摘要
针对中红外全光纤激光器系统集成中的异质光纤熔接界面缺陷与热失配难题,提出多物理场耦合建模与参数协同优化方法,通过构建非对称熔接模型,揭示热场梯度分布与材料特性、光纤尺寸的耦合作用机制,基于数值仿真建立一种熔接实验参数优化方法,实现了石英/氟化物/氟碲酸盐光纤的低损耗(0.15 dB)与高抗拉强度(278 g)熔接。实验结果表明,优化后的异质光纤熔接点可承受跨多个波段的高功率传输(>23.2 W@1976 nm、>100 W@981 nm),并成功构建了2.8 μm全光纤化激光系统,输出功率达20.3 W。通过加速老化测试验证了系统的长期运行稳定性(超过1 h功率波动为0.37%@10.2 W),证实熔接点抗损伤阈值满足高功率运行需求。
Abstract
To address the challenges of interfacial defects and thermal mismatch in heterogeneous optical fusion fiber splicing for integration of mid-infrared all-fiber lasers system, a multiphysics-coupled modeling and parameter co-optimization methodology was proposed. By constructing an asymmetric splicing model, the coupling mechanisms between thermal gradient distribution, material properties, and fiber dimensions was revealed. A parameter optimization methodology for splicing experiments was established through numerical simulations, achieving low-loss (0.15 dB) and high-strength (278 g) splicing of silica/fluoride/fluorotellurite fibers. Experimental results demonstrated that the optimized heterogeneous fiber splice joints achieved high-power transmission across multiple bands (>23.2 W @ 1976 nm, >100 W @ 981 nm) and enabled a fully fiberized 2.8 μm laser system with an output power of 20.3 W. Accelerated aging tests confirmed the system′s long-term stability (0.37% power fluctuation @ 10.2 W over 1 h) and validated that the splice joints met high-power damage resistance thresholds.
中红外波段(3~5 μm)高功率激光源在生物医疗精准诊疗、痕量气体光谱检测及红外探测等领域具有重要的应用价值[1-3]。全光纤化激光系统因其优异的光束质量和紧凑鲁棒的结构特性,被视为实现高性能中红外激光输出的理想技术路线。然而,当前中红外激光器全光纤化系统集成面临的一个瓶颈问题是:泵浦源光纤(材质一般为石英)与中红外增益光纤(材质为氟化物[4]、氟碲酸盐[5]或硫系[6]玻璃)进行熔接时,异质光纤间因热力学参数(如软化温度、热膨胀系数)及光学特性(折射率剖面、模场失配)的显著差异,熔接界面易产生微裂纹、气泡等结构缺陷,严重制约了系统功率提升与长期稳定性。
