李道春,刘奕良,阚梓,李永亢,孔令淇,芦悦煊,向锦武,赵仕伟
2026, 48(2):1-28. DOI: 10.11887/j.issn.1001-2486.25120035
摘要:低空气动环境呈现流场结构复杂、干扰源多样以及耦合效应显著等特征,对无人机气动性能与飞行安全产生重要影响,已成为低空无人机气动领域的研究重点。围绕低空复杂风场环境、空间限制环境和多无人机环境三类典型场景开展系统综述。对低空复杂风场的基本特征及建模研究进行了系统梳理,归纳了低空风场对无人机的影响及低空风场的主要研究方法。依据干扰机理和约束类型对空间限制环境进行了分类,系统总结了空间限制环境下无人机受到的气动影响。对多无人机环境下的无人机气动特性进行了总结,梳理了协同与非编队飞行两种工况下多无人机间气动耦合机理及研究方法。在此基础上,进一步提炼当前针对低空环境下无人机的气动研究所面临的核心问题与关键挑战,同时对本方向的未来研究重点进行了展望。
2026, 48(2):29-47. DOI: 10.11887/j.issn.1001-2486.25120033
摘要:针对低空无人飞行器在全球卫星导航系统(global navigation satellite system,GNSS)拒止环境下自主定位的迫切需求,系统综述了基于“检索—匹配—位姿解算”框架的飞行器绝对视觉定位技术。讨论了低空观测带来的成像差异、场景尺度变化和地物遮挡等问题,阐明了该分层定位框架在解决大范围、长航时定位问题上的技术优势。在此基础上,分别从跨视角图像检索、像素级特征匹配及飞行器位姿解算三个核心模块,系统梳理了从传统手工特征到深度学习范式的技术发展趋势与研究现状。结合机载边缘计算平台的部署需求,分析了现有技术局限并展望了未来研究方向。本综述可为低空飞行器绝对视觉定位的技术研究与工程应用提供参考。
2026, 48(2):48-63. DOI: 10.11887/j.issn.1001-2486.25110051
摘要:信息技术与新能源领域的突破性进展,对材料内部的能量调控提出了更严苛的要求。传统材料设计常陷入光、热、电输运参数间的固有制衡,亟须建立从底层解耦并重构材料功能的新范式。本文系统地综述了以纳米多孔气凝胶为载体,通过功能序构设计理念,利用不同维度结构基元的跨尺度组装,实现对多种能量载流子输运的精准调控的研究进展。基于此理论框架,聚焦于光热电转换的前沿应用,重点评述了气凝胶在光热转换、光电转换、热电直接转换及光热电协同转换中的研究进展与性能优化途径。展望了人工智能驱动的逆向设计和多载流子协同调控等未来研究方向,为按需设计下一代高性能光热电转换材料提供新视角。
2026, 48(2):64-91. DOI: 10.11887/j.issn.1001-2486.25070019
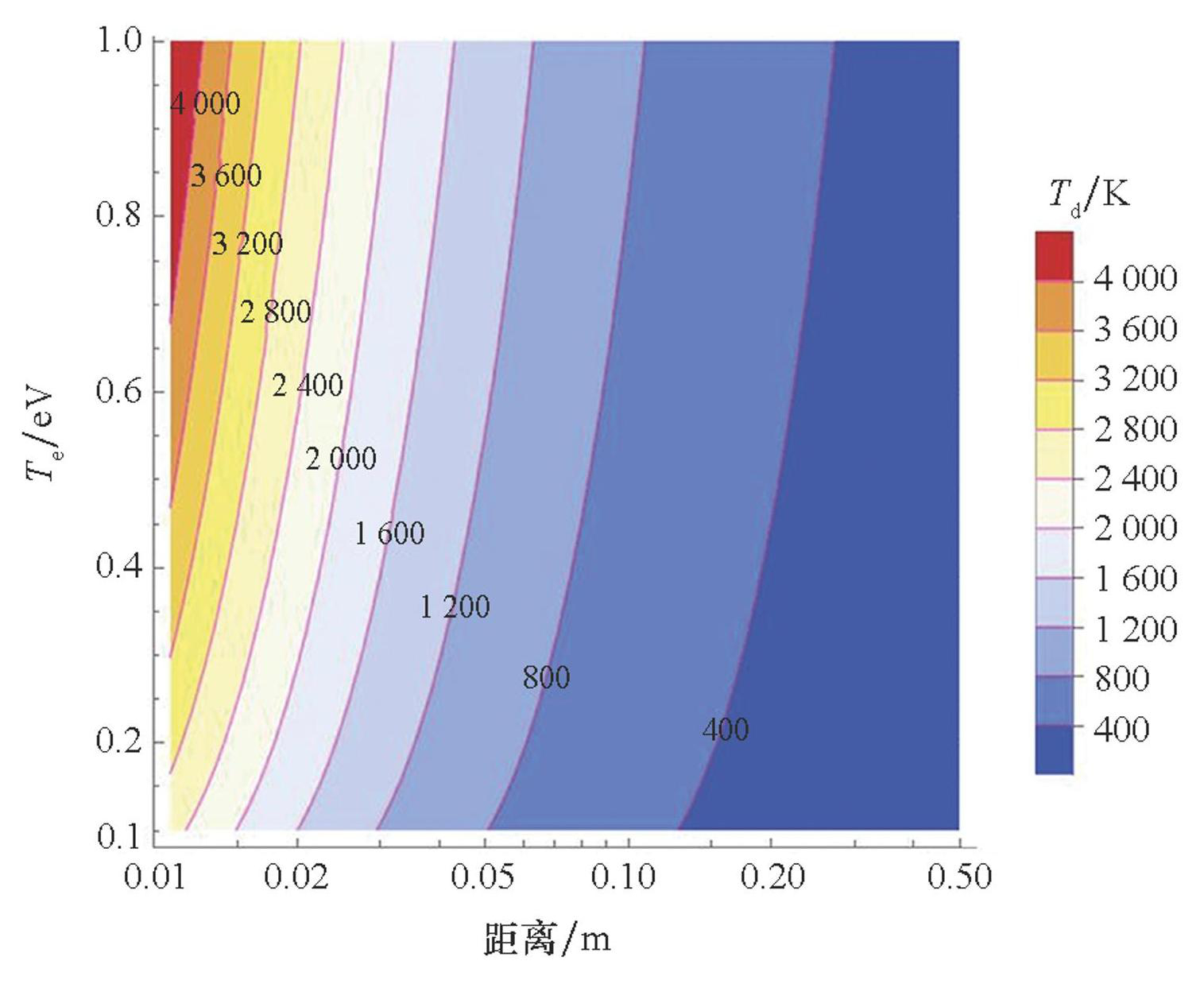
摘要:随着空间活动的日益频繁,由空间碎片和微流星体引发的超高速碰撞(hypervelocity impact, HVI)已成为威胁在轨航天器安全的主要因素。碰撞不仅造成机械损伤,其产生的等离子体所引发的电磁效应更是对高度集成化的航天器电子系统构成严重威胁。本文系统综述了超高速碰撞等离子体物理效应的研究进展,梳理了碰撞等离子体的产生机制、动力学特性、电磁辐射及诱导放电的理论与实验,重点聚焦于超高速碰撞中凝聚相产物(尘埃颗粒)的引入所形成的尘埃等离子体效应。本综述旨在为相关领域的研究人员提供一份全面的文献总结,并指明未来研究的关键科学问题与发展方向,以期为提升航天器在轨生存能力和发展新一代电磁防护技术提供理论支撑。
