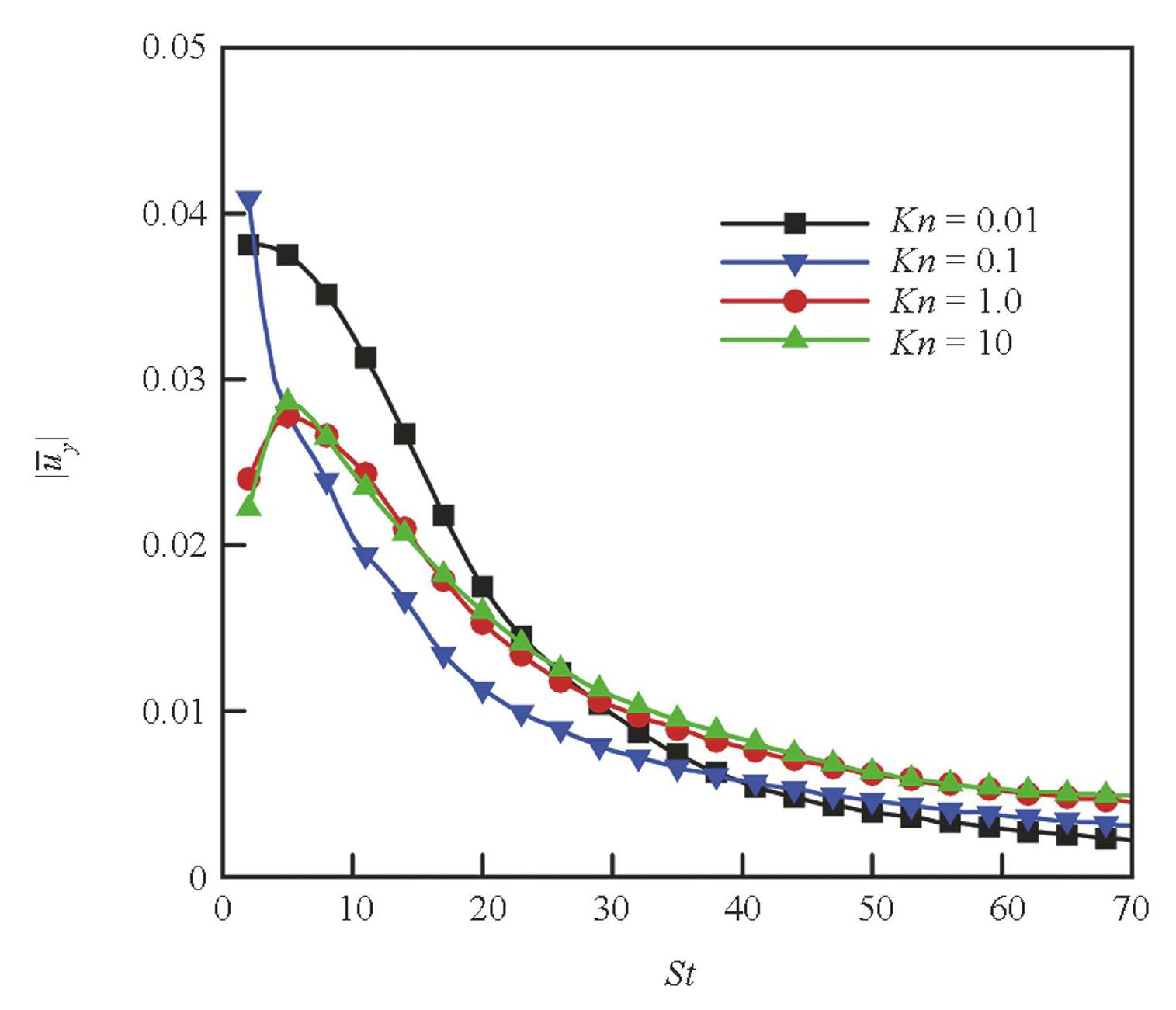
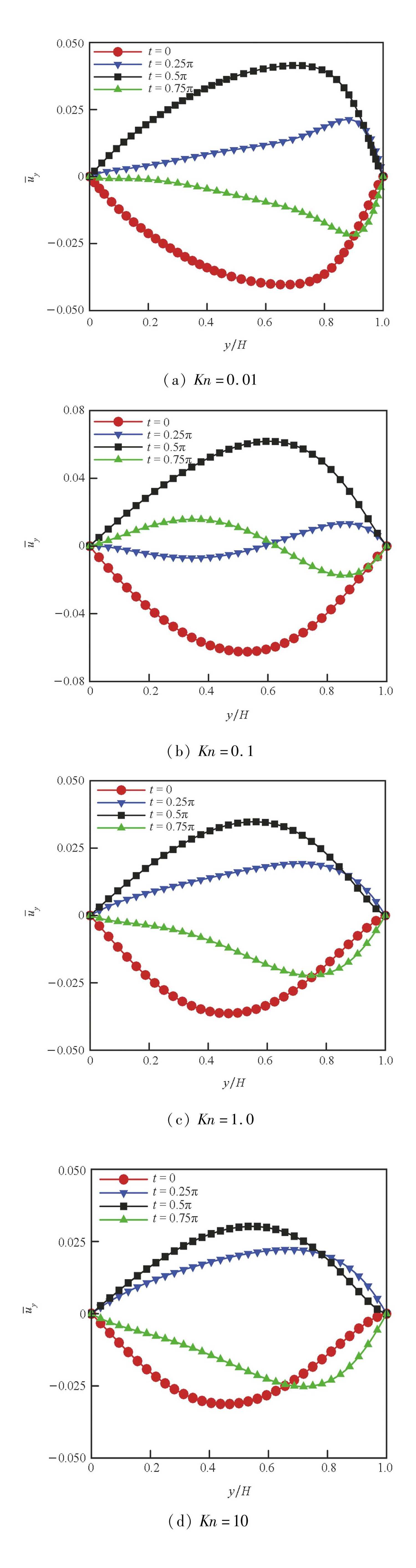
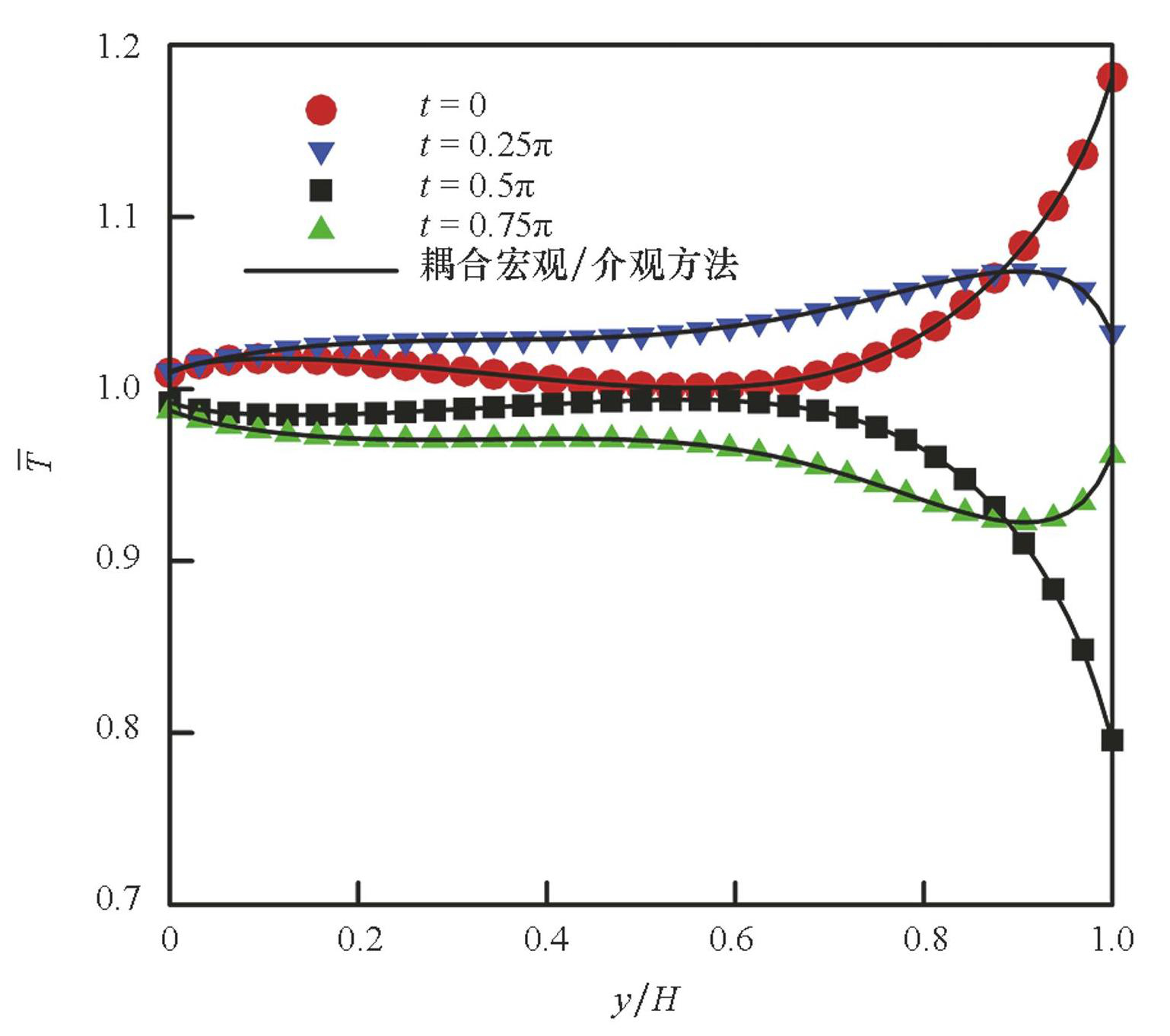
2025, 47(6):168-177. DOI: 10.11887/j.issn.1001-2486.23090015
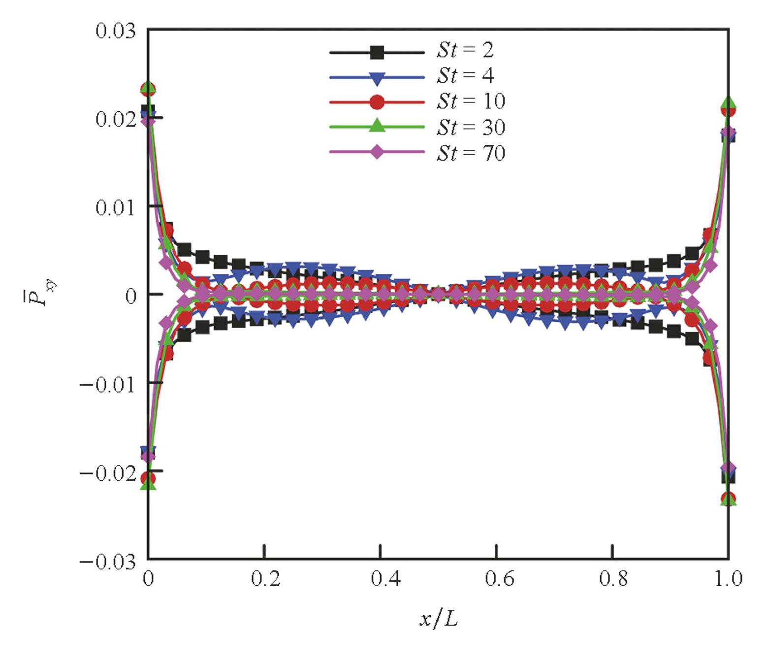
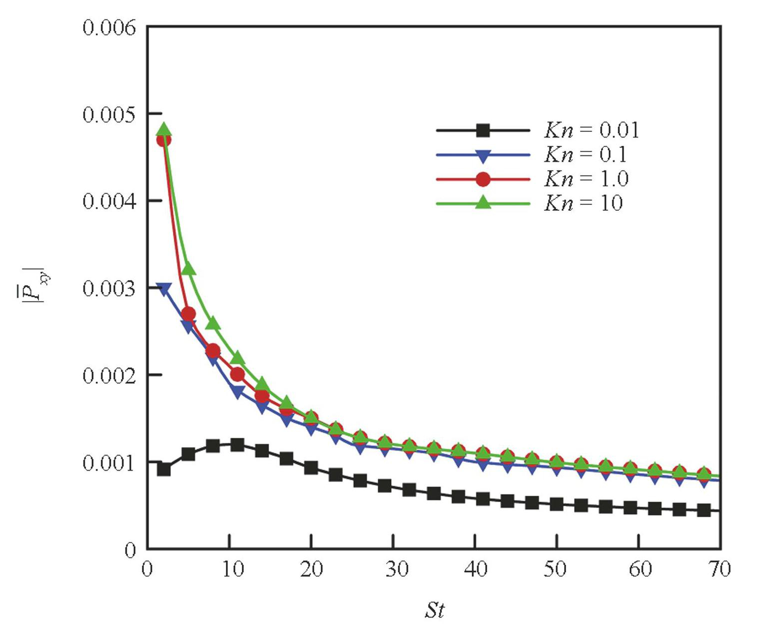
摘要:对二维方腔中顶盖温度振荡驱动稀薄流动进行研究,分析克努森数Kn与顶盖温度振荡频率对流场参数的影响规律。在靠近壁面处基于介观方法求解Shakhov模型方程,中心流域基于宏观方法减少计算资源消耗。宏观/介观虚拟边界利用高阶Hermite多项式重构分布函数,以封闭数值迭代格式。仿真结果表明:耦合方法相较全流场介观尺度方法,对方腔垂直中线处温度的预测结果相符,最大计算误差为0.23%,计算内存消耗降低约69.91%。耦合方法能够捕获振荡热驱稀薄流动在大Kn流域的非线性现象,此时水平方向速度分布不再服从周期振荡余弦函数规律,上升时间远大于下降时间。黏性穿透层厚度与受扰区域随着Kn的增大而增大,随着St的增大而减小。
2025, 47(6):178-188. DOI: 10.11887/j.issn.1001-2486.24050001