针对上述难题,国内外研究者们从工艺创新与理论建模两方面展开了积极探索。在工艺开发方面,Jiang等[7]提出了非对称热熔接方法,通过调控电弧偏移量实现了低温多组分玻璃与石英光纤的界面热梯度匹配,为异质光纤的高质量熔接提供了解决思路;Yang等[8]基于该方法,通过氟化物光纤(ZrF4-BaF2-LaF3-AlF3-NaF, ZBLAN)与石英之间小于0.1 dB低熔接损耗,实现了输出功率超5.89 W的全光纤化中红外超连续谱光源;Wang等[9]通过掺Ho氟碲酸盐光纤与石英光纤的低损耗熔接(小于0.1 dB),实现了2.1 μm全光纤激光输出,证实了工艺的普适性;Thapa等[10]首次实现了单模石英光纤和单模硫系光纤之间低损耗熔接(0.5 dB),拉伸强度大于82.7 MPa,并产生了2~4.5 μm的超宽频谱超连续谱。在理论建模方面,Theodosiou等[11]采用光纤布拉格光栅对熔接热场进行原位监测,发现了一个极其狭窄的温度窗口(2.5℃)能够实现两种光纤的牢固连接,揭示了热场非均匀性是导致界面微裂纹的主因;Huang等[12]从理论上研究了如何优化熔接参数,并在仿真结果的指导下使优化后的熔接损耗低至0.3 dB。
尽管上述研究取得显著进展,但现有方法仍存在两方面的局限:①工艺优化多依赖局部参数调整[13],缺乏对热场分布-材料相变-模场耦合的全过程建模;②实验参数寻优过程存在效率瓶颈,难以应对多元非线性参数空间(如加热功率、火头偏移量、保护气流速等)的协同优化需求。这亟待建立融合多物理场仿真与智能优化算法(例如,遗传算法通过模拟自然选择过程,快速搜索到全局最优解,以显著提高熔接参数的优化效率)的系统性解决方案,以实现异质熔接参数的最优匹配。
通过多物理场耦合建模与实验验证相结合的研究路径,系统揭示了非对称热熔接过程中温度场分布与材料特性的作用机制。基于COMSOL仿真软件构建的非对称熔接模型首次阐明了异质光纤热耦合机理,详细研究了不同材料和结构尺寸的光纤在不同加热功率和火头偏移量下的温场分布特性,并据此发展出实验参数优化方法。实验验证结果表明,该方法可实现异质光纤间的低损耗、高强度熔接,所构建的2.8 μm全光纤激光系统展现了优良的稳定性和功率扩展能力。本研究为中红外波段高功率全光纤激光器的研制提供了系统集成关键技术支撑。
1 热熔接建模与仿真
1.1 热熔接模型
实验采用Vytran GPX-3400型商用热熔接系统,其核心组件为铱灯丝辐射加热器,呈现一种倒置的“Ω”形状,相较于传统电弧放电加热,铱灯丝加热器通过热辐射的方式加热,可以提供更加均匀和精确的温度控制。精确测量了铱灯丝尺寸参数(单位为mm),在COMSOL软件中构建了包含铱灯丝、异质光纤(石英-氟化物、石英-氟碲酸盐、氟化物-氟碲酸盐)及初始间隙(设置为10 μm)的三维仿真模型,如图1所示。受热光纤置于灯丝正中心,实验全程以高纯氩气(纯度>99.999%)覆盖熔接区域,气体流量恒定为0.2 L·min-1。
图1非对称热熔接模型
Fig.1Asymmetric hot fusion splicing model
在铱灯丝升温过程中,热量主要源于欧姆损耗,单位体积的热源功率计算公式为:
(1)
其中,P是功率,V是体积。氩气经过铱灯丝后变热,后将热量传递给光纤,计算对流换热时的热通量公式为:
(2)
其中,h是对流换热系数(仿真中使用值为0.38 W·m-2·K-1),Text是表面温度,T是环境温度。当热流接触到光纤表面时,热量会通过热传导的方式传入光纤内部。该情况下固体传热仅考虑传导,傅里叶定律表明热量通过固体的传导与温度梯度成正比,即:
(3)
其中,q是热通量矢量,k是热导率,是温度梯度。对于稳态问题,静止固体中的温度场则证明了传热方程的以下形式:
(4)
其中:ρ是材料密度;Cp是恒压热容;u是物质的速度矢量,这里通常可以认为是零,因为在固体传热过程中,由于固体的刚性结构,热传导主要通过分子振动和晶格振动来实现,对流效应可以忽略不计;是温度梯度;表示热流密度矢量的散度;Q是单位体积内的热量;Qted是单位体积内的热辐射或热对流等其他形式的热交换。
