摘要
以基于猫眼效应的激光主动探测为应用背景,针对现有研究因忽略光阑遮挡所引入的模型误差问题,在无离焦、正离焦和负离焦情况下,对光阑影响下的激光回波效率进行建模与仿真,通过Zemax数值模拟验证了模型及仿真结果的有效性。结果表明,猫眼效应最大入射角随焦距增大而减小,随离焦量增大而略有提升;回波效率随入射角增大而整体呈线性下降趋势,且焦距越大,回波效率下降速度越快。在物镜半径和分划板直径均为25 mm、焦距100 mm、入射角7.125°且猫眼目标无离焦的条件下,已有模型与本研究建立的模型对回波效率的预测误差分别为152.653%和1.213%。研究结果完善了现有激光主动探测理论模型,并为优化探测系统性能提供了参考。
Abstract
Based on the application of laser active detection using the cat-eye effect, the model errors introduced in existing research due to the neglect of aperture obstruction was addressed. The laser echo efficiency under the influence of the aperture was modeled and simulated under no defocus, positive defocus, and negative defocus conditions. Numerical simulations were performed using Zemax to validate the model and simulation results. The results show that the maximum incident angle of the cat-eye effect decreases with increasing focal length and slightly increases with greater defocus. The echo efficiency decreases linearly with the increasing incident angle, and the rate of decrease accelerates as the focal length increases. When the objective lens radius and reticle diameter are both 25 mm, the focal length is 100 mm, the incident angle is 7.125°, and there is no defocus, the prediction errors in echo efficiency for the existing and proposed models are 152.653% and 1.213%, respectively. The findings enhance the existing theoretical model of laser active detection and provide valuable insights for optimizing detection system performance.
Keywords
近年来,激光主动探测技术在光学目标检测领域展现出显著的应用潜力。激光主动探测技术利用猫眼目标对入射激光的反射特性,可实现对远距离目标的高效探测与精确识别[1-4]。激光回波能量作为探测识别的关键参数,决定了系统在复杂场景下的探测性能。因此,研究猫眼目标激光回波能量的变化规律及其影响因素具有重要的理论及应用价值。
国内外学者对猫眼目标激光回波能量进行了大量的研究[5-10]。2016年,钱锋[11]推导了猫眼目标的回波功率公式,系统考虑了激光器、光学系统、探测器、大气等因素的影响,但将猫眼目标视为一个整体,仅考虑了其有效接收面积和光学系统透过率;Zhang等[12]分析了激光探测系统参数和环境因素对探测范围和探测效率的影响,分析了激光发散角、入射角和大气能见度对激光主动探测性能的影响;李晓英等[13]利用衍射积分建立了光阑衍射效应对回波光场分布的影响模型,分析了探测距离、透镜口径、焦距、离焦量等因素的影响规律。2019年,段帅军等[10]构建了大视场猫眼回波功率分布模型,并仿真分析了入射角、离焦量、猫眼焦距和口径等因素对激光回波功率分布的影响,以及回波光束的原路返回特性。2021年,Zhang等[14]从环境照明和目标反射激光照明的角度,建立了探测系统灵敏度的模型。2022年,吕喆等[15]提出了倾斜入射多波段激光的三维回波分布计算模型,定量分析了激光波长、入射角和目标探测器参数的影响。同年,李旭东等[16]分析了激光波长与最大探测距离之间的关系,修正了反光指数模型和最大探测距离数学模型,使其更准确地反映入射波长的影响。2023年,Lü等[17]基于矩阵光学理论和Collins衍射积分法,构建了一个用于双波段猫眼目标回波探测的四区间理论模型。2024年,Solanki等[18]通过仿真和实验,对各种可能目标的逆向反射特性进行了研究。同年,王湛岩等[19]构建了激光主动探测传输基本模型,分析了大气衰减、入射角和离焦量等因素对猫眼目标回波功率的影响。
然而,上述研究在对猫眼目标激光回波能量进行建模时,未充分考虑目标内部光阑遮挡引起的能量衰减。尤其是在激光倾斜入射或猫眼目标光学系统存在离焦的情况下,基于现有理论模型计算的结果存在一定的误差。为了解决以上问题,本文深入研究了光阑遮挡对入射激光能量的衰减作用。分别在无离焦、正离焦和负离焦情况下,构建了光阑遮挡条件下的猫眼目标回波效率模型。通过仿真计算与实验验证,定量分析了回波效率与入射角、焦距、离焦量之间的关系。
1 光阑影响下猫眼目标回波效率建模
1.1 猫眼目标模型
常见猫眼目标包括狙击步枪瞄准镜、军用望远镜、夜视仪等,选择瞄准镜作为典型目标进行分析,其内部结构及光阑遮挡情况如图1所示。入射激光经物镜汇聚后到达分划板,部分被分划板反射后经物镜沿原路径返回,从而产生猫眼效应。在激光能量传输过程中,存在两次光阑遮挡:第一次发生在分划板平面处,光阑1(由镜筒和固定分划板的机械结构组成)的遮挡导致激光可能无法被分划板反射;第二次发生在物镜平面处,光阑2(物镜遮光罩)的遮挡导致被分划板反射的激光可能无法通过物镜出射。