摘要:已有单目视觉引导中平台间位姿高精度测量方法需要准确的目标平台3D模型,无法消除3D模型误差给位姿测量带来的影响。针对此问题,对目标平台3D模型和位姿进行迭代优化,并提出一种新的单目视觉测量方法:采用稀疏3D关键点集合建模目标平台3D模型,利用序列图像中多视图几何约束信息,将目标稀疏3D关键点集合和6D位姿作为待求解参数,以最小化物方残差建立目标函数,通过求解该最优化问题,迭代优化稀疏3D关键点集合及位姿,通过采用滑动窗口结合关键帧筛选策略,实现实时、在线的高精度单目视觉测量。实验结果表明,通过迭代优化稀疏3D关键点集合及位姿,所提方法实现了目标平台3D模型不准确条件下实时、在线的高精度单目位姿测量,同时提升了目标3D模型精度。
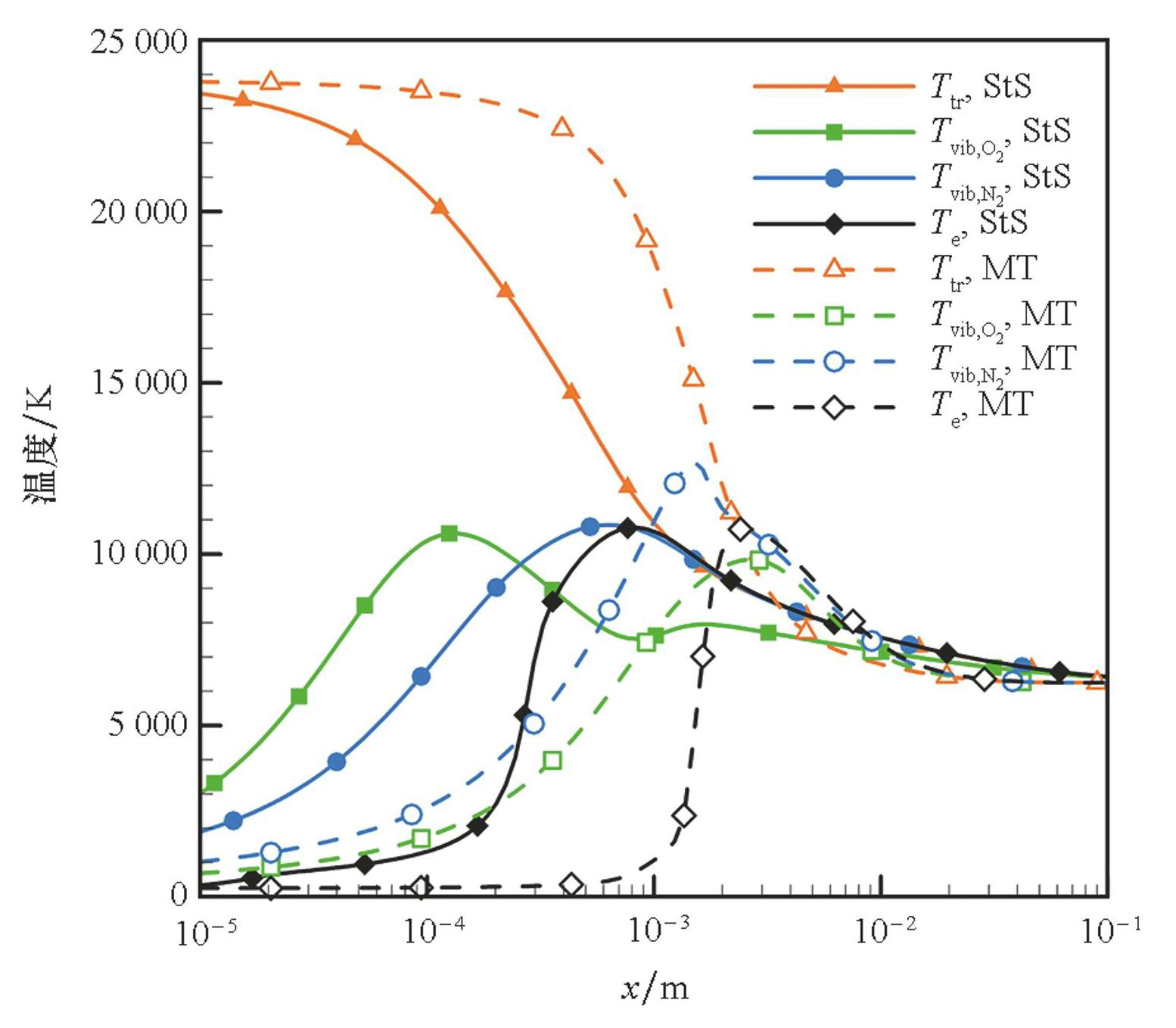
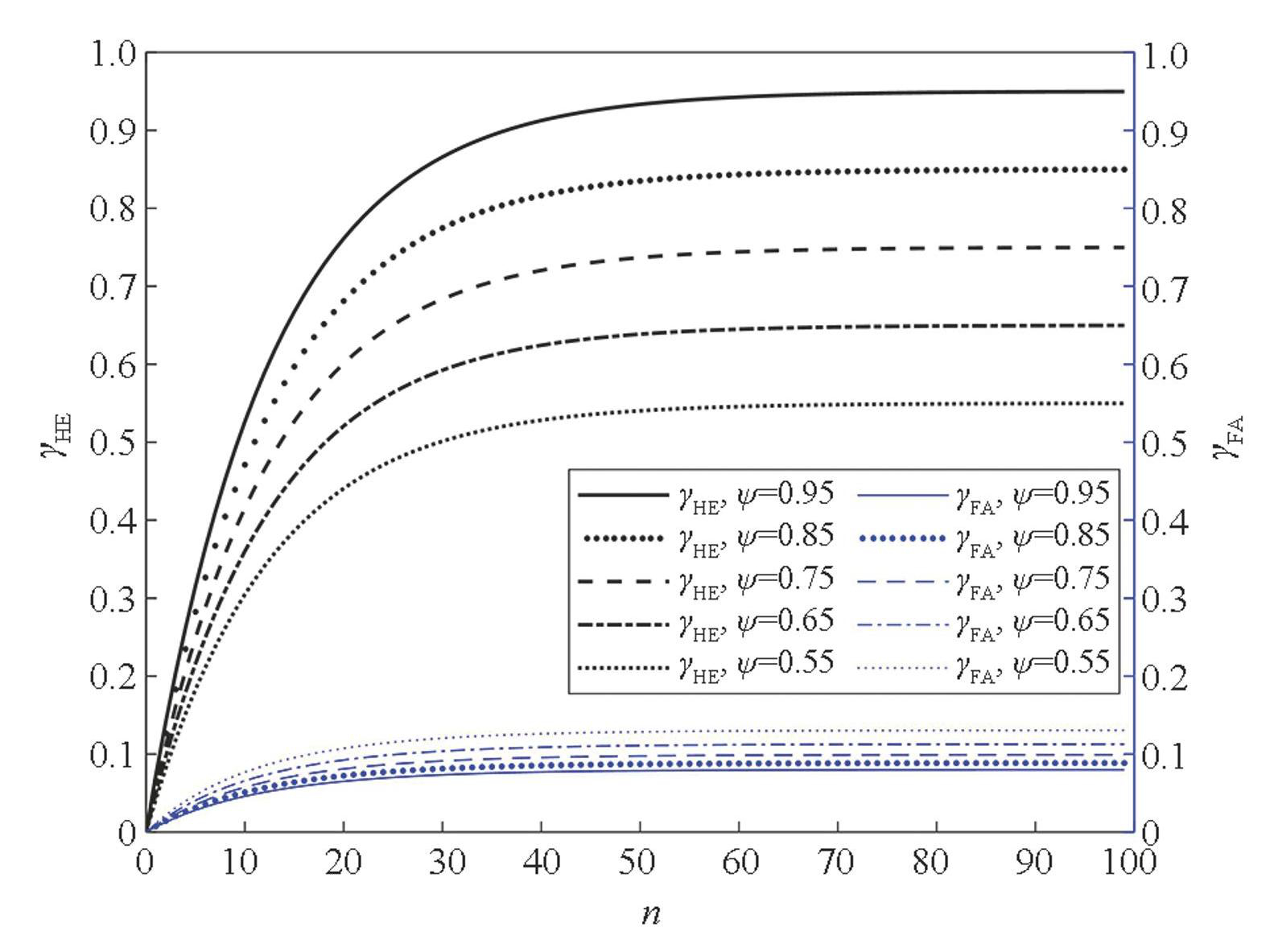
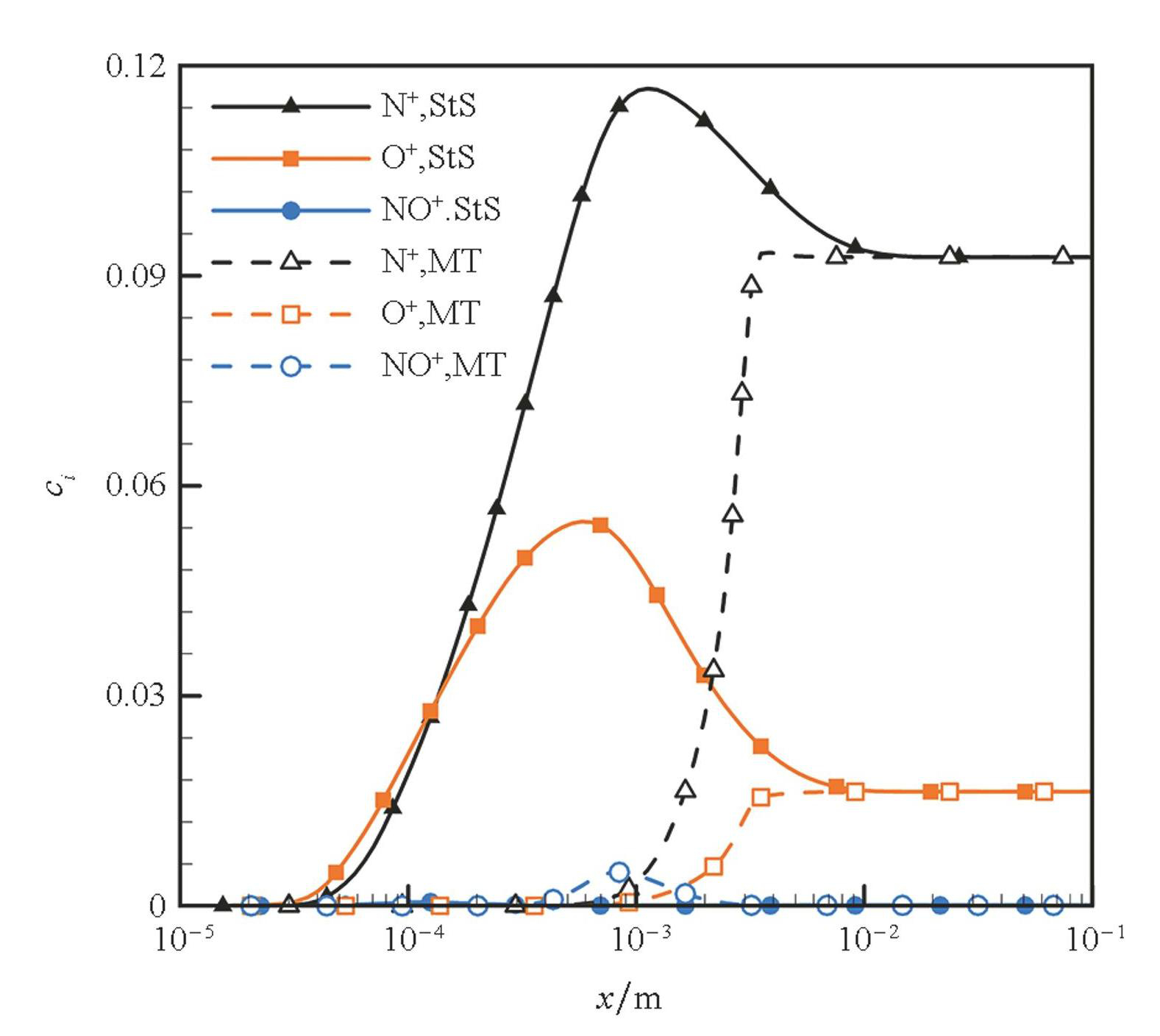
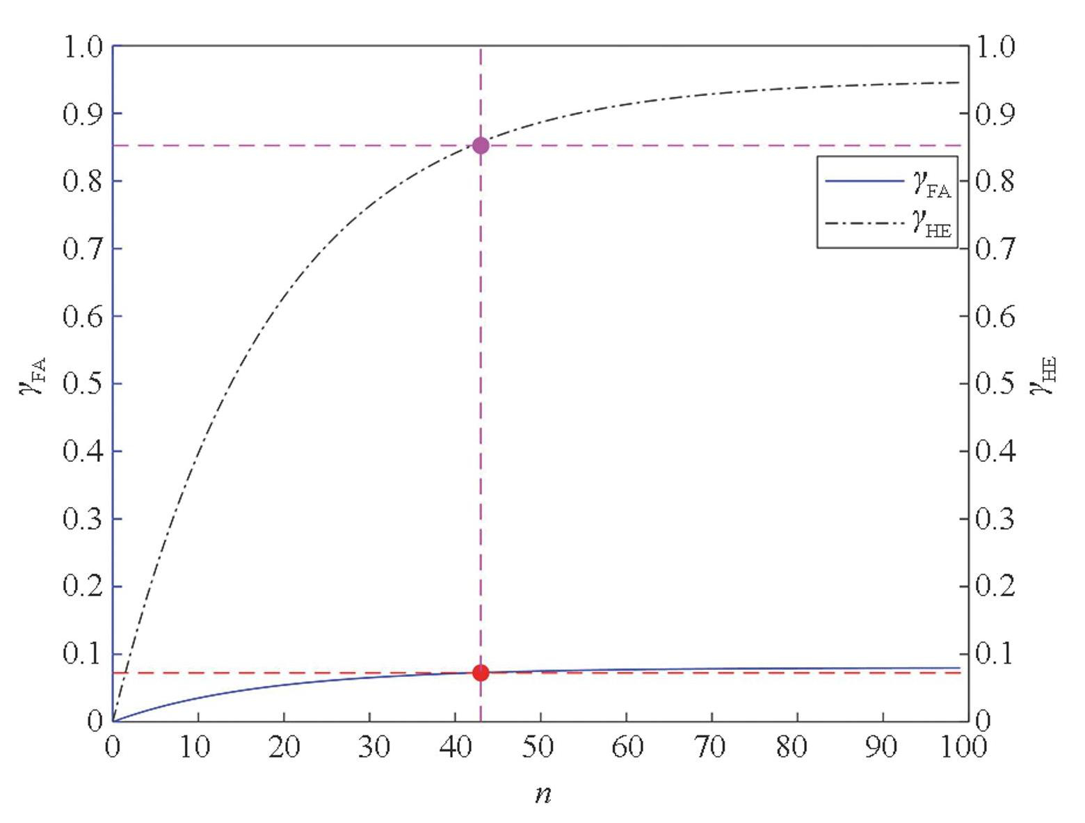
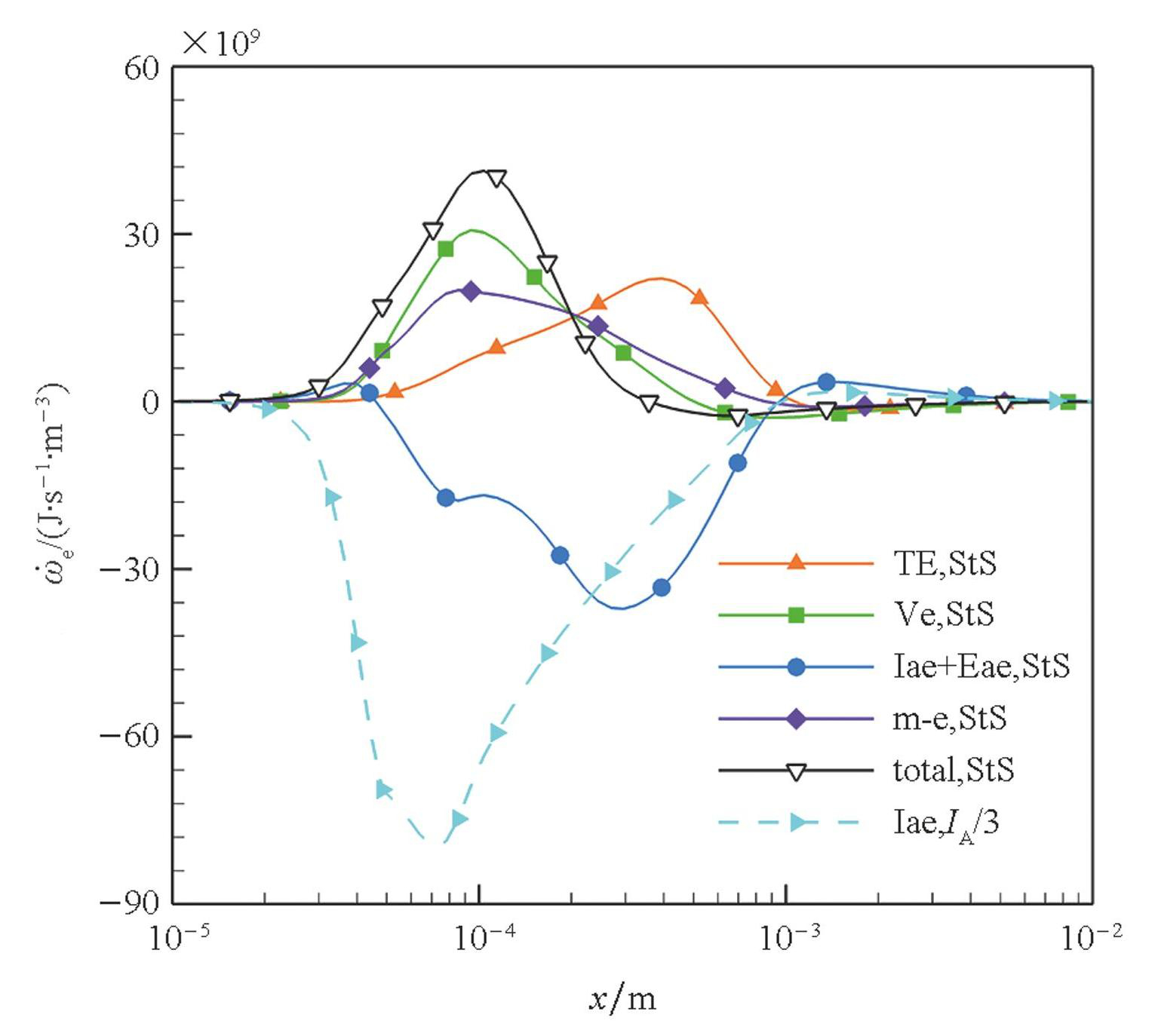
2025, 47(6):189-198. DOI: 10.11887/j.issn.1001-2486.24010027
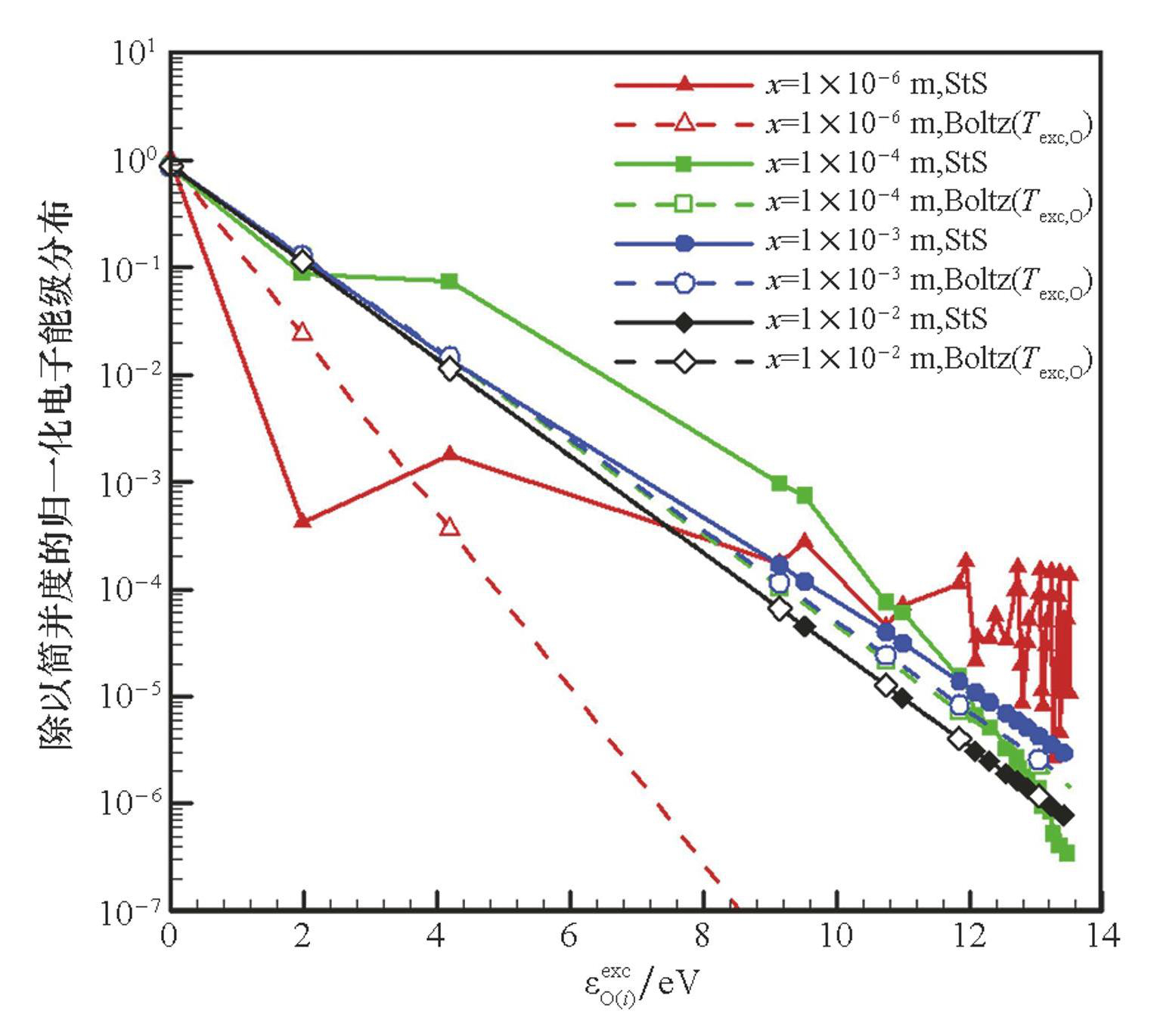
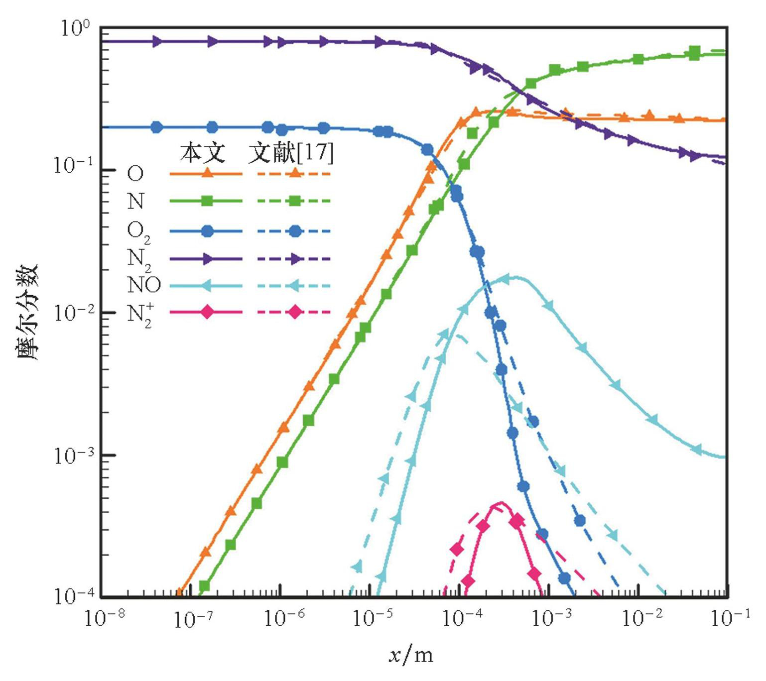
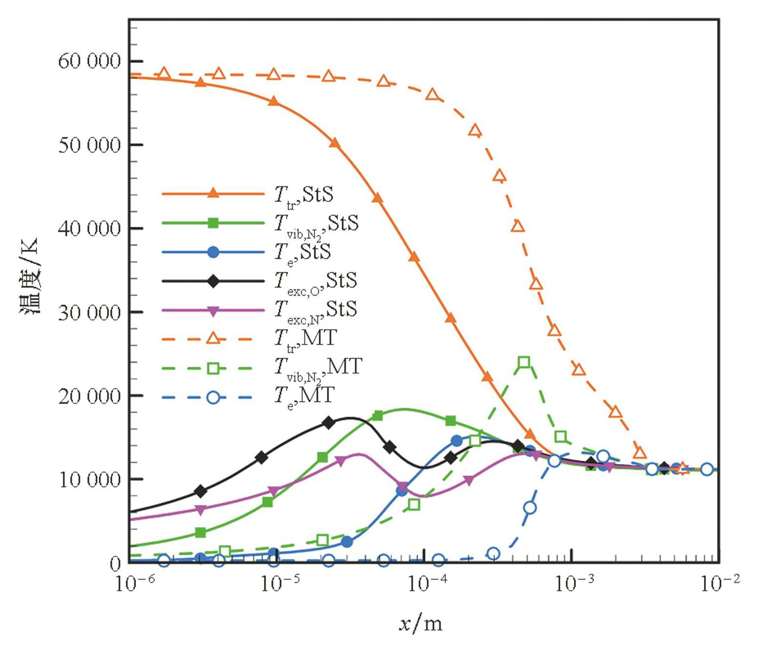
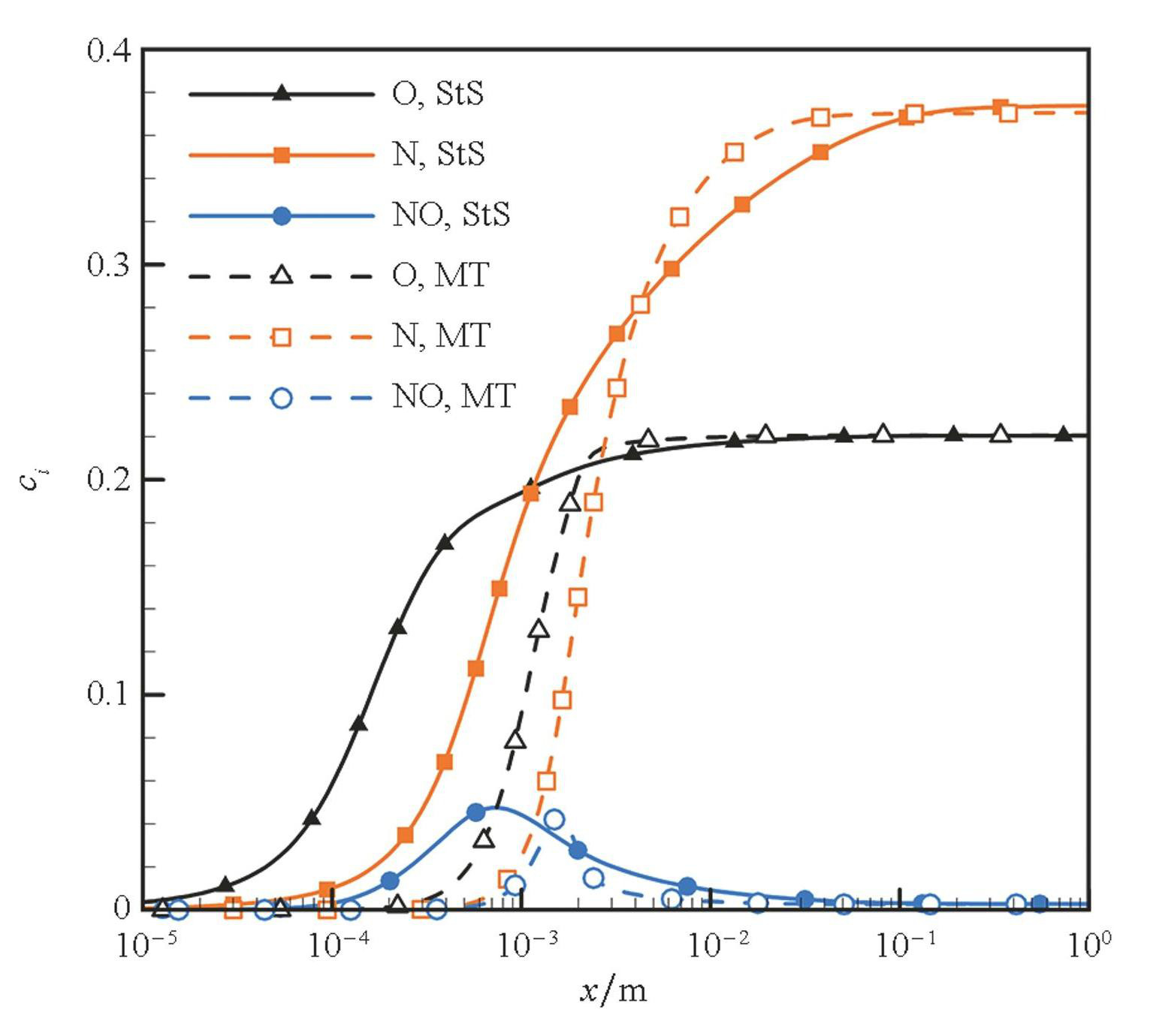
