摘要
针对视频小卫星与观测目标存在较大初始相对姿态偏差和角速度,目标容易偏离相机视场造成脱靶的问题,设计了一种视频小卫星目标跟踪视野分区防脱靶控制方法,该方法将星载相机矩形成像视野按照内切圆划分为内外两部分,内切圆内部和外部分别基于势函数和拟欧拉旋转法设计跟踪控制器,并利用Barbalat引理证明两个区域控制律的渐近稳定性,同时在理论上证明了目标进入视野内切圆区域后,在基于势函数的控制器作用下可以确保不脱靶。通过控制器对比仿真,结果表明拟欧拉旋转法相比于比例-微分(proportional-derivative, PD)控制具有更强的抑制目标偏离视场能力,结合拟欧拉旋转法和势函数法的视野分区控制与全视场的拟欧拉旋转法相比,能够有效实现对较快速机动目标的防脱靶控制,从而实现连续跟踪观测。
Abstract
An anti-off-target control method for small video satellite target tracking based on visual field zoning was proposed to address the problem of large initial relative attitude deviation and angular velocity between small video satellite and observation targets, which can easily deviate from the camera field of view and cause off target. In this method, the rectangular imaging field of the satellite-carried camera was divided into inner and outer parts according to the tangent circle. The tracking controller of the inner and outer parts of the tangent circle was designed based on the potential function and the quasi-Euler rotation method respectively. By using the Barbalat′s lemma, the asymptotic stability of control laws in both regions was proved, and it was also proved by theory that the potential function controller can ensure that target would not leave the inscribed circle of visual field after entering it. Through controller comparison and simulation, the results show that the quasi-Euler rotation method has a stronger ability to suppress target deviation from the field of view compared with PD control. Compared with the full quasi-Euler rotation method, the field of view partition control combining the quasi-Euler rotation method and potential function method can effectively achieve anti-off-target control for faster maneuvering targets, thereby achieving continuous tracking and observation.
当前空间碎片、失效航天器日益增多,空间环境日益复杂,空间目标观测需求日趋迫切。视频小卫星因研制周期短、姿态机动敏捷、实时视频成像等独特优势[1-3],在空间目标探测与跟踪中有广阔的应用前景,成为地基观测手段的有效补充。