2026, 48(2):92-120. DOI: 10.11887/j.issn.1001-2486.25120013
摘要:飞行器高速飞行过程中,雨滴冲击侵蚀会对表面材料产生显著损伤,进而严重影响飞行性能与结构安全性。本文旨在系统综述高速雨滴冲击侵蚀的力学机理、关键影响因素及相应防护技术进展。在试验方面,目前研究主要依托风洞、火箭撬及旋转臂等装置构建真实雨场模拟环境,并借助高速摄影记录侵蚀动态过程、激光测速获取雨滴撞击速度,实现对侵蚀行为的多维度观测;在数值模拟方面,重点介绍了有限元法、光滑粒子流体动力学法等主流模拟技术,并梳理了现有研究的进展,包括通过建立液固耦合模型,分析冲击过程中应力波传播规律与材料动态响应特性等方面。现有的相关结果表明,雨滴冲击速度、冲击角度及材料力学性能是影响侵蚀速率的关键因素。基于飞行器的实际飞行包线参数,可针对性地开展耐雨蚀性能优化设计,从而为提升飞行器在恶劣气象环境下的服役安全提供理论依据与技术支撑。
2026, 48(2):121-130. DOI: 10.11887/j.issn.1001-2486.25100021
摘要:针对不同马赫数下平板边界层转捩位置的预测问题,开展小样本条件下的高效预测方法研究。利用非线性抛物化稳定性方程生成大量流动转捩数据,以Ma=0.01的样本作为源域,Ma=0.1,0.2,0.4,0.8,1.6的样本作为目标域,系统分析不同马赫数对转捩图案的影响。基于卷积神经网络,构建流场图案与转捩位置的映射关系,并采用渐进式解冻结合分层学习率的迁移学习策略。结果表明,迁移学习显著优于直接训练:在Ma≤0.4时,仅需目标域1/10的样本即可实现平均绝对误差低于真实值均值的2.04%;在Ma≥0.8条件下,通过渐进式领域适应策略可将误差控制在6.19%以内。该方法有效提升了小样本条件下的转捩预测能力,为跨工况流动转捩预测提供了技术路径。
2026, 48(2):131-143. DOI: 10.11887/j.issn.1001-2486.25100051
摘要:当前世界各国普遍缺乏有效防御高速飞行器的能力,相关基础研究仍处于起步阶段,加快发展高速目标防御技术对维护空天安全具有重要意义。针对此背景下临近空间防御对抗中存在的防御态势狭窄、速度劣势明显、单弹防御力弱等问题,对当前临近空间高速飞行器防御制导律的发展现状进行综述,分别从复杂攻防场景、协同制导机理、真实环境约束等方面剖析现有制导律研究的不足,并展望了未来高速飞行器防御制导律的重点发展方向,旨在为未来高速飞行器防御体系建设和精确制导领域的前沿基础研究提供参考。
2026, 48(2):144-162. DOI: 10.11887/j.issn.1001-2486.25100005
摘要:本文系统梳理了模型预测控制方法及其在飞行器系统中的应用。从飞行器系统的任务场景与技术难点出发,深入分析了飞行器控制系统的设计需求。针对不同类型飞行器控制算法的设计要求,调研并构建了模型预测控制的框架体系,系统回顾了模型预测控制方法的起源、发展以及基础理论,调研了鲁棒模型预测控制、Lyapunov模型预测控制、切换模型预测控制以及显式模型预测控制等主流方案,厘清了近年来该领域的主要研究成果。基于模型预测控制的方法框架,系统调研了模型预测控制在四旋翼无人机、直升机、固定翼飞行器和高速飞行器系统中的应用。最后,展望了模型预测控制方法在飞行器领域的未来研究方向,并给出总结性评述。