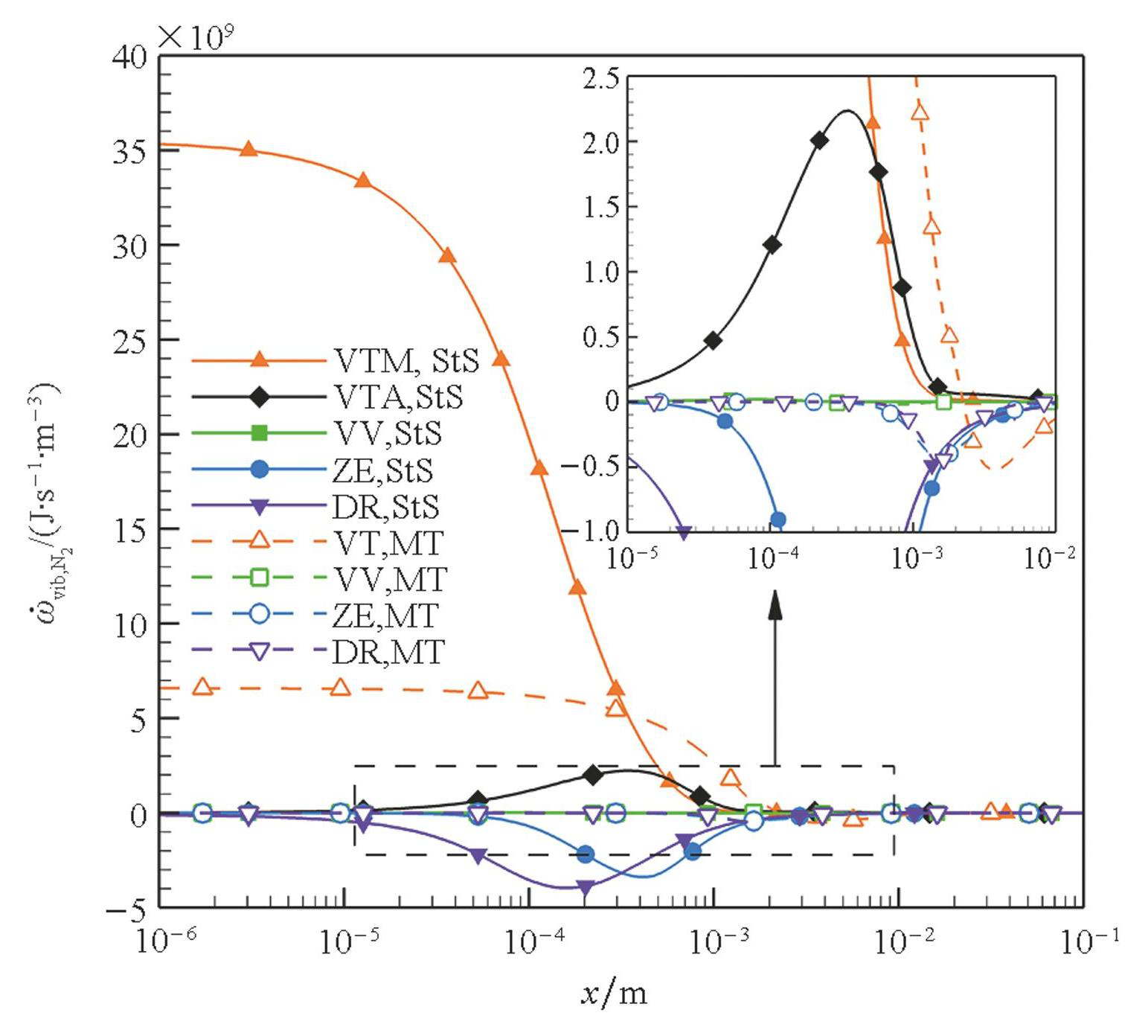
摘要:分别采用态-态模型和多温度模型进行11化学组元的高温空气正激波流动数值模拟与分析。态-态模型区分中性分子的振动能级和中性原子的电子能级;多温度模型区分平动-转动温度、各中性分子的振动温度和电子温度。波前气流速度5~11 km/s范围的模拟结果表明:在紧靠激波区域,由于离解和电离反应,分子高振动能级和原子高电子能级的分布低于对应温度下的玻耳兹曼分布;与态-态模型相比,多温度模型下振动能、电子能的激发和各内能模式的热平衡都更晚,化学反应更晚发生但更早结束;多温度模型预测的起因于化学反应的振动能损失偏小、起因于电子碰撞电离的电子能损失偏大,获得的各分子振动温度与电子温度不能准确描述粒子能级的非平衡分布。
2025, 47(6):199-207. DOI: 10.11887/j.issn.1001-2486.23090005
摘要:为探究纤维混杂复合材料层间性能对其拉伸力学性能的影响,采用7901和9A16两种不同韧性的环氧树脂作为基体,设计和制备了含不同碳纤维铺层数的碳/玻混杂复合材料。并通过理论推导和实验相结合的方式探究了Ⅱ型层间断裂韧性(GⅡC)对碳/玻混杂复合材料失效机理和力学性能的影响规律。结果表明,Ⅱ型层间断裂韧性越大,碳纤维层越趋向于碎片化断裂,具有更高地实现碎片化断裂的临界厚度,有利于伪延展行为的实现。此外,Ⅱ型层间断裂韧性对混杂复合材料模量、强度的影响不显著,变化均在5%以内;但其对伪延展应变有较大影响,当Ⅱ型层间断裂韧性由1.75 N/mm增加到2.08 N/mm时,伪延展应变下降了40.7%。