图1猫眼目标内部结构
Fig.1Internal structure of cat-eye target
根据几何光学相关理论,可将猫眼目标光学系统简化为2个薄透镜和1个反射面的组合。在无离焦情况下,猫眼目标“4f模型”如图2所示。图2中,透镜1和透镜2均对应图1中的瞄准镜物镜,为了便于可视化分析,将其沿激光传播方向展开排列。

图2猫眼目标“4f模型”
Fig.2The "4f model" of cat-eye target
1.2 回波效率定义
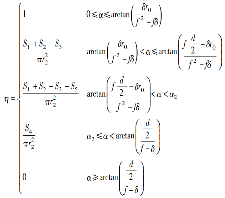
光阑遮挡条件下猫眼目标回波效率定义如下:
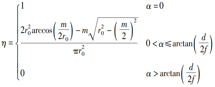
(1)
式中:Ein为物镜前镜面接收到的激光能量;Eout为经过两次物镜透射和一次分划板反射后,从物镜前镜面出射的激光能量。Eout=Ein·τ2l·ρ·τa,其中,τl为物镜透过率,ρ为分划板反射率,τa为光阑透过率(即光阑衰减后的激光能量与衰减前的激光能量之比)。
为了研究光阑遮挡因素本身对入射激光能量的衰减作用,在后续建模与分析过程中,暂不考虑物镜透过率和分划板反射率对激光能量的影响,即令τl=ρ=1,并假设猫眼目标物镜前镜面的入射激光能量均匀分布。
1.3 回波效率建模
下面将根据猫眼目标光学系统离焦量的不同,分别在无离焦、正离焦和负离焦情况下,针对激光传输过程、回波形状以及光阑遮挡对激光能量的影响进行分析,并构建光阑遮挡条件下猫眼目标回波效率模型。
1.3.1 无离焦情况下的回波效率模型
在猫眼目标光学系统无离焦的情况下,物镜焦平面与分划板共面,激光传输过程如图3所示。图3中,r0为透镜半径,f为透镜焦距,d为分划板直径,α为激光入射角(即入射激光与透镜主光轴之间的夹角)。

图3无离焦情况下的激光传输过程
Fig.3Laser transmission process without defocus
1)当激光平行入射时,入射激光不受光阑影响,回波形状为圆形,回波效率为100%。
2)当时(为能够产生猫眼效应的最大入射角),在透镜2平面处,传输至此的激光束在没有光阑遮挡的情况下,覆盖以O′为圆心的圆形区域,然而光阑2将激光回波限制在以O为圆心的圆形区域内。此时,回波形状为两圆交集,回波效率为两圆交集的面积与以O′为圆心的圆形面积之比。随着α逐渐增大,两圆交集的面积随之减小,回波效率也随之降低。
3)当时,入射激光完全被光阑1遮挡,回波效率为0,无法产生猫眼效应。
根据上述分析,经过公式推导可知,在猫眼目标光学系统无离焦的情况下,回波效率表达式如式(2)所示。

(2)
式中,m为圆心距OO′,其表达式为:
(3)
1.3.2 正离焦情况下的回波效率模型
在猫眼目标光学系统正离焦的情况下,分划板位于物镜焦平面后方,正离焦量为δ,激光传输过程如图4所示。

图4正离焦情况下的激光传输过程
Fig.4Laser transmission process with positive defocus
1)当时,入射激光被光阑2遮挡,回波形状为圆形。
2)当时,入射激光被光阑2遮挡,回波形状为两圆交集。
3)当时,激光同时受到光阑1和光阑2的遮挡。当入射角进一步增大时,入射激光仅受光阑1遮挡的影响,回波为特殊形状。
4)当时,激光完全被光阑1遮挡,无法产生猫眼效应。
根据上述分析,经过公式推导可知,在猫眼目标光学系统正离焦的情况下,回波效率表达式如式(4)所示。