2026, 48(2):163-177. DOI: 10.11887/j.issn.1001-2486.25100019
摘要:空天过渡区位于50~250 km高度区间,是高超音速武器突防与电子战博弈的战略要域,更是影响作战效能的关键战场。人工智能(artificial intelligence,AI)正深度赋能该区域的信息对抗体系,推动其向动态化、智能化演进。本文系统综述了AI在“感知—融合—预测—对抗”全链条中的关键技术与应用:依托深度学习实现环境参数的高效反演;利用智能融合构建战场环境数字孪生;借助物理信息提升预报精度;发展自主学习与博弈决策能力,支撑精准认知与抗干扰。同时,本文聚焦于AI赋能下信息对抗中的核心难题:环境感知不确定性、模型可解释性弱、跨域迁移困难与数据获取受限等。最后,对未来发展方向进行了展望,并强调AI正从技术工具演变为核心驱动力。
2026, 48(2):178-186. DOI: 10.11887/j.issn.1001-2486.25040019
摘要:聚集器是一类基于坐标变换热传导、等效介质与散射相消理论,通过调控热导率分布或几何构型,将大尺度热流高效汇聚至局部区域,实现稳态与瞬态热输运精准调控的热功能器件。随着材料科学与先进制造的发展,相关研究正从理论模型走向工程实现,并在微电子散热、热电能量采集、能源加热与热疗等领域展现出应用潜力。围绕热聚集器的物理机制、结构设计与实现路径,系统梳理其发展脉络与代表性工作,比较不同理论框架与构型方案的适用条件与性能特征,并结合典型应用分析其技术优势与工程可行性,进一步展望其在复杂几何、多尺度体系、新型能源系统及极端热环境调控中的发展趋势。
程源,邓小兵,周航,陈乐乐,罗覃,徐文杰,徐耀耀,段小春,周敏康,胡忠坤
2026, 48(2):187-199. DOI: 10.11887/j.issn.1001-2486.25120020
摘要:基于激光干涉落体型的绝对重力测量是建立重力测量基准的主要手段,也是当前使用的重力基准仪器。近年来,量子绝对重力测量技术的发展为建立更高精度的重力基准提供了新机遇。华中科技大学在国家发展改革委的支持下建设了“精密重力测量研究设施”(precision gravity measurement facility, PGMF)国家重大科技基础设施,该设施中的一个核心建设内容是建立微伽级的绝对重力测量基准站,为重力测量仪器和数据提供统一的基准参考,也是实现重力场高精度测量和应用的基础。高精度重力测量仪器是 PGMF 实现重力测量基准的核心设备。为此,PGMF自主研制了适用于台站测量的基准型量子绝对重力仪和用于基准延拓的小型化量子绝对重力仪,并建立了重力比对场及背景物理环境监测系统,最终建成了微伽级重力测量基准站。
2026, 48(2):200-213. DOI: 10.11887/j.issn.1001-2486.25110033
摘要:光纤超连续谱具有光谱宽、亮度高、空间相干性好等优势,在光电对抗、气体探测、光学相干层析成像等领域应用前景广阔。针对不同应用场景对超连续谱性能提出的差异化需求,分别从光纤超连续谱的功率提升、长波拓展、低噪声研究三个核心方向,回顾了近年来在上述三个方面的研究进展,总结了性能提升的技术路线,并对未来的发展进行了展望,旨在为高性能超连续谱的研制与应用提供帮助。