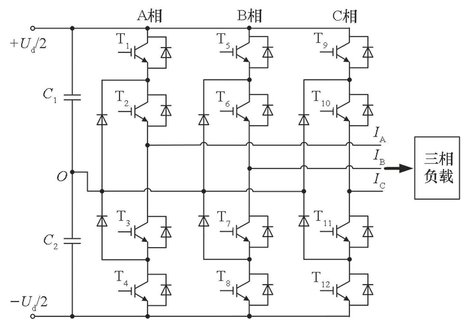
2025, 47(6):208-223. DOI: 10.11887/j.issn.1001-2486.23110003
摘要:功率半导体模块是电能变换器的核心能量转换单元,其合理的设计可以有效提升电能变换器的功率密度。针对现有研究缺乏系统总结的问题,依次从材料、芯片、封装、栅极驱动四个层面较为系统地总结了提升变换器功率密度的方法,分别是:使用宽禁带材料、改进芯片结构、采用先进封装和改进驱动设计。总结了不同方法提升变换器功率密度的原理,并对基于功率半导体模块设计提升变换器功率密度的现有研究进行分类对比;梳理出现有研究的主要挑战,并对未来的发展趋势进行展望。
2025, 47(6):224-234. DOI: 10.11887/j.issn.1001-2486.24090041
摘要:针对无人机目标体积小、在图像中所占像素少、纹理细节信息弱、算法难以有效提取红外无人机目标特征导致检测精度较低等问题,提出多尺度学习的目标检测算法。通过在模型的颈部网络中构造多尺度特征融合结构,引入多尺度特征学习模块,将深层网络和浅层网络的特征进行级联,获取目标在多个尺度上的特征,丰富特征图的语义信息和特征信息,显著提高了算法对小型无人机目标的检测精度。在训练过程中使用SIoU代替CIoU损失函数,使网络模型在训练过程中损失最小化,提高了回归精度。实验结果表明,与其他红外小目标、主流检测算法相比,所提方法能有效提高无人机目标的检测精度,在实际应用中可以满足探测无人机目标的检测精度需求。