表1三类光纤材料基本物理参数
Tab.1Fundamental physical parameters of three types of optical fiber materials
表2三类光纤的结构参数
Tab.2Structural parameters of three types of optical fibers
1.2 仿真结果及分析
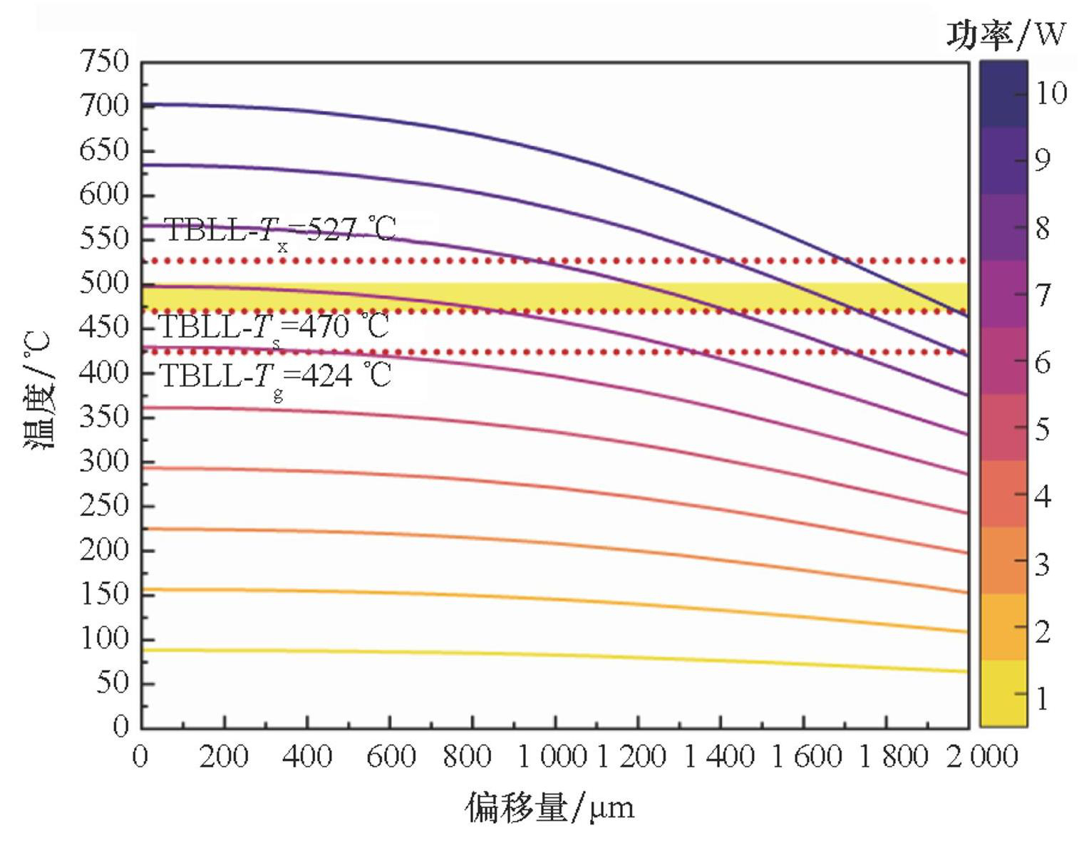
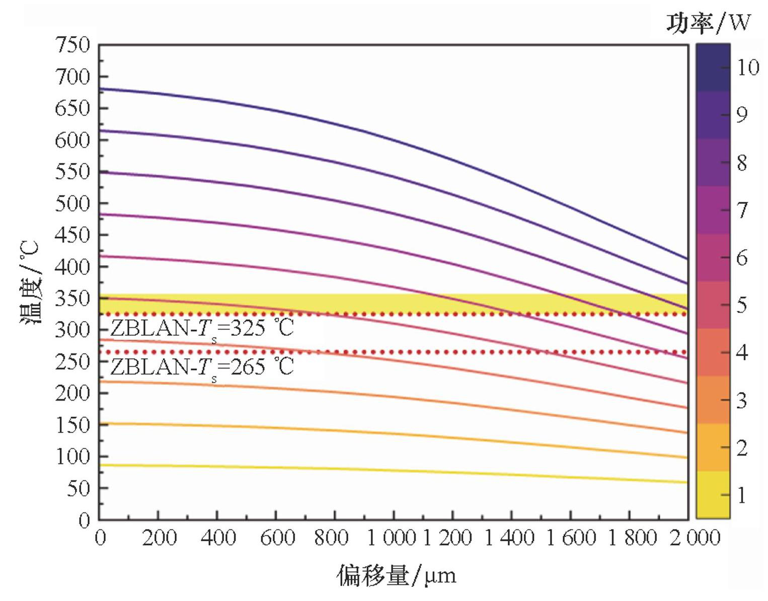
熔接功率和火头偏移量(Δx)是调控光纤软化行为与界面熔融耦合的关键工艺参数。本研究在固定加热时间(t=2 s)条件下,通过稳态热场仿真分析了石英、ZBLAN及TBLL光纤异质熔接时具有较低玻璃软化温度(Ts)的光纤端部温度随P和Δx的变化情况,Ts位于玻璃化转变温度(Tg)和结晶起始温度(Tx)之间。如图2和图3所示,在P一定的情况下,T随Δx的增大而逐渐降低;在Δx一定的情况下,T随P的增加而增加。为实现异质光纤的可靠熔接,需满足双约束条件:T≥Ts,以确保软化流动性;T≤Ts+ΔToffset(ΔToffset=30℃为工艺安全裕度),以避免过度塌缩。图2中黄色区域标识了SM-28e石英光纤与ZBLAN光纤熔接的可行参数域(P∈[4.7 W, 8.5 W],Δx∈[0 μm, 2 000 μm]),该区域内325℃≤T≤355℃,满足可靠熔接双约束条件。类似地,图3中黄色区域给出了石英与TBLL光纤熔接的可行参数域(P∈[6.7 W, 10.8 W],Δx∈[0 μm, 2 000 μm]),该区域内470℃≤T≤500℃。
图2石英光纤和ZBLAN光纤熔接点温度随熔接功率和火头偏移量的变化仿真曲线
Fig.2Simulation curve of temperature variation of silica fiber and ZBLAN fusion point with fusion power and header offset
图3石英光纤和TBLL光纤熔接点温度随熔接功率和火头偏移量的变化仿真曲线
Fig.3Simulation curve of temperature variation of fusion point between silica fiber and TBLL fusion with fusion power and header offset
对于ZBLAN和TBLL光纤熔接而言,由于两种玻璃材料的软化温度较为接近,熔接难度更大、要求更高。既要使ZBLAN光纤端部温度达到其软化温度,以确保软化包裹性,又要使TBLL光纤峰值温度低于其转变温度,以确保坚硬可推进性。因此需要对TBLL光纤峰值温度进行定量分析后,才能对ZBLAN和TBLL光纤熔接点温度随熔接功率和火头偏移量的变化进行模拟仿真。图4展示了P=5 W、Δx=800 μm时,上述两种光纤的熔接界面温度场分布和光纤轴向温度变化,可以看到TBLL光纤的峰值温度点出现在距熔接点-931 μm处,由于两根光纤在熔接时存在10 μm的初始间隙,因此两个端面之间存在明显的温度差异。
图4熔接功率5 W、火头偏移量为800 μm下的 ZBLAN和TBLL光纤熔接界面温度场分布
Fig.4Temperature field distribution at the fusion interface of ZBLAN and TBLL fibers with the fusion power of 5 W and the header offset of 800 μm