2026, 48(2):214-227. DOI: 10.11887/j.issn.1001-2486.25110009
摘要:资料同化通过融合大气化学模式和多源观测数据,减小模式输入数据的不确定性,是提高大气化学模式预报准确率的重要技术方法。针对大气化学资料同化技术,系统梳理了污染气体和气溶胶初始场同化从单一状态变量向多元状态变量的转变过程,同时总结了采用集合方法与四维变分方法的污染物排放源同化反演,在排放源精度提升、时空分辨率优化及对污染物浓度预报改进方面的重要进展。随着观测数据的爆炸式增长,如何将高分辨率地理遥感数据充分用于大气化学资料同化是当前领域面临的核心挑战,而资料同化与人工智能算法的深度融合,是突破这一技术瓶颈、显著提升大气成分分析与预报精准度的关键研究方向。
2026, 48(2):228-248. DOI: 10.11887/j.issn.1001-2486.25090002
摘要:海上无人水面艇集群作为推动海洋智能化发展的核心技术,在军事侦察、环境监测、海上搜救等领域展现出重要应用价值。然而,海洋环境所固有的强动态性、不确定性及通信约束特性,对海上无人水面艇集群的高性能集群控制构成严峻挑战。为此,系统梳理了该领域的研究进展:阐释了海洋环境特性,归纳了海上无人水面艇国内外发展现状,剖析了复杂海洋环境下无人水面艇集群系统的核心控制需求与关键挑战;进一步全面综述了基于轨迹引导、基于路径引导和基于目标引导三类代表性集群控制方法的研究进展;最后展望了海上无人水面艇集群控制未来的研究方向和发展趋势。
2026, 48(2):249-265. DOI: 10.11887/j.issn.1001-2486.25120016
摘要:由于人类智能和人工智能的局限性,发展人机协同的混合增强智能是新一代人工智能研究的主要方向之一,而协同控制算法设计是实现此类智能的核心问题。因此,本文对人机协同增强智能控制系统的研究现状进行综述。针对人类行为的黑箱特征,系统地梳理了人在回路控制系统中的人类行为建模方法,分析了各种建模方法的优缺点及适用范围;对于人机协同增强智能控制的实现,详细阐述了不同控制理论框架下机器协同人类的控制设计方法;调研了人机协同控制技术在多智能体领域的扩展性研究,并讨论了人机协同控制系统中的混合智能评价方法;此外,还提供了人机协同增强智能控制方法在医疗、工业、军事等领域的应用场景;给出了大模型、具身学习等新技术加持下的人机协同增强智能控制研究展望。
2026, 48(2):266-283. DOI: 10.11887/j.issn.1001-2486.25110046
摘要:高性能互连网络是决定超算与智算系统可扩展性的关键因素之一。拓扑是互连网络可扩展性设计的核心。拓扑设计既要考虑应用与软硬件系统等宏观设计需求,也要考虑路由器芯片端口数、虚拟通道数量、封装密度等多种制约因素。本文较为系统地分析总结了学术和工业界的重要拓扑结构,并对有代表性的新型拓扑进行了详细阐述;分析了自适应路由在高阶网络中的设计难点,对比了典型拓扑的性能和成本,并讨论了选型建议;初步探讨了未来拓扑设计的挑战与发展趋势,包括从智算应用特点出发针对性地设计高性价比的网络拓扑、供电制约的拓扑设计需要拓扑和大楼供电能力的配合、超节点内外网络拓扑的融合与协同设计等。