(4)
式中,r2和α1的表达式详见式(5)和式(6),Si(i=1,2,···,5)的表达式详见式(7)。
(5)
(6)
(7)
其中,m为圆心距OO′,其表达式详见式(8)。如图4(c)所示,n为OS长度,p为O′S长度,其表达式详见式(9)和式(10)。
(8)
(9)
(10)
1.3.3 负离焦情况下的回波效率模型
在猫眼目标光学系统负离焦的情况下,分划板位于物镜焦平面前方,负离焦量的绝对值为δ,激光传输过程如图5所示。

图5负离焦情况下的激光传输过程
Fig.5Laser transmission process with negative defocus
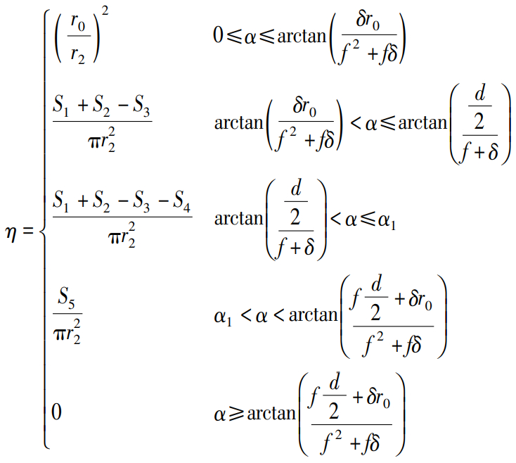
1)当时,入射激光不受光阑影响,回波形状为圆形,回波效率为100%。
2)当时,入射激光被光阑2遮挡,回波形状为两圆交集,回波效率为两圆交集的面积与以O′为圆心的圆形面积之比。
3)当时,入射激光被光阑1和光阑2遮挡,回波为特殊形状。
4)当时,入射激光完全被光阑遮挡,回波效率为0,无法产生猫眼效应。
根据上述分析,经过公式推导可知,在负离焦的情况下,回波效率表达式如式(11)所示。

(11)
式中,Si(i=1,2,···,5)的表达式详见式(7),r2和α2的表达式详见式(12)和式(13)。
(12)
(13)
式(7)中,m为圆心距OO′,其表达式详见式(14)。如图5(c)所示,n为OS长度,p为O′S长度,其表达式详见式(15)和式(16)。
(14)
(15)
(16)
1.3.4 三种离焦情况的对比
在不同离焦情况下,随着入射角增大,光阑遮挡的作用机制与回波效率的影响因素如表1所示。分析可知,在可产生猫眼效应的入射角范围内,光阑2是导致回波效率降低的主要因素,而光阑1产生影响时,入射光焦点已接近分划板的边缘位置,其影响的入射角范围较窄。
当激光平行入射时,在无离焦和负离焦情况下,回波不会受到光阑的遮挡。然而,在正离焦情况下,入射激光会聚焦于分划板前方,并继续传播至透镜2所在平面,此时光斑面积超过透镜2的范围,导致部分能量被光阑2遮挡。
表1三种离焦情况的对比
Tab.1Comparison of three defocus conditions

在无离焦情况下,回波效率受焦距和入射角共同影响。在离焦情况下,在绝大部分入射角范围内,回波效率受入射角、焦距和离焦量的影响,其中入射角是主要影响因素。
2 光阑影响下猫眼目标回波效率分析
2.1 仿真分析的输入参数
常见狙击步枪瞄准镜的物镜直径通常有24 mm、32 mm、40 mm、50 mm、56 mm等多个规格,镜筒直径主要包括25.4 mm(1英寸)、30 mm和34 mm三种规格,物镜焦距会随着瞄准镜的放大倍率不同而有所变化。通过对市场上多款不同品牌和型号的瞄准镜进行广泛调研与统计分析,确定了仿真分析所需的输入参数,如表2所示。αmax指能够产生猫眼效应的最大入射角。
表2仿真分析的输入参数
Tab.2Input parameters for the simulation analysis

2.2 无离焦情况下的回波效率分析
在无离焦情况下,回波效率与入射角和焦距的关系如图6所示。

图6无离焦情况下的回波效率
Fig.6Laser echo efficiency without defocus
由图6分析可知,在无离焦的情况下,αmax随焦距增大而减小。回波效率随入射角增大呈近似线性下降的趋势,且焦距越大,回波效率的下降速度越快。但在αmax处的回波效率为常量,其取值仅与透镜半径和分划板直径有关,而与焦距无关。具体而言,在焦距为100 mm、150 mm和200 mm的条件下:入射角由0°增大至1°时,回波效率由100%分别降低至91.117%、86.690%和82.278%;αmax分别为7.125°、4.764°和3.576°,在此处的回波效率均为39.100%。
2.3 正离焦情况下的回波效率分析
在正离焦1 mm的条件下,回波效率与焦距和入射角的关系如图7所示。