2025, 47(6):235-244. DOI: 10.11887/j.issn.1001-2486.24080004
摘要:从三维Mesh数据中分割建筑物立面以识别对象,是三维场景理解的关键,但现有方法多依赖高成本的精细标注数据。针对该问题,提出了一种半监督学习方法,引入一种基于对比学习和一致性正则化的半监督语义分割(semi-supervised semantic segmentation based on contrastive learning and consistency regularization,SS_CC)方法,用于分割三维Mesh数据的建筑物立面。在SS_CC方法中,改进后的对比学习模块利用正负样本之间的类可分性,能够更有效地利用类特征信息;提出的基于特征空间的一致性正则化损失函数,从挖掘全局特征的角度增强了对所提取建筑物立面特征的鉴别力。实验结果表明,所提出的SS_CC方法在F1分数、mIoU指标上优于当前一些主流方法,且在建筑物的墙面和窗户上的分割效果相对更好。
2025, 47(6):245-252. DOI: 10.11887/j.issn.1001-2486.23120012
摘要:为研究航行状态下舰船腐蚀电场的产生机理与变化规律,将舰船电偶腐蚀阴极螺旋桨等效为旋转圆盘,建立湍流介质条件下旋转圆盘腐蚀电场等效模型。结合流体力学中边界层理论以及电化学腐蚀相关理论,计算层流及湍流介质流动状态下圆盘表面边界层流动状态及腐蚀电流密度,并对圆盘进行微分化处理,采用多个点电荷叠加的方法计算流动介质中受氧的传质过程控制下的旋转圆盘腐蚀电场。研究了不同转速下旋转圆盘腐蚀电场的变化规律,并进行了实验验证。结果表明:随着圆盘旋转速度的增加,腐蚀电场逐步增大。当圆盘表面介质流动状态由层流逐步转捩为湍流后,腐蚀电场模值会出现显著增大。