图5进一步研究了Δx对TBLL光纤峰值温度随熔接功率变化的影响规律。在火头偏移量一定时,TBLL峰值温度与熔接功率呈正相关。但在功率一定,火头偏移量增大时,TBLL峰值温度也会有较小增加。在当Δx=0 时,需要5.98 W的熔接功率才能使TBLL光纤的峰值温度达到其玻璃化转变温度;而当Δx=2 000 μm时,只需5.85 W的熔接功率就能使TBLL光纤的峰值温度达到其玻璃化转变温度。总之,在熔接点处,实际温度应达到氟化物光纤的软化温度。同时,TBLL光纤的峰值温度点应低于其玻璃化转变温度。图6中黄色区域给出了ZBLAN与TBLL光纤熔接的可行参数域(P∈[4.7 W, 5.9 W],Δx∈[0 μm, 1 300 μm]),该区域内325℃≤T≤355℃。
此外,光纤几何尺寸对熔接界面热场分布和熔接点处的温度同样具有一定的影响。图7所示为芯包结构分别为10/130 μm和220/242 μm的石英光纤与ZBLAN光纤熔接时,熔接点温度随P和Δx的变化仿真曲线。将该图与图3包层直径为125 μm的SM-28e石英光纤与ZBLAN光纤熔接时熔接点处温度的仿真结果图进行对比,可以发现:当石英光纤包层直径为125 μm或130 μm时,由于尺寸变化较小,熔接点处温度没有明显变化,实验上优化参数时可用8.2/125 μm石英光纤替代10/130 μm石英光纤,以降低成本;当石英光纤包层直径为242 μm时,在相同的P和Δx下,熔接点处温度差异明显。在熔接参数相同的条件下,当Δx<898 μm时,242 μm石英光纤和ZBLAN光纤的熔接点温度略低于130 μm石英光纤和ZBLAN光纤的熔接点温度;当Δx>898 μm时,结果与之相反。Δx=898 μm处发生熔接点温度规律的极性反转,可能与火头内两根光纤相互热辐射变化有关:虽然在铱灯丝、氩气和光纤之间主要依靠热对流传递热量,但在高温情况下,它们也会产生一定的热辐射,这种热量可以直接被光纤吸收,从而辅助加热过程。根据斯特藩-玻尔兹曼定律,热辐射的强度与物体表面面积成正比,同时热辐射的能量与物体绝对温度的四次方成正比。这意味着更大包层直径的石英光纤以其更大的物体表面面积可以产生更多的热辐射,但更大的物体体积也使其软化需要更多的热量。
图5不同火头偏移量下TBLL光纤峰值温度随熔接功率的变化曲线
Fig.5Variation curve of peak temperature of TBLL fiber with fusion power under different flame header offsets
图6ZBLAN光纤和TBLL光纤熔接点温度随熔接功率和火头偏移量的变化仿真曲线
Fig.6Simulated curves of temperature variation of ZBLAN optical fiber and TBLL optical fiber fusion point with fusion power and heater offset
图7不同直径石英光纤和ZBLAN光纤熔接点温度随熔接功率和火头偏移量的变化仿真曲线
Fig.7Simulation curves of fusion point temperature of silica fiber with different cladding diameters and ZBLAN fiber as a function of fusion power and heater offset
2 热熔接实验及结果分析
2.1 光纤切割与端面处理
光纤切割端面的平整度对熔接质量有着明显的影响。本研究基于材料硬度(石英>氟化物玻璃>氟碲酸盐玻璃)与几何尺寸差异(芯径8.2~220 μm,包层125~242 μm),采用不同的切割方法。使用藤仓CT50光纤切割刀处理8.2/125 μm石英光纤和105/125 μm石英光纤;使用住友电工FC-6S光纤切割刀处理10/130 μm石英光纤;使用Vytran LDC-400大芯径光纤切割刀处理220/242 μm石英光纤;使用藤仓CT-106光纤处理ZBLAN和TBLL光纤,切割张力分别约为0.88 N和2.45 N。切割完成后使用装有无水乙醇的超声清洗机对光纤端面进行超声清洁,以去除可能存在于光纤端面上的切割碎屑。