图7正离焦量1 mm时的回波效率
Fig.7Echo efficiency with a positive defocus of 1 mm
由图7分析可知,在正离焦情况下:
1)αmax随正离焦量增大而略有提高。具体而言,正离焦量1 mm时,焦距100 mm、150 mm和200 mm猫眼目标的αmax比无离焦时分别提高了0.070°、0.031°和0.018°。
2)回波效率在绝大部分角度范围内随入射角增大呈近似线性下降的趋势,且焦距越大,回波效率的下降速度越快。具体而言,在正离焦量为1 mm,焦距为100 mm、150 mm和200 mm的条件下,入射角由0°增大至1°时,回波效率分别降低至89.261%、85.531%和81.457%。与无离焦的仿真结果对比可知,在入射角和焦距一致的条件下,正离焦情况下比无离焦情况下的回波效率有所降低。
3)与无离焦情况的不同之处在于:回波效率在入射角从0°开始的一定范围内为小于1的常量,其大小随焦距增大而增大,随正离焦量增大而减小。当入射角超过某一临界值之后,回波效率迅速降为零。具体而言,在正离焦量为1 mm,焦距为100 mm的条件下:入射角由0°增大至0.142°时,回波效率保持96.117%不变;当入射角进一步增大至7.055°时,回波效率逐渐降低至38.869%;当入射角继续增大至7.195°时,入射角仅增大了0.140°,但回波效率迅速降为0。
2.4 负离焦情况下的回波效率分析
在负离焦1 mm的条件下,回波效率与焦距和入射角的关系如图8所示。

图8负离焦量1 mm时的回波效率
Fig.8Echo efficiency with a negative defocus of 1 mm
由图8分析可知,在负离焦情况下:
1)αmax随负离焦量增大略有提高,定量分析结果与正离焦情况基本一致,在此不再赘述。
2)回波效率在绝大部分角度范围内随入射角增大呈近似线性下降的趋势,且焦距越大,回波效率的下降速度越快。具体而言,在负离焦量为1 mm,焦距为100 mm、150 mm和200 mm的条件下,入射角从0°增大至1°时,回波效率分别降低至92.902%、87.842%和83.102%。与无离焦和正离焦的仿真结果对比可知,在入射角和焦距一致的条件下,负离焦情况下回波效率最高,正离焦情况下回波效率最低。
3)在入射角从0°开始的一定范围内,回波效率不受入射角、负离焦量和焦距大小的影响,始终为100%。当入射角超过某一临界值后,回波效率迅速降为零。具体而言,在负离焦量为1 mm,焦距为100 mm的条件下:入射角由0°增大至0.145°时,回波效率保持100%不变;当入射角进一步增大至7.054°时,回波效率逐渐降低至40.467%;当入射角继续增大至7.196°时,入射角仅增大了0.142°,但回波效率迅速降为0。
2.5 回波效率影响因素的物理机制
在回波效率建模与分析过程中,暂时忽略光束在透镜1孔径处的衍射效应,而将该孔径沿光束传输方向投影到透镜2所在平面。透镜1的投影孔径与透镜2的实际孔径叠加,得到一个等效的合并孔径。通过这种双衍射孔径投影合并的方法,透镜1的衍射效应可由其投影孔径的衍射效应代替。由于猫眼目标的探测距离远大于两倍焦距,这种近似带来的误差可以忽略不计,因此可以基于几何光学方法对透镜1和透镜2之间的光束传输过程进行分析。
对于同一猫眼目标,其焦距为固定值。当入射角增大时,透镜1的投影孔径在透镜2平面内的偏移量随之增加,导致合并孔径减小,进而使回波效率降低。而在入射角相同的条件下,由式(3)、式(8)、式(14)可知,圆心距OO′随焦距增大而增大。换言之,当入射角保持不变时,透镜1的投影孔径在透镜2平面内的偏移量会随焦距增加而增大,导致合并孔径缩小,从而使回波效率降低。
在正离焦的情况下,入射激光在分划板前方聚焦,随后继续传播至透镜2所在平面,使得透镜1的投影孔径大于透镜2的实际孔径。因此,在入射角从0°开始的一定范围内,等效合并孔径始终为透镜2孔径,导致该角度范围内的回波效率为小于1的常数。
在负离焦的情况下,入射激光在分划板后方聚焦,随后继续传播至透镜2所在平面,使得透镜1的投影孔径小于透镜2的实际孔径。因此,在入射角从0°开始的一定范围内,等效合并孔径始终为透镜1孔径,导致该角度范围内的回波效率始终为100%。
3 Zemax数值模拟实验验证
基于商用Zemax光学仿真软件,对猫眼目标激光回波效率模型及其仿真结果进行了数值模拟实验验证。鉴于负离焦与正离焦情况的相似性,为了实验的简洁性和有效性,选择无离焦和正离焦两种情况进行验证与分析。
3.1 无离焦情况下的实验验证与分析
在无离焦情况下,100 mm、150 mm和200 mm焦距猫眼目标的αmax仿真光路图和回波形状的数值模拟结果如图9所示。