基于图像信息的目标跟踪不依赖于目标先验位置信息[8],在地面机器人、空中机器人、无人机等领域[9-15]逐渐有学者将其应用于视频卫星目标跟踪[16]。该方法是指利用相机所获取的实时图像信息,以目标在视场中投影位置与期望位置的实时偏差作为控制反馈,从而实现对目标的跟踪。文献[16]针对对地观测卫星的姿态跟踪问题提出一种基于图像反馈的姿态控制算法,实现对地面目标的凝视跟踪;文献[17]基于图像信息实现对空间碎片的运动预测和连续跟踪;文献[18-19]基于未标定的相机设计自适应控制器,分别实现对地面非合作目标和深空目标的自适应凝视跟踪控制;文献[20]利用视频小卫星的误差四元数和误差角速度设计PD控制器,实现对非合作空间目标的稳定跟踪;文献[21]提出一种双曲正切模糊滑模控制律,利用吉林一号图像信息作为输入进行仿真,结果表明该方法能够实现对空间目标的视觉跟踪。然而,上述研究工作都没有考虑在控制过程中如何确保目标始终处于视野中的问题。通常空间目标初入相机视场时与视频小卫星存在较大的相对角速度,容易偏离视场脱靶从而导致跟踪任务失败。因此,确保目标进入相机视场后不发生脱靶是实现连续跟踪观测的重要前提。
势函数法最初用于解决机器人规避空间障碍物的路径规划问题[22-24],具有优异的实时性能。之后逐步应用到卫星姿态自主规划、空间站和大型航天器受约束条件下的姿态规划和控制问题[25]。文献[26]基于势函数法提出在多种姿态约束区域限制下的三轴姿态重定向的自主机动规划算法;文献[27]针对航天器存在输入饱和与姿态角速度受限的问题,提出一种抗干扰的高增益控制方法,实现了良好的控制性能。文献[28]基于势函数和扰动观测器设计抗干扰、抗饱和的反馈控制律,用于完成存在姿态约束、输入饱和以及随机扰动条件下姿态重定向机动任务。文献[29]基于势函数设计一种自适应反步控制器,在输入饱和与时变惯性条件下实现了有效控制。然而,势函数法尚未在视频小卫星对空间目标跟踪观测防脱靶控制中得到应用。视频小卫星的视觉跟踪防脱靶问题本质上是一种姿态约束问题,因此将势函数法应用于防脱靶控制具有潜在的可能性。
根据欧拉旋转定理,定点转动刚体的任何位移都可以通过绕过定点某一轴的一次转动来实现,该轴称为欧拉轴。拟欧拉旋转法的思想是通过将误差角速度分解为与欧拉轴平行和垂直的两部分,在控制律中放大导致目标投影在像平面发生侧偏的误差角速度分量,以减小目标投影轨迹偏离视场中心的程度,从而防止目标脱靶。基于拟欧拉旋转法的控制器能减小控制过程中目标偏离图像中央的幅度,但是与比例-微分(proportional-derivative,PD)控制一样,都很难从理论上严格证明目标不脱靶。
针对视频小卫星跟踪观测中防脱靶问题,设计了一种基于视野分区的视频小卫星目标防脱靶控制方法。首先将相机矩形视场最大内切圆设置为势函数控制区域,当目标在最大内切圆外的视野区域时,拟欧拉旋转控制器发挥作用,将目标尽快调整至视野最大内切圆;当目标投影处于圆内时,势函数控制器发挥作用,可以在理论上严格保证目标始终处于该区域内,确保对目标的持续跟踪。利用Barbalat引理严格证明了系统的稳定性,以及目标进入视野最大内切圆后可保证始终落在该区域内,并通过仿真验证了该方法的有效性。
1 系统描述
1.1 参考坐标系
如图1所示,本文建立如下四个坐标系。
图1坐标系示意图
Fig.1Coordinate system schematic
地心惯性坐标系Oi-XiYiZi:选用J2000.0坐标系,坐标系原点Oi位于地心,OiXi指向J2000.0平春分点,OiZi轴指向J2000.0平赤道的极点,OiYi轴与OiXi轴和OiZi轴构成右手坐标系。
卫星体坐标系Ob-XbYbZb:坐标系原点Ob位于卫星质心,三个坐标轴方向分别沿着卫星本体惯量主轴的三个方向。
像素坐标系O′-uv:坐标系原点O′位于像平面左上角点,O′u轴和O′v轴分别平行于像平面的行和列,并以像素为坐标单位。
相机坐标系Oc-XcYcZc:坐标原点Oc位于相机光学中心,OcZc轴方向与相机光轴重合并且垂直指向相机像平面。
不失一般性,在文中假设相机坐标系与卫星体坐标系重合,卫星姿态作动器(通常为飞轮)力矩输出方向与卫星体坐标系三轴方向重合,OcXc轴和OcYc轴分别与像素坐标系下的O′u轴和O′v轴平行且同向,如图2所示。
图2相机透视投影示意图
Fig.2Camera perspective projection schematic
1.2 相机投影模型
令为空间目标在惯性坐标系中的坐标,如图2所示,根据小孔成像透视投影原理,目标点在图像平面中的投影可以表示为

(1)
式中: f为相机焦距,相机光轴与像平面相交的像素点坐标为(u0,v0)T,通常为像平面中心位置;du和dv分别为O′u轴和O′v轴像素点尺寸大小;biM表示从地心惯性系到卫星体坐标系的方向余弦阵;irs表示卫星在地心惯性系下的坐标;iriT表示观测目标在地心惯性系的坐标,如图3所示;Π是相机内部参数矩阵;T是卫星体坐标系相对惯性坐标系的齐次变化矩阵,与卫星位置与姿态相关;M为空间目标点到图像平面的投影映射矩阵,由视频小卫星姿态和相机参数共同决定。