2.2 熔接实验装置及测试方法
为了满足异质光纤熔接质量的快速迭代反馈需求,搭建如图8所示的异质光纤熔接在线监测实验装置,实现光纤熔接和测试表征实时迭代操作。该装置由一个发射1 550 nm波长信号的光纤激光器、热熔接机(Vytran GPX-3400)和功率计(Thorlabs PM100D)构成。光纤熔接点的抗拉张力和信号光在熔接点处的损耗是评价熔接质量的两个重要指标。其中抗拉张力可由热熔接机内置的拉力监测器直接测得。而信号光在熔接点处的传输损耗则需采用回切法,通过测量1 550 nm激光光源在熔接前后的光功率衰减,从而计算熔接点的损耗。熔接点的损耗计算公式为:为了满足异质光纤熔接质量的快速迭代反馈需求,搭建如图8所示的异质光纤熔接在线监测实验装置,实现光纤熔接和测试表征实时迭代操作。该装置由一个发射1 550 nm波长信号的光纤激光器、热熔接机(Vytran GPX-3400)和功率计(Thorlabs PM100D)构成。光纤熔接点的抗拉张力和信号光在熔接点处的损耗是评价熔接质量的两个重要指标。其中抗拉张力可由热熔接机内置的拉力监测器直接测得。而信号光在熔接点处的传输损耗则需采用回切法,通过测量1 550 nm激光光源在熔接前后的光功率衰减,从而计算熔接点的损耗。熔接点的损耗计算公式为:
(5)
其中,Pin为熔接前光纤的输出功率,Pout为熔接后光纤的输出功率,α和L分别为熔接光纤的传输损耗系数及其长度。光纤传输损耗系数可以通过以下公式计算:
(6)
其中,P*in为截断前光纤的输出功率,P*out为截断后光纤的输出功率,L*为截断光纤长度。
在光纤熔接时,纤芯对齐可以确保光信号传输的低损耗和高稳定性。GPX-3400热熔接机具备光纤视觉对齐功能,但它是基于光纤包层外界面的对齐。如果纤芯同心度较低,该对齐方式无法实现纤芯对齐。因此,通过在线监测的方法实现纤芯对齐,即在空间对接耦合的情况下,打开1 550 nm激光光源,调整光纤位置,使其输出功率达到最大值。不同光纤之间由于纤芯半径或数值孔径不匹配等,始终存在一定的模场失配,这种失配会引起纤芯基模与包层模式之间的耦合,使得部分信号光从纤芯泄漏到包层中,从而产生包层光。本实验中所计算的熔接损耗应当反映的是纤芯耦合效率,因此在测量Pout时应滤除包层光。ZBLAN光纤外包层玻璃折射率在1.45左右,实验中可以通过在光纤表面涂敷高折胶(折射率为1.6)来滤除包层光。而TBLL光纤外包层玻璃的折射率高达1.8,市面上没有更高折射率的溶液可用来滤包层光,因此在本实验中采用化学腐蚀法来滤除包层光。通过将已去除涂覆层的TBLL光纤浸泡在浓度为40%的氢氟酸中,以此破坏光纤包层结构,使包层光散射出来。腐蚀过程在室温(25℃±2℃)下进行,具体腐蚀时间为 20 min。通过严格控制这些参数,确保了腐蚀过程的稳定性和可重复性。如图9所示,在光源输出功率为262 mW、TBLL光纤长20 cm情况下,纤芯对齐熔接后输出248 mW,产生0.24 dB的损耗,纤芯未对齐熔接后输出222 mW,产生0.72 dB的损耗。纤芯对齐情况下,用40%的氢氟酸腐蚀外包层,功率基本没有产生变化,当腐蚀到纤芯后,输出功率则急剧下降至零。纤芯未对齐情况下,由于光被耦合至内包层中传输,所以输出功率随腐蚀程度持续降低,这也进一步验证了该方法的包层光滤除效果。
图8异质光纤熔接及在线监测实验装置示意图
Fig.8Schematic diagram of heterogeneous fiber fusion and online monitoring experimental device
图9输出功率随氢氟酸腐蚀时间的变化曲线
Fig.9Variation curve of output power with hydrofluoric acid corrosion time