图9无离焦时Zemax数值模拟结果
Fig.9Zemax numerical simulation results without defocus
基于本研究建立的模型计算的最大入射角与Zemax数值模拟结果的对比见表3,可以看到模型对于激光入射角有效范围的预测与Zemax结果基本一致,误差几乎可以忽略。
表3无离焦情况下最大入射角的模型预测误差
Tab.3Model prediction error of the maximum laser incident angle without defocus

此外,本研究建立的模型与现有模型(未考虑光阑遮挡)关于激光回波效率预测误差的对比见表4。在回波效率定义部分,已经将透镜透过率和分划板反射率设置为1,因此基于现有模型计算的回波效率为100%。
模型预测误差的定义为:
(17)
式中,ηM为根据模型计算的回波效率,ηZ为Zemax数值模拟结果。
表4无离焦情况下,模型对回波效率的预测误差 (焦距100 mm,入射角7.125°)
Tab.4Model prediction error of the echo efficiency without defocus (100 mm focal length, incident angle is 7.125°)

分析表4可知,在设定的条件下,现有模型预测误差为152.653%,而本研究建立的模型预测误差仅为1.213%。
3.2 正离焦情况下的实验验证与分析
在正离焦1 mm、焦距100 mm的条件下,不同入射角的仿真光路图及回波形状的数值模拟结果如图10所示。

图10Zemax数值模拟结果
Fig.10Zemax numerical simulation results
Zemax结果与模型结果的对比见表5,分析可知,在设定的条件(正离焦1 mm,焦距100 mm,入射角7.055°)下,现有模型预测误差为139.641%,而本研究建立的模型仅为6.854%。
表5模型对不同入射角下回波效率的预测误差
Tab.5Model prediction errors of echo efficiency for different incident angles

3.3 误差分析
在实际光学系统中,由于透镜的球差、彗差及场曲等像差的存在,系统边缘与中心的成像质量存在差异。此外,不同入射角度的激光经过非理想光学系统后,其像面位置可能发生偏移。Zemax数值模拟能够较为全面地考虑这些因素,从而使模拟结果更接近实际光学系统的成像特性。本研究基于猫眼目标光学特性,采用“两个透镜和一个反射面”的简化模型,并假设透镜为理想薄透镜,以便于几何分析与计算。然而,这种简化忽略了透镜的厚度、边缘效应以及高阶像差等因素,导致其与Zemax数值模拟结果之间存在一定偏差。
具体而言,当入射角为0°时,简化模型计算结果与Zemax结果的相对误差为0.205%,表明此时简化模型的计算精度较高。然而,随着入射角的增大,透镜厚度引起的光程差增大,高阶像差更加明显,且近轴近似逐渐失效,使得简化模型计算结果与Zemax结果之间的偏差逐渐增大。当入射角增至7.055°时,相对误差达到6.854%,说明忽略透镜厚度、高阶像差等因素所带来的影响不可忽略。
为了减小误差并提升模型精度,可以考虑从以下两个方面进行改进:①考虑透镜厚度对光束传播路径的影响,基于非理想光学系统建立包含主平面位移和实际厚度的光线追迹方程,以更准确地描述光学系统的成像特性;②利用Zernike多项式展开波前像差,定量分析高阶像差对等效合并孔径的影响,修正不同入射角条件下的合并孔径计算。
4 结论
深入分析了光阑遮挡对猫眼目标激光回波能量的衰减效应,建立了不同离焦情况下的回波效率模型,以更精确地描述光阑影响下猫眼目标的回波特性。在理论层面,完善了现有激光主动探测理论模型,相比现有模型,能显著降低因忽略光阑遮挡效应所导致的回波能量预测误差;分析了光阑对猫眼目标回波能量的作用机制,揭示了焦距、入射角和离焦量对回波效率的影响规律,为探测系统的优化设计提供了理论依据。在应用层面,研究成果可提升激光主动探测系统的探测精度和可靠性,并为目标识别算法提供更精确的回波能量输入,提高复杂场景下的目标检测能力。未来研究将重点关注平面波的衍射传输问题,从而进一步完善激光主动探测的理论模型。