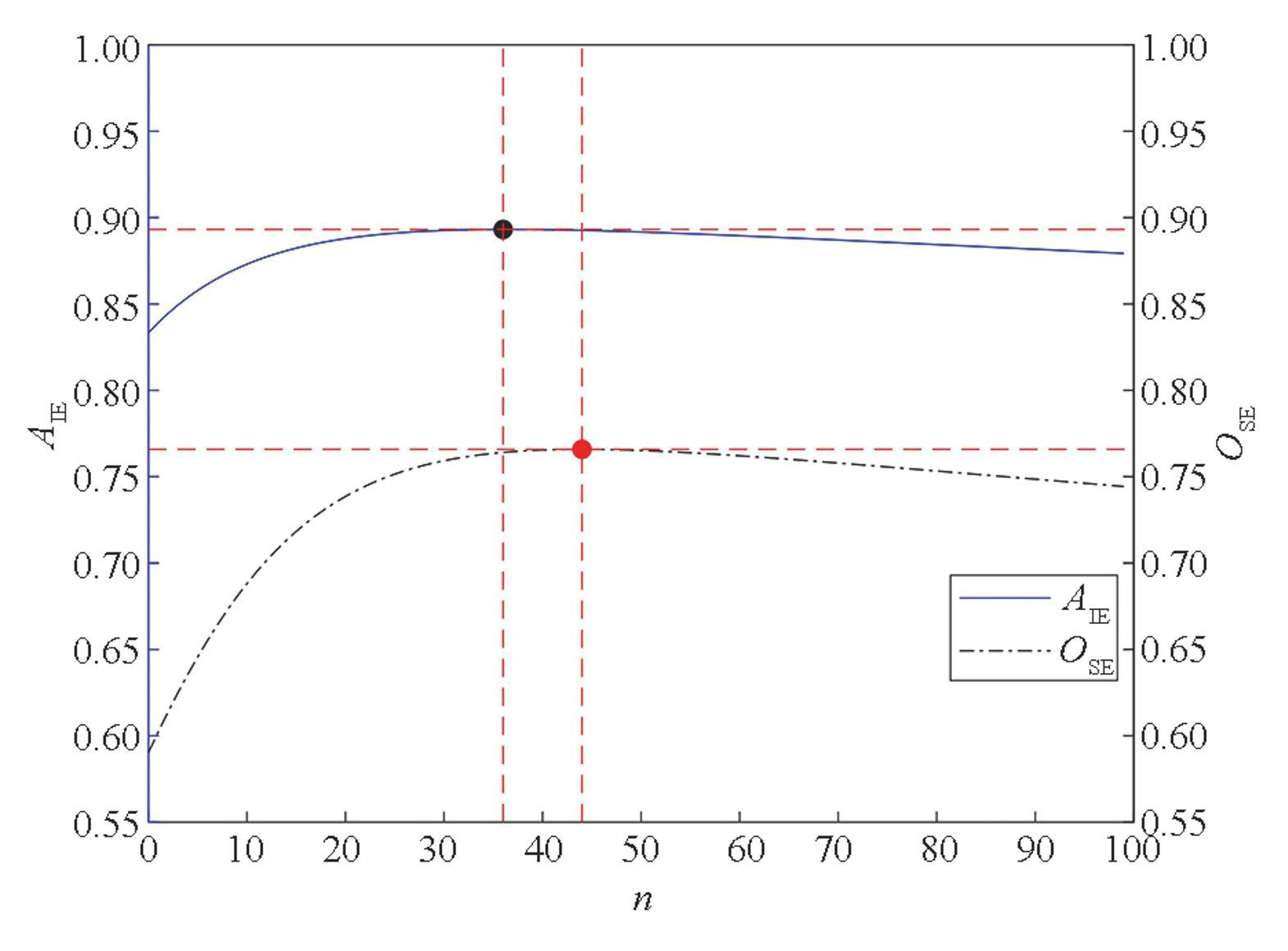
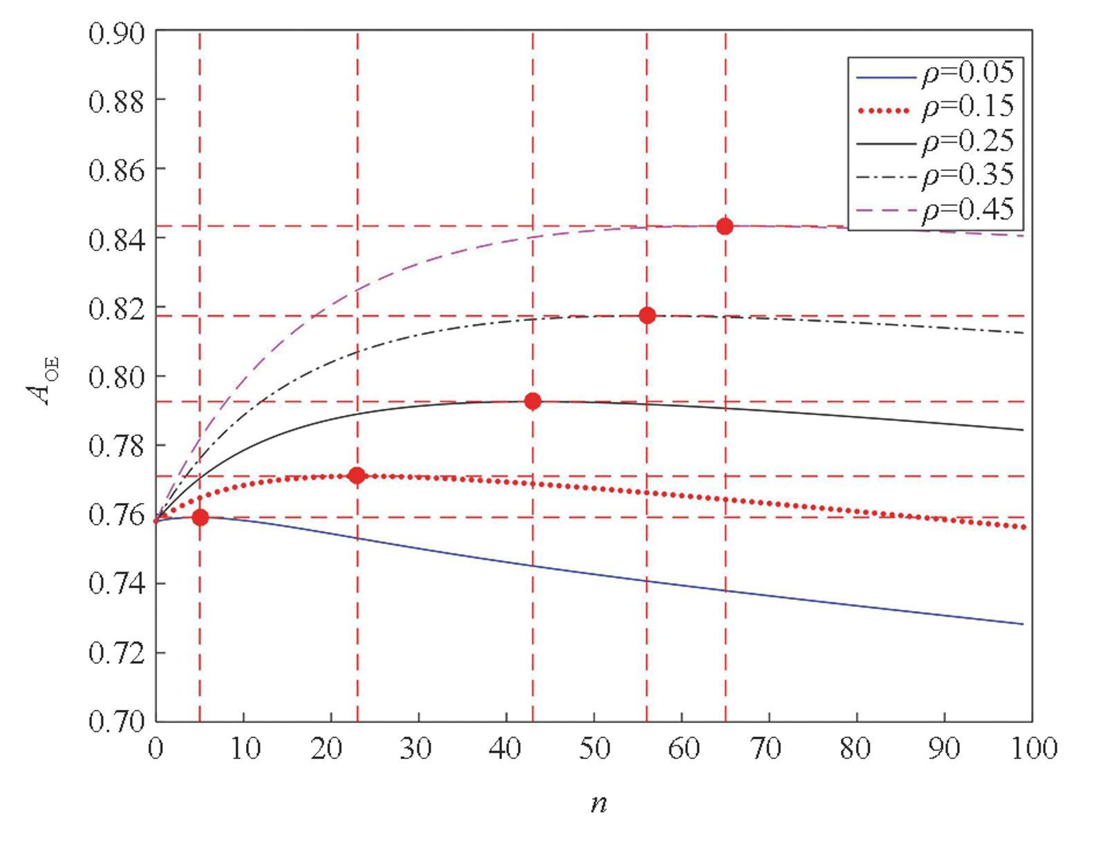
2025, 47(6):253-263. DOI: 10.11887/j.issn.1001-2486.25040037
摘要:为了提升时频系统完好性监测的灵敏度,提出了一种基于抗差卡尔曼滤波器的时频系统完好性监测方法。该方法利用时差历史测量数据构建抗差卡尔曼滤波器模型,实时估计时差预报偏差与频率偏差,分别进行一致性检测,实现完好性监测。通过实测数据与仿真分析对该模型与方法进行验证,结果表明:该方法可以有效地检测与识别相位跳变和频率跳变单故障,并向用户告警;在单故障场景下,相比传统的完好性监测方法,检测灵敏度提升约25.0%;在多故障场景下,该方法能有效检测故障,但存在识别故障不充分的问题,检测灵敏度相比单故障降低约26.2%,仍优于传统方法。
孙乾,郭阳,梁斌,池雅庆,陶明,罗登,陈建军,孙晗晗,胡春媚,方亚豪,高宇林,肖靖
2025, 47(6):264-273. DOI: 10.11887/j.issn.1001-2486.24010004
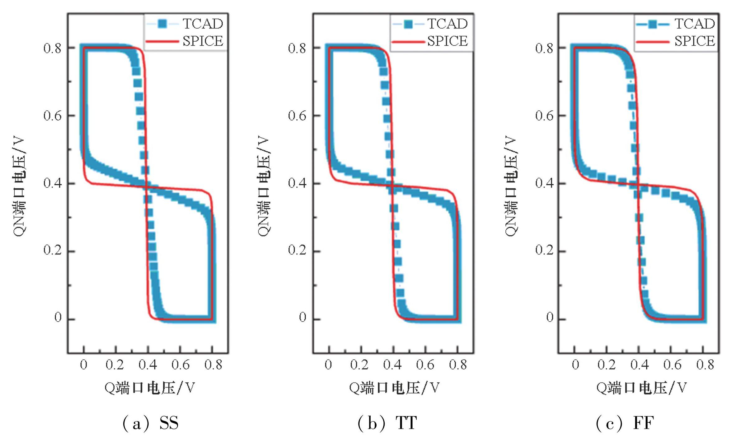