2.3 各异质光纤熔接实验结果
虽然在仿真中获得了较宽的可行熔接参数域,但在小偏移量下,低Ts光纤端部轴向温度梯度较小,这对加热温度精度提出了极大要求,同时也无法减少热膨胀系数差异导致的应力集中。文献[8-9]已实现适中偏移量(500~1 000 μm)下的异质光纤熔接,本文熔接实验将验证较大偏移量(1 670~1 800 μm)下熔接的可行性。基于先前仿真所得到的熔接点处的温度变化曲线,可以初步判断石英和ZBLAN光纤实际熔接所需加热功率约为7 W,火头偏移量约为-1 700 μm;石英和TBLL光纤实际熔接所需加热功率约为9 W,火头偏移量约为-1 800 μm;TBLL和ZBLAN光纤实际熔接所需加热功率约为5 W,火头偏移量约为-800 μm。在此基础上,通过实验进一步优化相关熔接参数。为了确保熔接损耗和张力测量的准确性和可靠性,每个熔接点的损耗和张力测量均进行了 5 次独立重复实验。每次测量均在相同的实验条件下进行,以减小随机误差。最终的熔接损耗和监测张力结果取这 5 次测量的平均值。熔接点的监测张力与其熔接损耗呈负相关。随熔接功率与火头偏移量的调整,存在熔接损耗的极小值点,同时该点也是监测张力的极大值点。图10所示为当SM-28e石英光纤和ZBLAN光纤的实际熔接加热功率为7.1 W、火头偏移量为-1 690 μm时,熔接质量最佳,熔接损耗低至0.31 dB,监测张力高至254 g。图11所示为当SM-28e石英光纤和TBLL光纤的实际熔接加热功率为9.3 W、火头偏移量为-1 770 μm时,熔接质量最佳,熔接损耗低至0.15 dB,监测张力高至278 g。图12所示为当TBLL和ZBLAN光纤的实际熔接加热功率为5.1 W、火头偏移量为-840 μm时,熔接质量最佳,熔接损耗低至0.4 dB,监测张力高至140 g。
假设两根单模光纤具有相同的高斯模态形状时,其熔接损耗主要由模场失配、轴心错位和角度偏差等因素决定。马尔库塞方程(Marcuse equation)以dB为单位的熔接损耗计算公式为:
图10石英和ZBLAN光纤熔接时,熔接功率和火头偏移量分别对熔接损耗和监测张力的影响
Fig.10Influence of fusion power and heater offset on fusion loss and monitoring tension during the fusion of silica and ZBLAN optical fibers
图11石英和TBLL光纤熔接时,熔接功率和火头偏移量分别对熔接损耗和监测张力的影响
Fig.11Influence of fusion power and heater offset on fusion loss and monitoring tension of silica and TBLL fiber fusion
(7)
其中,ω1和ω2分别是发射和接收光纤的模场半径,δ是光纤纤芯之间的轴向偏移,θ是纤芯之间的角度偏差, k0=2π/λ是真空波数,n是光纤纤芯的折射率。在理想条件下,即熔接时不存在轴心错位和角度偏差等,可以将公式化简成模场失配损耗公式,其计算公式为:
(8)
理想条件下,依据该公式,计算得到的SM-28e石英光纤和ZBLAN光纤熔接时的模场失配损耗为0.2 dB,SM-28e石英光纤和TBLL光纤熔接时的模场失配损耗为0.01 dB,TBLL和ZBLAN光纤熔接时的模场失配损耗为0.3 dB。而在实际熔接中,通常没有轴心错位,但有0.5°左右的角度偏差,由此可以计算得到SM-28e石英光纤和ZBLAN光纤熔接时损耗为0.29 dB,SM-28e石英光纤和TBLL光纤熔接时损耗为0.08 dB,TBLL和ZBLAN光纤熔接时损耗为0.39 dB。因此,在异质光纤熔接过程中,由于不同类型光纤的纤芯尺寸、折射率分布等参数存在显著差异,模场失配现象尤为突出,进而显著影响光场的耦合效率。
图12TBLL和ZBLAN光纤熔接时,熔接功率和火头偏移量分别对熔接损耗和监测张力的影响
