摘要
针对柱体驰振抑制问题提出了非线性吸能器(nonlinear targeted energy transfer,NTET)的振动调控策略,从理论和实验研究了非线性吸能器对驰振抑制的影响规律。采用准稳态理论描述流体力,基于能量法建立了柱体驰振与NTET耦合的动力学理论模型,通过实验结果验证了理论模型的有效性。线性动力学分析表明,增大NTET的弹簧预拉力会增加耦合阻尼比和耦合频率,导致柱体发生驰振的起振风速减小。非线性动力学分析发现,驰振响应抑制效果受NTET线性和非线性刚度的共同影响。存在最优线性刚度,使得振动幅值抑制效果最佳;NTET非线性刚度越大,驰振抑制效果越好; NTET弹簧预拉力越小、弹簧刚度越大,柱体振幅越低。该研究可为工程中柱体结构驰振调控策略的有效设计提供有用的理论支撑和实验数据。
Abstract
A vibration control strategy based on NTET (nonlinear targeted energy transfer) for suppressing galloping of the cylinder was proposed. The effect of NTET on controlling galloping responses was explored from both theoretical and experimental aspects. The fluid force was described based on the quasi-steady theory. The dynamic theoretical model was constructed based on the energy method for the coupling of cylinder galloping and NTET. The theoretical model was validated by comparing the predicted results with experiments. The linear dynamic analysis shows that increasing the spring pretension can increase the coupled damping ratio and frequency. As a result, the onset wind speed of galloping for the square cylinder is decreased. The nonlinear dynamics analysis reveals that the NTET′s linear and nonlinear stiffness have an effect on the vibration responses. There is an optimal value of linear stiffness where the suppressing effect is the best. The larger the nonlinear stiffness is, the better the control effect of the NTET. What′s more, the smaller the spring pretension of the NTET, the larger the spring stiffness, and the lower the amplitude of the cylinder. This study can provide theoretical support and experimental data for effectively designing galloping control strategies in engineering applications.
流致振动现象在重大工程领域中经常出现,比如海洋工程、土木工程、航空航天、电力传输等[1-3]。对于流致振动行为而言,一方面可以利用流致振动采集能量来为微小型电子设备供电[4-9];另一方面由于发生的动力学行为复杂多样,流致振动响应也会给工程结构带来损害。因此,在过去几十年里,结构流致振动预测和抑制引起了研究人员的广泛关注[10-16]。
国内外研究者针对振动抑制问题相继提出了主动或被动调控策略,用于各种工况下的振动控制[17-18]。早期,研究人员针对结构瞬态激励和受迫振动,设计非线性吸能器(nonlinear targeted energy transfer,NTET)进行振动控制,取得了许多重要研究成果。比如,Vakakis等[19]在研究梁结构动力学响应时,率先提出了非线性能量阱(nonlinear energy sink,NES)减振控制器,以用来消除或降低柔性梁结构的冲击和振动干扰。Tumkur等[20-21]利用NES对弹性支撑圆柱体涡激振动进行振动控制研究,结果表明,选择合适的NES参数可以显著抑制圆柱体涡激振动振幅。Dai等[22-23]通过建立耦合系统动力学理论模型,研究了NES质量比、阻尼比、刚度比等参数对涡激振动和驰振控制效果的影响,发现最优参数值能使系统的振动控制达到最佳效果。陆子等[24]通过对弹性支撑圆柱安装非线性吸能器,从实验上证实了该结论。Zhou等[25]提出了调谐质量阻尼器和NES的耦合控制器,以增强细长结构的稳定性并抑制其非线性振动。Ding等[26]等系统全面地阐述了非线性能量阱在工程振动控制中的应用,为非线性振动控制器的设计、研发及分析提供了重要的指导依据。此外,Zhang等[27]针对六跨连续梁模型,研究了基于NES的多自由度柔性结构涡激振动控制,综合考虑了控制的有效性和鲁棒性,并进行了参数分析,确定了最优的系统参数值。Hasheminejad等[28]开展了二维计算流体动力学(computational fluid dynamics,CFD)仿真研究,探讨了柔性圆柱涡激振动的主动/半主动混合交叉控制问题。研究发现,与混合交叉控制相比,采用NES被动控制有更好的振动响应抑制效果。
反馈控制作为一种重要的主动控制,经常用于抑制结构的振动。Baz等[29]提出了一种速度反馈控制器,用以控制柔性圆柱涡激振动。Mehmood等[30]研究发现非线性反馈力控制器比线性速度反馈器更有效。Wang等[31]引入时滞控制器,用于控制弹性支撑方柱体的驰振响应。Dai等[32]在文献[31]的工作上加以改进,研究了线性与非线性时滞组合的调控策略,以抑制柱体驰振的低频大幅响应。Cui等[33]通过实验研究了附加柔性分流板对圆柱流激振动的控制影响,结果表明,在一定流速范围内,刚性分流板减小了柱体的振动幅值。Li等[34]研究了雷诺数在2 600~9 100范围内锯齿状分流板对柔性立管流激振动的控制效果,发现均匀分布的锯齿状分流板对振幅的控制效果最佳,而过于密集或稀疏的锯齿会降低抑制作用。
由以上研究可知,目前国内外学者针对流致振动控制问题,取得了一些重要成果,但大多是基于理论或仿真模型开展的研究,尤其关于非线性吸能被动控制实验方面的研究,鲜有报道。鉴于此,本文针对柱体驰振响应抑制问题,提出了一种基于非线性吸能器的调控策略,并进行了理论建模与实验设计研究。一方面通过实验研究验证非线性吸能器在流致振动控制中的有效性;另一方面基于动力学理论模型研究非线性吸能器对驰振抑制效果的影响规律,从而得到非线性吸能器的最优参数值。
1 动力学理论建模
本文研究对象为横截面边长为D的弹性支撑柱体结构,该柱体受到流速为U的横向来流的作用,当流速超过临界值时,柱体发生驰振响应。假设柱体在受到横向均匀来流作用时只在竖直(y)方向内振动,其中柱体的质量、阻尼、刚度分别表示为m1,c1和k1。通过引入NTET以控制柱体的驰振响应。该NTET由质量块m2和原长为L0、阻尼为c2、刚度为k2的弹簧组成。动力学理论模型中关于柱体和非线性吸能器的阻尼来源于弹簧变形过程中产生的机械阻尼。实验中将NTET放置在柱体内以避免流体对NTET产生影响,结构示意图如图1所示。