记mTi为矩阵M的第i行向量,相机投影模型(1)可以改写为
(2)
(3)
图3相机成像模型
Fig.3Camera imaging model
1.3 运动学与动力学模型
采用四元数描述的视频小卫星姿态运动学方程如下
(4)
式中,q=[q0 qv]T为视频小卫星姿态四元数,ω为卫星体坐标系相对于地心惯性系的角速度在卫星体坐标系下的描述,符号表示四元数矢量乘法,上标“”表示该变量的时间导数。
将q分解后式(4)可重写为
(5)
其中,I3×3表示三阶单位矩阵,上标“×”表示斜对称矩阵。
假设视频小卫星为刚体,则姿态动力学方程为
(6)
式中,J为视频小卫星转动惯量矩阵,Tc为姿态控制力矩。
2 控制误差计算
2.1 姿态误差
如图4所示,在相机坐标系下目标位置方向矢量表示为
(7)
式中,Xpt和Ypt分别表示目标中心投影点在相机坐标系下OcXc轴和OcYc轴的坐标,可表示为
(8)
式中,u和v为目标点在像素坐标系中的坐标。
相机坐标系下相机光轴的方向矢量cro表示为:
(9)
姿态误差为从相机坐标系下目标位置方向矢量crcT到相机光轴方向矢量cro的旋转角。视频小卫星的姿态误差四元数qe可以表示为
图4姿态误差求解示意图
Fig.4Attitude error solution schematic
(10)
式中,a为相机坐标系下表示的欧拉轴矢量,θ为欧拉角,它们都可以由crcT和cro表示。
(11)
(12)
2.2 角速度误差
由星载传感器可以获得视频小卫星的姿态四元数q,结合式(10)姿态误差四元数qe可得卫星期望姿态四元数qd为:
(13)
(14)
式中,可以通过对期望四元数qd差分得到,Ξ(qd)有以下定义
(15)
式中,qd0、qd1、qd2和qd3分别表示期望姿态四元数qd的标量和矢量的三个元素。
角速度偏差ωe定义为:
(16)
3 基于视野分区的防脱靶控制方法
3.1 相机视野分区
目标落在视频小卫星相机视场内时,视频小卫星通过信息处理获得目标在像平面中的位置作为控制反馈量。但是相机视场是有限的,如果目标脱离了相机视场范围(脱靶),就会造成跟踪失败。针对该问题本节设计了一种基于视野分区的防脱靶控制方法,该方法主要思想是将相机视场通过内切圆分为两部分,如图5所示,矩形部分为相机像平面,取矩形的内切圆作为势函数作用范围(Ⅰ区域),目标落在Ⅰ区域时通过势函数法控制,使得视频小卫星跟踪观测的机动过程中目标始终不脱离Ⅰ区域;内切圆之外的成像平面为拟欧拉法作用范围(Ⅱ区域),目标落在Ⅱ区域时,卫星调整姿态快速向视野中心移动。通过结合两类防脱靶控制方法实现目标防脱靶控制,并利用Barbalat引理证明控制律在各自作用区域内都是渐近稳定的。
图5相机视野分区
Fig.5Division of camera field of view
当目标成像位于势函数作用区域边界时,相机坐标系下目标位置方向矢量为rb。rb与光轴矢量cro夹角为θmax,即为卫星防脱靶控制下光轴和目标指向最大允许夹角。由几何关系得:
(17)
式中,us和vs分别表示像素平面的横纵坐标。因此,当观测目标方向与光轴夹角θ<θmax时,采用势函数控制器控制;当θ≥θmax时,采用欧拉旋转法进行控制。θ可由式(12)计算。
3.2 基于势函数的跟踪控制方法
3.2.1 势函数设计
势函数设计的目的是使得观测目标投影进入圆形投影区域Ⅰ后,在控制过程中能保持在势函数作用区域,保持连续视觉跟踪。
当势函数控制器进行控制时,由式(17)得到的欧拉角θ应满足
(18)
θmax是一个不大于相机视场角的量,因此可得
(19)
则当目标投影满足约束条件即成像位置位于限制区域之内时,误差四元数组成的集合Qe满足
(20)
根据式(20)表示的不等式关系,构造一种由误差四元数qe描述的对数型势函数,即
(21)
式中,kv为正项常数,κ为正项常数并且使得在0至1之间分布。
根据误差四元数qe的定义,式(21)可以改写为
(22)
从式(22)可以看出,势函数值是由误差四元数qe的标量部分qe0决定,另定义
(23)
则V(qe)=Vf(qe0),将Vf对qe0进行求导
(24)
即qe∈Qe时,,并且1-qe0>0、。所以<0,随着qe0趋向于最大值1,Vf值单调递减,即V(qe)值单调递减。
当qe=(qe0 qTev)T=(1 0)T时,1-qe0=0并且等于一个确定的实常数,所以V(qe)=0;当qe∈Qe且qe≠(1 0)T时,V(qe)>0,并且当投影位置趋近限制范围边界时有θ→θmax,此时,所以势函数将接近无穷大。