Fig.12Influence of fusion power and heater offset on fusion loss and monitoring tension of ZBLAN-TBLL fiber fusion
以上实验结果有力地验证了之前构建的仿真模型的可靠性,表明本文仿真方法可以较为准确地指导实际熔接参数的设置,这种仿真与实验的相互验证关系,不仅为后续进一步的研究和应用奠定了坚实的基础,还有助于更好地理解和掌握异质光纤非对称熔接技术的内在规律。同时,本实验实现了多种异质光纤间的高效熔接,具体表现为低损耗和高抗拉强度。这为中红外全光纤激光器系统集成提供了有力的技术支撑。
2.4 熔接点抗损伤性能测试及结果
中红外全光纤激光器是一种通过光纤熔接来实现光纤器件连接的激光系统,其性能在很大程度上依赖于光纤熔接点的质量,明确光纤熔接点的抗损伤性能是确保其高效、稳定运行的关键。而要实现高功率中红外激光输出,意味着需要更高功率的泵浦光输入,这就对熔接点的质量提出了更高的要求。图13搭建了相应的测试系统:分别以1 080 nm光纤激光光源(湖南大科激光BFL-CW100,最大输出为100 W)和1 976 nm光纤激光光源(诺派激光PowerWave2000,最大输出为70 W)作为测试源,其输出尾纤均为10/130 μm石英光纤,将其与TBLL光纤进行熔接,输出端分别切平角和8°斜角(减少回光),不做额外散热处理直接输出。使用热像仪(FLIR E75,分辨率为0.1℃)实时监测熔接点的温度,以检测熔接点的高功率激光抗损伤性能。
图1310/130 μm石英光纤和TBLL光纤熔接点在不同波长激光下的抗损伤性能测试装置图
Fig.13Test device diagram of damage resistance of 10/130 μm silica fiber and TBLL fiber fusion point under different laser wavelengths
图14为10/130 μm石英光纤与TBLL光纤熔接点处温度分别随1 080 nm和1 976 nm光纤激光光源输出功率的变化关系。与1 976 nm光纤激光光源相比,该熔接点在1 080 nm激光传输下,其温度更高,可承受功率更低,损耗更大。原因主要与TBLL光纤对不同光波长的吸收特性有关,在1 976 nm处的传输损耗约为0.2 dB/m,而在1 080 nm处的传输损耗约为1 dB/m,对1 080 nm光的吸收更强,导致熔接点处能量沉积更集中。同时,熔接点因两种光纤的热膨胀系数差异(石英:5.5×10-7 K;TBLL:148.4×10-7 K)易形成热应力集中区域。当1 080 nm光在此处被强烈吸收时,局部温升会加剧应力,导致更多散射损耗(如瑞利散射),进一步增加热量积累。
图1410/130 μm石英光纤和TBLL光纤熔接点温度和损耗随不同波长激光功率的变化
Fig.14Change of temperature and loss of fusion point of 10/130 μm silica fiber and TBLL fiber with different wavelength laser power
为了进一步提升激光器的整体效率和输出功率,光纤激光包层泵浦技术被广泛应用。该技术是利用双包层光纤结构,通过泵浦多模泵浦光进入内包层来激发纤芯中的增益介质的。因此,探讨不同芯径光纤与双包层光纤的熔接就显得十分必要。通过在仿真结果基础上进一步优化参数,成功对220/242 μm大芯径石英光纤和14/250/290 μm双包层ZBLAN光纤,在功率6.2 W、火头偏移量-1 500 μm的条件下,实现了高质量熔接。如图15所示,搭建了以981 nm半导体激光光源(凯普林K981AN1RN,最大输出功率为100 W)作为测试源的测试系统,光源的输出尾纤为105/125 μm的石英光纤,将其与220/242 μm石英光纤熔接,随后再熔接上ZBLAN光纤,该熔接点监测张力>300 g,对照实验为直接将105/125 μm石英光纤和ZBLAN光纤熔接,输出端都切平角。实验结果如图16所示,两组实验中的熔接损耗均控制在0.15 dB左右,未做任何散热处理的熔接点都在高功率下呈现较低温度,整体上105/125 μm石英光纤和ZBLAN光纤的熔接点温度要更低一些,但没有显著差异。