图1整体结构
Fig.1Overall structure
假设NTET质量块位于初始位置时,对应的弹簧长度为L,则预拉力P=k2(L-L0)。弹簧变形后与初始水平位置的夹角为θ,弹簧变形后的长度为L′。质量块m2在运动过程会受到非线性弹簧力的作用,如图2所示。由几何和受力平衡关系可求得该非线性弹簧力:
(1)

图2NTET结构
Fig.2Structure of NTET
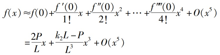
式中,x为NTET质量块偏离初始位置的距离。将f(x)在x=0处泰勒展开(),得:

(2)
由(2)式可以看出,非线性弹簧力f(x)在初始位置可以展开为线性刚度和非线性刚度两部分。同时,忽略x5及以上的项,得到线性刚度系数k2,1=2P/L,非线性刚度系数k2,2=(k2L-P)/ L3。可以看出,k2并不代表NTET的线性刚度,但是对非线性刚度系数k2,2有影响。
设柱体和NTET的振动幅值分别为y1(t)和y2(t),则它们的动能分别为:
(3)
(4)
势能分别为:
(5)
(6)
阻尼做功分别为:
(7)
(8)
根据经典的拉格朗日方程,得:
(9)
其中:T,V和W分别代表气动弹性耦合系统的总动能、总势能和总耗散能;qn表示系统的广义坐标,q1=y1,q2=y2;Fn为广义力。将各项表达式代入式(9),基于能量法可得到含NTET的柱体驰振耦合控制方程:

(10)
质量块与柱体之间的质量比β=m2/m1。由于所考虑的流体为空气,可忽略附加流体对质量m1的影响。Fl(y1)表示作用在柱体上的时间相关外力驰振力,根据Barrero-Gil等[35]的研究,用准稳态理论来描述气动力。
(11)
式中:ρf是流体密度,取1.2 kg/m3;D是柱体的迎风有效直径,为0.03 m;U表示流体速度。由于该气动弹性系统的固有频率远小于涡流脱落频率,对于高雷诺数,使用前3项来表征驰振力已足够精确。经验参数an(n=1,2,3)与形状截面相关,并由实验确定,取a1=2.3,a2=0,a3=-18。
2 结果分析与讨论
2.1 理论模型验证
为了验证理论模型的准确性,设计了模型实验,将NTET安装在柱体内部。实验中柱体的物理和几何参数为m1=0.023 kg,D=0.03 m,c1=0.01 N·s/m,k1=24 N/m;NTET的物理参数为m2=0.003 kg,c2=0.02 N·s/m,k2=8 N/m,L≈L0=0.035 m,P=0.01 N。以上物理参数值由实验测量得到。将主系统失去稳定并发生自激振动时的临界风速定义为起振风速,记为Ug。图3给出了理论和实验对比结果,并给出了在风速为1.83 m/s下柱体结构的振动情况。从图3可以看出,当不安装NTET时,柱体结构的起振风速小于0.5 m/s,振幅随风速增大呈现不断上升趋势,风速超过2 m/s时,柱体的振幅已经超过2 cm。安装了NTET后,柱体的起振风速增大到0.8 m/s左右,振幅大幅减小,并且随着风速逐渐增大,振幅的增长趋势逐渐减缓。安装NTET可以改变柱体结构的动力学特性,从而增大了临界流速,提高了其稳定性,抑制了柱体结构的振幅。
2.2 线性动力学分析
基于动力学理论模型,这一节将开展柱体结构系统的线性动力学分析。重点研究NTET中的预拉力P对气动弹性系统的耦合阻尼比、耦合频率和起振风速的影响。忽略控制方程(10)中的非线性项,此时,动力学方程为:

图3理论预测与实验结果对比
Fig.3Comparison between theoretical predictions and experimental results

(12)
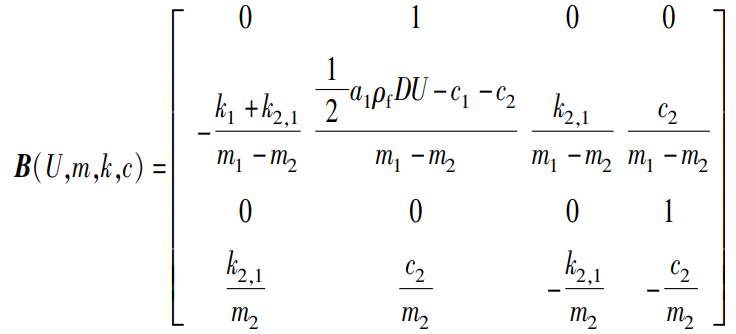
引入状态变量

(13)
A对时间的一阶偏导为:
(14)
其中

(15)
需要注意的是,矩阵B通常有四个特征值,即λi(i=1,2,3,4),前两个特征值λ1和λ2是复共轭的,它们与柱体结构的振动特性相关,这两个特征值的虚部代表气动弹性系统的耦合频率,实部与虚部比值的绝对值代表系统的耦合阻尼比。第三和第四个特征值λ3和λ4也是复共轭的,并且与引入的NTET结构有关,它们的实部始终是负值。需要指出,当气动阻尼大于系统的耦合阻尼时,系统会出现失稳振动。因此,耦合的气动弹性系统的平凡解的稳定性取决于前两个特征值的实部Re(λ1)。如果Re(λ1)为负值,那么系统的解是渐进稳定的;如果Re(λ1)为正值,那么系统的解是不稳定的。当风速为Ug,即起振风速时,Re(λ1)=0。
从方程(12)及矩阵(15)可以看出,耦合系统中线性项k2,1=2P/L是影响矩阵特征值的重要因素。值得一提的是,由P=k2(L-L0)可知,预拉力P并非独立变量。为了便于定量分析,固定弹簧刚度k2,讨论不同形变量(L-L0)导致预拉力P改变对气动弹性系统动力学特性的影响。图4~6分别绘制了当NTET弹簧刚度k2=8 N/m时,气动弹性系统的耦合阻尼比和耦合频率随风速U及预拉力P的变化规律。系统的稳定性与耦合阻尼比相关,当阻尼比为负值时,系统稳定未发生自激振动;当阻尼比为正值时,系统失稳发生驰振。由图4可以观察到,对于所有的预拉力P,耦合阻尼比均从负值增长为正值,代表系统由稳定转为失稳;同一风速下,预拉力P越大时所对应的耦合阻尼比也越大,这说明较大的预拉力可能导致系统失稳。由图5可以看出,同一预拉力P下,风速U的改变并不会导致耦合频率明显变化;同一流速U下,由于预拉力P的改变会影响方程(12)中的线性项系数,因此预拉力P增大时,系统耦合频率增大。图6给出了当NTET弹簧刚度k2=8 N/m时,不同预拉力状态下安装了NTET与不安装NTET的起振风速对比,可以看出,安装了NTET的气动弹性系统的起振风速明显滞后,当预拉力P增大时,起振风速逐渐降低并趋近于某一极限值。