3.2.2 控制律设计和稳定性分析
构造增广函数Vt如下
(25)
显然Vt≥0。对Vt求时间导数可得:

(26)
式中,vec(·)表示(·)的矢量部分,上标“*”表示四元数共轭,ΔV表示势函数V的一阶梯度矩阵,表达式为

(27)
设计势函数控制律为

(28)
式中,kc为正项增益常数,可通过对期望角速度ωd微分得到。
将控制律(28)代入式(26),得
(29)
所以Vt是单调递减的,由于Vt≥0,有0≤Vt≤Vt(0),即Vt是有界的。取Vt对时间的二阶导数为

(30)
由于Vt是有界的,因此可以得到、qe和ωe都是有界的。由于上述变量的有界性,能够确定也是有界的。根据Barbalat引理,可得
(31)
即。结合控制律(28)、姿态动力学方程(6)以及式(16)可得

(32)
根据,易得。因此由式(32)可得。结合式(27),可以得到=(1 0)T,说明闭环系统是渐近稳定的。
值得说明的是,假设控制过程中作动器(飞轮)没有达到最大输出力矩,基于势函数的跟踪控制方法可严格证明目标落在Ⅰ区域内时可以确保目标始终处于该区域内。如果卫星与目标相对角速度过大导致执行器输出饱和,则仍然可能存在目标离开Ⅰ区域。
3.3 基于拟欧拉旋转法的跟踪控制方法
3.3.1 拟欧拉旋转法
从所设计的势函数(21)的定义可以看出,该势函数只对目标初始时刻落在圆形投影区域内的条件下有效,而目标的投影可能初始时刻并未处于圆形投影区(Ⅰ区域)中,此时目标可能并未脱靶,相机仍能捕获目标获取位置信息。在Ⅱ区域时,需要快速将目标向视野中心调整,避免目标向偏离视野中心方向移动导致脱靶。
根据欧拉轴求解式(11)可知,欧拉轴垂直于相机光轴,相机光轴垂直于像平面,因此欧拉轴平行于像平面。可将误差角速度ωe分解为平行和垂直于欧拉轴的两个部分,记为ωea和ωeb,如图6所示。而ωeb还可分解为平行和垂直于像平面的部分,记为ωeb1和ωeb2。上述角速度的表达式分别为

(33)
其中,平行于欧拉轴的分量ωea和垂直于欧拉轴且垂直于像平面的分量ωeb2不会引起光轴指向偏差,只有垂直于欧拉轴且平行于像平面的分量ωeb1会使目标投影轨迹发生侧偏,可能造成脱靶[30]。
图6误差角速度分解
Fig.6Decomposition of angular velocity error
3.3.2 控制律设计
为了将目标快速向视野中心调整,在反馈控制器中放大造成脱靶的误差角速度分量ωeb1,使得该项能够迅速减小,从而减小目标偏离视场中心的程度。设计如下控制律

(34)
其中,d>1为常数,用于放大误差角速度ωeb1分量;kp、kd为正定对角矩阵,为待设定的拟欧拉旋转控制器系数。
令,则
(35)
由于d>1,且都为半正定,因此Kt为正定矩阵。根据Barbalat引理可得闭环系统渐近稳定。
综上可得,基于势函数和拟欧拉旋转的控制器在各自作用区域内都是渐近稳定的。采用的控制律具体形式为
(36)
式中,P表示目标在像平面的投影位置。
4 仿真分析
4.1 仿真条件设置
仿真中设置的视频小卫星与待观测空间目标的轨道参数及相机参数分别如表1和表2所示。
表1视频小卫星和观测空间目标轨道参数
Tab.1 Orbit parameters of the small video satellite and observation space target
表2星载相机参数
Tab.2 Satellite camera parameters
考虑使用安装在卫星体坐标系上三轴正交的反作用飞轮作为姿态控制执行器,其输出控制力矩受到最大值的限制,在仿真中这个值为0.3 N·m。除此之外,视频小卫星的转动惯量(单位:kg·m2)假设为

4.2 仿真结果分析
4.2.1 PD控制与拟欧拉旋转控制仿真
设置视频小卫星初始角速度为(-0.58(°)/s,-1.6(°)/s,0.1(°)/s),初始姿态四元数为(0.281 0,0.904 2,0.321 3,0.014 7)T。分别采用PD控制器及拟欧拉旋转控制器进行仿真。PD控制器按照文献[20]所述方法构建。需要说明的是,在仿真中假设不论观测对象是否脱靶,视频小卫星都能获取其本体与目标的相对位姿,PD控制器始终能够接受误差信息并施加控制。PD控制器参数设置为kd=16I3×3,kp=13I3×3;拟欧拉旋转控制器参数设置为kp=6I3×3,kd=5I3×3,d=4。
PD控制器和拟欧拉旋转控制作用下目标在像平面投影坐标和轨迹以及控制力矩的变化曲线如图7~9和图10~12所示。