摘要:为了探究工艺涨落对亚20纳米鳍式场效应晶体管(fin field-effect transistor,FinFET)工艺静态随机存储器(static random-access memory, SRAM)单粒子翻转特性的影响,通过建立与商用工艺接近的高精度三维计算机辅助工艺设计模型,对不同工艺角下FinFET SRAM的单粒子翻转特性进行仿真。仿真结果显示,FinFET工艺SRAM的单粒子翻转阈值在不同的工艺角变化下产生微小波动,且敏感位置都在N型金属氧化物半导体上。为了明确具体的工艺参数涨落对单粒子翻转阈值的影响,对鳍的厚度、鳍的高度、栅氧厚度、功函数波动造成的单粒子翻转特性的影响进行研究。仿真结果表明,前两种因素对翻转阈值未产生影响,后两种因素对翻转阈值造成了微小的波动。首次发现工艺涨落对FinFET SRAM单粒子翻转阈值的影响大幅降低,该发现对研制高一致性的抗辐射宇航用集成电路具有重要意义。
2025, 47(6):274-286. DOI: 10.11887/j.issn.1001-2486.23110007
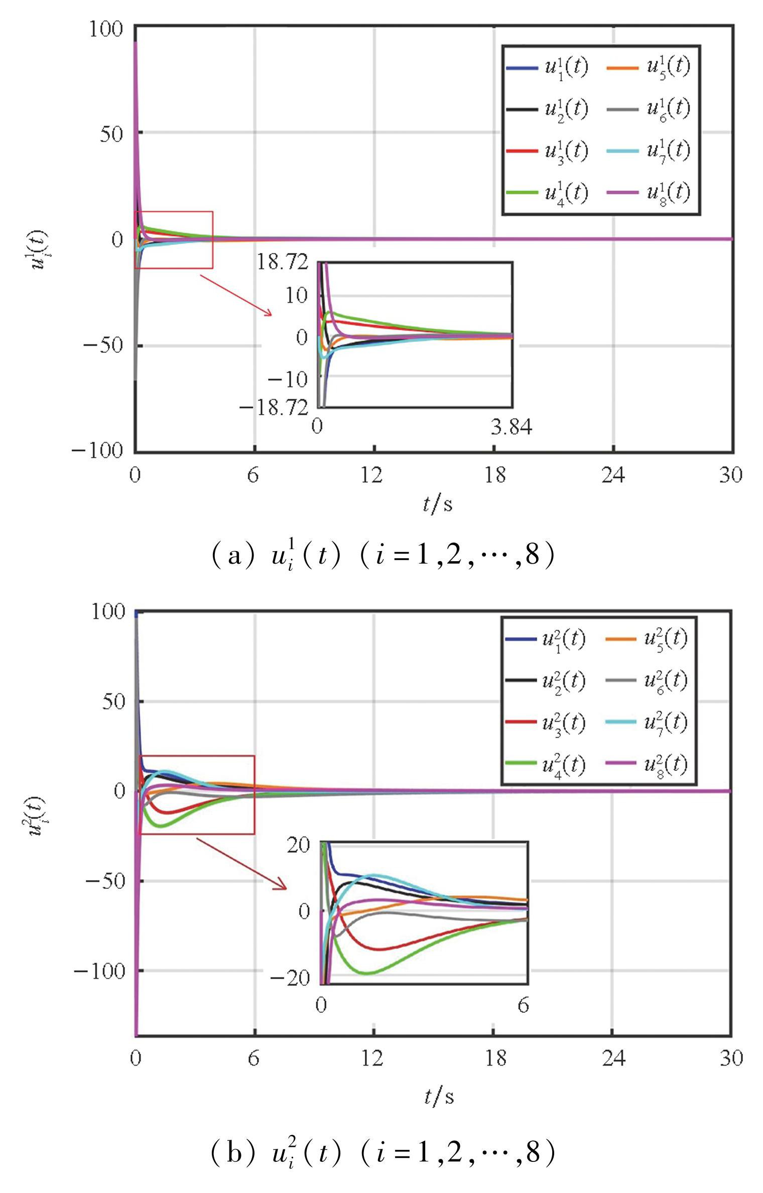
摘要:针对高阶连续线性多智能体系统,给出了采样通信条件下最小能量时变编队设计方法。利用采样时刻多智能体系统局部邻域信息,提出了考虑全局控制能量消耗的时变编队协同控制协议。采用状态空间分解方法,将多智能体系统的时变编队问题转化为分解后不一致子系统的稳定性问题。构造了编队可行性条件,利用广义特征值方法,给出了最小能量约束时变编队分析和设计的充分条件,确保多智能体系统在最小能量约束下实现采样通信时变编队。对理论结果进行数值仿真验证。仿真结果表明,采取最小能量约束编队控制方法,能够有效降低多智能体系统在采样通信条件下实现时变编队的全局控制能量消耗。