图15不同芯径光纤和ZBLAN光纤熔接点在981 nm 激光下的抗损伤性能测试装置
Fig.15Damage resistance test device diagram of different core diameter fiber and ZBLAN fiber fusion point under 981 nm laser
图16不同芯径石英光纤和ZBLAN光纤熔接点温度和损耗随981 nm激光功率的变化
Fig.16Temperature and loss at fusion point between silica fibers with different core-diameters and ZBLAN fiber as a function of 981 nm laser power
3 中红外全光纤激光系统高功率输出应用
为进一步评估该异质光纤熔接技术在中红外全光纤激光系统中的适用性,搭建了如图17所示的2.8 μm波段高功率全光纤激光器实验装置:采用981 nm波段的半导体激光器作为泵浦源、7%Er3+离子掺杂ZBLAN光纤(Er3+:ZBLAN)作为增益介质、飞秒激光刻写的ZBLAN光纤光栅对(高、低反光纤光栅反射率分别为98% @2 814.4 nm和8% @2 814.4 nm)作为谐振腔。将泵浦源尾纤(105/125 μm石英光纤)与7% Er3+:ZBLAN光纤(光纤长度为4.2 m)进行熔接(熔接点标记为S1,熔接损耗约0.1 dB),成功构建了全光纤结构的2.8 μm波段激光器。为了有效地抑制ZBLAN光纤输出端的潮解,在输出端进一步熔接TBLL光纤端帽(长度为350 μm、角度为8°,熔接点标记为S2,熔接损耗约0.1 dB),同时激光器中的异质光纤熔接点以及有源光纤均放置于水冷(20℃)的铝盘上,以提升激光运行稳定性。具体实验结果如图18所示,随着泵浦光功率的提升,激光输出功率呈线性增长的趋势,当泵浦光功率提升至最大的100 W(受限于泵浦光最大输出功率)时,获得了20.3 W光纤激光输出,激光斜率效率值为20.4%,激光输出中心波长为2 814.4 nm。经1 h连续运行功率稳定性测试(激光平均输出功率为10.2 W、功率稳定均方根值为0.37%),异质光纤熔接界面未出现明显的过热和损伤情况(异质光纤熔接点和有源光纤温度均低于40℃),验证了该技术在发展高功率中红外全光纤激光器方面的重要作用。
图172.8 μm波段高功率全光纤激光器实验装置
Fig.172.8 μm band high power all-fiber laser experimental device
图182.8 μm激光输出测试结果
Fig.182.8 μm laser output test results
4 结论
本文构建了一种异质光纤热熔接模型,深入探讨并阐明了热熔接过程的基本机理。通过该模型,揭示了光纤尺寸对熔接温度场的显著影响机制,为优化熔接工艺提供了理论依据。在此基础上,依据详细的仿真分析结果,对相关参数进行了精细优化,最终实现了异质光纤的低损耗、低损伤以及高强度熔接,显著提升了熔接质量与性能。成功实现了波长为2.8 μm、功率为20.3 W的全光纤激光输出,这一成果充分验证了所优化熔接工艺在高性能全光纤激光器构建中的有效性与可靠性。本项工作不仅为多种软玻璃基质光纤与石英光纤之间的高质量熔接提供了极具价值的指导,也为全光纤结构激光器的高效构建与稳定运行提供了坚实的理论与技术保障,具有重要的学术意义与广阔的应用前景。