图7仿真条件1下PD控制器作用下目标投影像素坐标变化曲线
Fig.7Change curve of target projection pixel coordinate under PD controller of simulation condition 1
图8仿真条件1下PD控制器作用下像平面目标投影轨迹
Fig.8Target projection trajectory in the image plane under PD controller of simulation condition 1
图9仿真条件1下PD控制器作用下控制力矩变化曲线
Fig.9Control torque variation curve under PD controller of simulation condition 1
图10仿真条件1下拟欧拉旋转控制器作用下目标投影像素坐标变化曲线
Fig.10Change curve of target projection pixel coordinate under quasi-Euler rotation controller of simulation condition 1
图11仿真条件1下拟欧拉旋转控制器作用下像平面目标投影轨迹
Fig.11Target projection trajectory in the image plane under quasi-Euler rotation controller of simulation condition 1
图12仿真条件1下拟欧拉旋转控制器作用下控制力矩变化曲线
Fig.12Control torque variation curve under quasi-Euler rotation controller of simulation condition 1
从图7和图8可以看出,由于初始时刻目标处于像平面靠近边缘处,且具有向视场边缘运动的相对运动角速度。在PD控制器作用下目标运动一段时间后脱靶(图8中与v=0平行的黑色直线表示相机像平面的下边界)。由于先前已假设不论是否脱靶,控制器始终能施加控制,因此最终能将目标投影控制到像平面中点。但是当控制器实际工作中,目标一旦脱靶,就无法获取位置信息,跟踪控制就会失败。
从图11可以看出,拟欧拉旋转控制过程中目标始终处于相机平面,这是由于相比PD控制器,拟欧拉旋转控制能够显著抑制目标的侧向偏移,因此对脱靶有抑制作用。在本小节的仿真条件设置中,由于目标初始时刻出现在图像近边缘处,且侧向运动速度较大,因此拟欧拉旋转控制器能够更快抑制目标的侧向运动,没有发生脱靶。同时,对比图7与图10可以看出,在控制过程中,PD控制器和拟欧拉旋转控制器控制力矩曲线的峰值近似相同,这是由于PD控制器的比例和微分项设置的参数大于拟欧拉旋转控制器,相当于对误差项进行了整体放大,因此控制力矩与拟欧拉旋转控制器近似相同。但是PD控制器不能对导致目标侧向偏离的误差角速度进行定向抑制,因此仍然发生了脱靶。
4.2.2 拟欧拉旋转法控制与分区控制仿真
设置视频小卫星初始角速度为(2.4(°)/s,-2(°)/s,0.01(°)/s),初始姿态四元数为(0.280 8,0.904 2,0.321 6,0.014 6)T,初始角速度大于上一节所设置的初始角速度。拟欧拉旋转控制器参数为kp=6I3×3,kd=5I3×3,d=4;分区控制器参数为kp=6I3×3,kd=5I3×3,d=4和kc=8,kv=10,κ=9 000。拟欧拉旋转控制器和分区控制器作用下目标在像平面投影坐标和轨迹及控制过程中控制力矩的变化曲线分别如图13~15和图16~18所示,图17中圆形内部为势函数作用区域。
图13仿真条件2下拟欧拉旋转控制器作用下目标投影像素坐标变化曲线
Fig.13Change curve of target projection pixel coordinate under quasi-Euler rotation controller of simulation condition 2
从图13和图14可以看出,由于设置了较大的初始角速度,在只采用拟欧拉法控制的条件下,目标仍然发生了脱靶,这说明拟欧拉旋转控制器防脱靶的能力有限,不能严格保证目标不脱靶。而从图16和图17可以看出,在采用势函数和拟欧拉旋转法结合的分区控制器作用的机动过程中,目标没有发生脱靶,始终处于相机视场中。对比图13与图16可以看出,分区控制器作用下像素坐标的峰值小于拟欧拉旋转控制器,这说明即使在不考虑目标是否脱靶的情况下,分区控制器控制过程的超调量小于拟欧拉旋转控制器,并且对比图15和图18可以看出,分区控制器作用过程中Tc2的峰值小于拟欧拉旋转控制器的Tc2分量,可以实现在较小控制力矩下的防脱靶控制,这表明本文所提出的分区控制器防脱靶能力优于单一拟欧拉旋转控制器,可以实现较小控制力矩下更有效防止目标脱离视场的控制,对卫星姿态机动能力的要求更低。同时,对比三组控制器作用下的投影像素坐标-时间变化曲线,采用结合控制方法时目标最快到达图像中心,因此所提出的势函数和拟欧拉旋转结合控制方法在视频小卫星跟踪观测中不仅具有良好的防脱靶性能,还具有较快的跟踪速度,能够取得良好的综合性能。