2026, 48(2):284-295. DOI: 10.11887/j.issn.1001-2486.25120014
摘要:当前大模型训练中,模型参数量呈指数级增长与GPU显存容量缓慢增长的矛盾日益加剧。重计算和计算卸载两种显存优化技术,均是以时间换空间的思路来减小显存开销。本文分析了重计算技术和计算卸载技术的发展动态,针对国产人工智能计算平台的架构特点,剖析了国产平台上大模型训练显存优化面临的硬件带宽瓶颈、定制化指令集与软件生态适配等难题,分析了国产平台软硬件协同显存优化等技术发展路径,对MT-3000等国产计算平台上的大模型训练显存优化技术展开探讨,以期为国产平台上的大模型训练提供参考。
2026, 48(2):296-310. DOI: 10.11887/j.issn.1001-2486.25100044
摘要:在大数据智能化时代,知识已成为驱动技术发展的根源动力。大数据知识融合通过关联多源碎片化数据构建统一知识体系,是增强知识完备性、提升认知智能水平的关键支撑。立足于基本范式与经典方法,系统归纳了知识表示学习、知识对齐匹配及知识冲突消解三大关键环节的研究现状。同时,深入探讨了大数据背景下的新进展,涵盖时序知识融合、跨模态知识融合及大模型知识融合等前沿方向。在此基础上,展望未来发展趋势,重点分析了符号化与参数化知识融合、跨模态时序知识融合等潜在研究问题。全景式梳理基础环节与新兴范式,旨在为大数据知识融合领域的理论扩展与技术演进提供重要借鉴与指导。
2026, 48(2):311-330. DOI: 10.11887/j.issn.1001-2486.25060038
摘要:在智能制造、航空航天、机器人等领域,系统动态模型未知的问题普遍存在,严重制约了传统基于模型控制方法的应用。强化学习作为一种数据驱动控制方法,具备通过与环境交互实现控制策略学习优化的能力,在应对模型未知场景下的最优控制任务中展现出广阔前景。围绕连续时间系统中的动态模型未知问题,通过结合工业实例、理论分析结果等方式,回顾了通用强化学习算法发展脉络及在模型已知场景的应用,梳理了基于模型的强化学习、离策略积分强化学习和Q学习等模型未知场景的代表性方法,介绍了基于Lyapunov的理论分析工具及相关假设,重点讨论了信息不完备场景下的强化学习决策大模型、安全强化学习以及稳定性与鲁棒性增强等前沿方向及现有方法面临的挑战。
2026, 48(2):331-348. DOI: 10.11887/j.issn.1001-2486.25120052
摘要:阻变存储器(resistive random-access memory, RRAM)作为最具潜力的新型非易失性存储技术之一,因其结构简单、功耗低、速度快及良好的可扩展性,正成为突破传统“存算分离”架构下数据搬运瓶颈的重要方向。然而,其大规模应用仍受限于开关均匀性、循环耐久性及集成可靠性等挑战。本文系统综述了RRAM在机理解析、性能调控、工艺集成与系统应用方面的研究进展。从阻变机制出发,总结了工艺优化及电学编程策略改善器件一致性和可靠性的关键方法;在集成层面,系统回顾了RRAM在先进工艺节点下与互补金属氧化物半导体工艺兼容性的探索,以及高密度三维集成方面的最新进展;在应用方面,重点分析了RRAM在高能效存算一体、类脑计算、智能感知及安全芯片中的发展趋势。面向未来,本文指出需在机理-材料-架构层面开展跨尺度协同创新,以支撑智能计算与信息技术融合发展中的战略目标。