2025, 47(6):287-295. DOI: 10.11887/j.issn.1001-2486.23100025
摘要:预测与健康管理(prognostics and health management, PHM)指标是否科学将直接影响PHM的设计效果,进而影响装备的可用性。针对实践中缺乏理论性与可实现性强的PHM指标论证方法,提出从装备综合效能指标到PHM综合指标、再到PHM能力指标的分级论证方法。选取可用度作为装备综合效能指标,定义了健康状态评估率并将其作为PHM综合指标,推导出可用度与健康状态评估率的关系式,以可用度最大化为目标求解出健康状态评估率指标。证明了健康状态评估率等于故障覆盖率与评估准确度的乘积,二者分别取决于感知单元的数量和诊断预测方法的准确性,这对开展PHM设计有指导意义。通过案例检验了上述方法的有效性和实用性。
2025, 47(6):296-306. DOI: 10.11887/j.issn.1001-2486.23110001
摘要:针对电磁橇对实时准确的位置和速度信息的需求与传统定位测速技术的局限性或高昂成本的矛盾,提出并设计了一种基于游标卡尺结构的新型定位测速系统。阐明了高精度定位的实现原理以及相应的位置解析方法,并设计了位置外推预测算法和卡尔曼滤波算法以提高定位测速系统的分辨率和实时性。设计了实现所提定位测速功能的硬件电路和软件程序,搭建了同步带导轨实验平台对所提的定位测速系统进行验证。测试结果表明,所设计的系统能够实现毫米级定位精度,具有良好的实时性、准确性和工程应用价值。给出了所提的定位测速系统在电磁悬浮推进平台上的工程应用实例。