图14仿真条件2下拟欧拉旋转控制器作用下像平面目标投影轨迹
Fig.14Target projection trajectory in the image plane under quasi-Euler rotation controller of simulation condition 2
图15仿真条件2下拟欧拉旋转控制器作用下控制力矩变化曲线
Fig.15Control torque variation curve under quasi-Euler rotation controller of simulation condition 2
图16仿真条件2下分区控制器作用下目标投影像素坐标变化曲线
Fig.16Curve of target projection pixel coordinate under zoning controller of simulation condition 2
图17仿真条件2下分区控制器作用下像平面目标投影轨迹
Fig.17Target projection trajectory in the image plane under zoning controller of simulation condition 2
图18仿真条件2下分区控制器作用下控制力矩变化曲线
Fig.18Control torque variation curve under zoning controller of simulation condition 2
4.2.3 分区控制器鲁棒性仿真
视频小卫星在轨运行时,受到环境因素干扰,可能存在相机光学热变形、相机未完全标定、相机安装误差及外界扰动等因素造成模型偏差,因此对控制器的鲁棒性具有一定的要求。
设置观测目标的投影在像平面的像素坐标存在偏差,用于模拟观测目标的位置存在测量误差的情况,假设服从高斯分布,即
(37)
式中,X=(u,v)T,设置eu=ev=5像素,同时设置外界的扰动力矩(单位:N·m)为

(38)
仿真初始条件与4.2.2节分区控制器参数保持一致,仿真结果如图19~21所示。
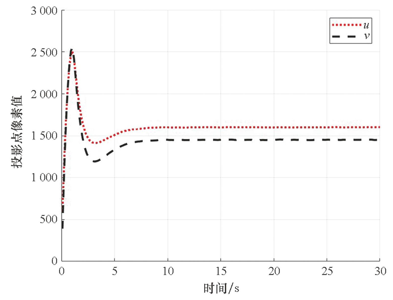
图19存在图像噪声时分区控制器作用下目标投影像素坐标变化曲线
Fig.19Curve of target projection pixel coordinate change under zoning controller with image noise
可以看出,当存在图像像素误差和外界扰动力矩时,分区控制器仍然可以实现对目标的不脱靶跟踪控制,在稳定阶段,目标投影点的横纵坐标收敛与像平面中心点坐标之差都在10个像素单位之内。说明该分区控制器具有一定的鲁棒性,能够适应模型不确定性和外界扰动的影响。
5 结论
本文研究了基于图像获取相对姿态误差信息的视频小卫星目标跟踪防脱靶方法,将星载相机矩形视场按照内切圆划分为势函数和拟欧拉旋转法控制区域,并利用Barbalat引理证明了控制律在目标投影处于全像素平面时的稳定性。通过仿真结果说明单一拟欧拉旋转控制器相比单一PD控制器,在相同大小力矩下将目标调整到视野内切圆区域内并实现目标跟踪的能力更强;势函数防脱靶控制器能够确保目标调整进入视野内切圆后持续保持于该区域内,有效防止脱靶;结合拟欧拉旋转法和势函数法的视野分区控制方法,可以在理论上严格证明稳定性,实现较小控制力矩情况下更优异的防脱靶性能和更快速的控制效果,并且该方法还具备一定鲁棒性,在视频小卫星跟踪观测空间目标的场景下具有广阔的应用前景。
图20存在图像噪声时分区控制器作用下像平面目标投影轨迹
Fig.20Target projection trajectory in the image plane under zoning controller with image noise
图21存在图像噪声时分区控制器作用下控制力矩变化曲线
Fig.21Control torque variation curve under zoning controller with image noise