2026, 48(2):349-366. DOI: 10.11887/j.issn.1001-2486.25110056
摘要:雷达通信一体化通过硬件资源共享与信号波形协同设计,突破传统分立架构下的频谱冲突、硬件冗余和电磁兼容性瓶颈,提升平台的综合作战效能与战场生存能力。系统回顾了雷达通信一体化技术从概念萌芽、架构演进到系统实现的发展历程,重点分析了基于线性调频、正交频分复用、正交时频空等主流信号体制的雷达通信一体化波形设计方法;深入探讨了以感知性能为中心的多种波形设计准则,包括方向图匹配、克拉美罗界优化及信息论方法等;梳理了从软件无线电兼容验证、机载多模态波形融合,到多节点与多域协同的工程实践之路,清晰展现了雷达通信一体化技术从理论到实践的演进路径。通过全面展示雷达通信一体化系统从常规体制到多输入多输出体制,再到原理样机验证的完整技术脉络,为未来雷达通信一体化技术的研究与开发提供系统的理论指导和实践参考。
2026, 48(2):367-381. DOI: 10.11887/j.issn.1001-2486.25100029
摘要:近年来,生成式人工智能凭借其强大的数据分布拟合能力及数据生成补全能力,逐渐被引入无线电频谱认知领域,相较于传统依赖物理建模、数学插值以及判别式人工智能的方法,大幅提升了认知准确度。本文系统梳理了生成式人工智能赋能无线电频谱认知的研究进展,重点分析了不同生成范式的技术原理、应用场景及代表性工作,并深入探讨了训练数据稀缺、未知场景泛化能力不足、模型可解释性有限等生成式人工智能用于无线电频谱认知时面临的挑战。未来,通过跨模态知识融合、物理机理嵌入、可信评估构建,生成式人工智能有望推动无线电频谱认知向高精度、强泛化、可解释方向发展,有效支撑频谱资源高效利用。
2026, 48(2):382-395. DOI: 10.11887/j.issn.1001-2486.25050009
摘要:基础模型因其提供了一种通用、可泛化的解决方案,成为雷达遥感智能解译领域的关注重点。目前雷达遥感基础模型在理论与应用层面均取得了重要进展,及时总结现有研究进展具有重要意义。为了进一步推进雷达遥感基础模型相关科学问题的研究进展,阐述了基础模型的概念、关键技术和评价方法;在此基础上,介绍了目前雷达遥感基础模型的研究现状和应用效果,对典型的方法和基础模型实例进行了梳理和总结。最后从模型架构设计、可解释性研究、轻量化方法和安全性评估四个方面进行了讨论和展望。
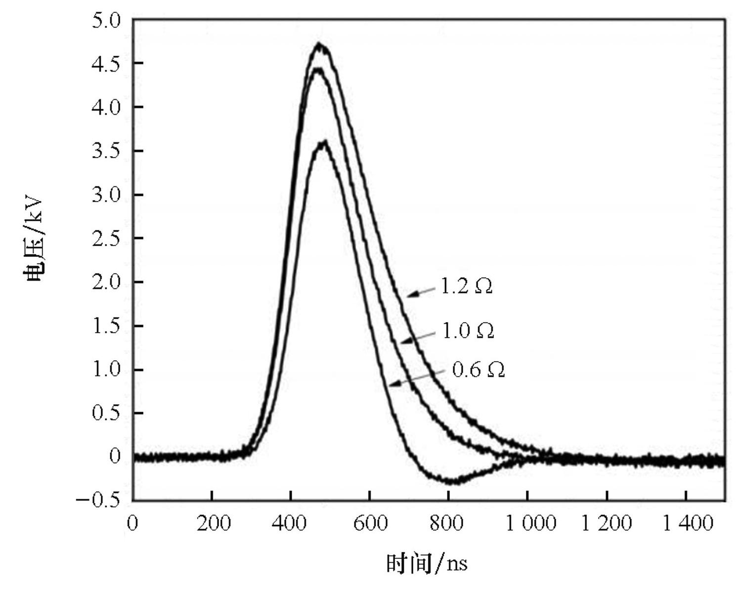
2026, 48(2):396-406. DOI: 10.11887/j.issn.1001-2486.25120044
摘要:固态脉冲功率驱动源是实现高功率微波系统紧凑化与高重复频率运行的关键。本文综述了固态脉冲功率驱动源的国内外研究现状,重点调研评述了基于模块化叠加的三种主流技术路线:固态Marx脉冲发生器、固态直线变压器驱动源、固态层叠Blumlein线脉冲功率驱动源。从开关的角度切入,提出当前面临的技术问题主要集中于开关工作特性与频率提升的制约因素、能量损耗和热管理、驱动与控制三个方面。同时,探讨了高重复频率固态脉冲驱动源的未来发展趋势,可为高重复频率固态脉冲功率驱动源的研究和技术路线探索提供参考和依据。