图4耦合阻尼比随风速和预拉力的变化
Fig.4Variations of the coupled damping ratio as function of the wind speed and pretension
2.3 非线性动力学分析
这一节将进一步研究安装NTET后柱体结构的非线性动力学特性。从理论和实验的角度分别讨论NTET的预拉力、刚度等参数对柱体驰振振动控制的影响,旨在设计出最高效的NTET结构。
由上一节的分析得知,线性项系数k2,1会较大影响气动弹性系统的起振风速,根据控制方程(10),推测线性项系数k2,1与非线性项系数k2,2会共同影响系统的振动响应。因此,通过改变这两项系数,研究NTET的参数对柱体系统振动响应的影响。

图5耦合频率随风速和预拉力的变化
Fig.5Variations of the coupled frequency as function of the wind speed and pretension

图6起振风速随预拉力的变化
Fig.6Variations of the onset speed of galloping as function of pretension
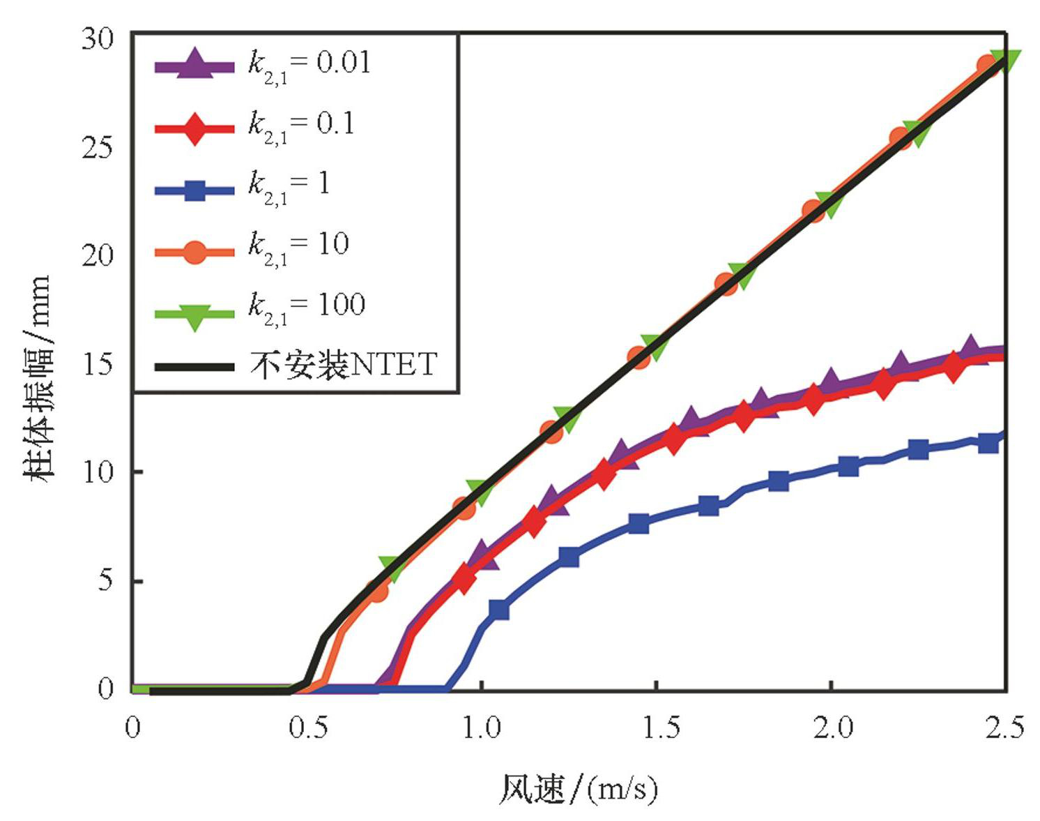
图7和图8给出了不同参数下柱体驰振振动响应的曲线,分别固定线性项系数k2,1和非线性项系数k2,2以控制单一变量。
图7给出了当非线性项系数k2,2恒为5 000时,不同线性项系数k2,1下柱体的振幅曲线。有意思的是,恒定的k2,2下,随着k2,1的不断增大,柱体振幅出现了先减小后增大的趋势;当k2,1增大到某一值后,NTET结构对于耦合系统的减振效果明显减弱,最终振幅曲线趋近于不安装NTET的振幅曲线;并且k2,1=1时,NTET获得最佳减振效果。图8给出了当线性项系数k2,1恒为1时,不同非线性项系数k2,2下柱体的振幅曲线。恒定的k2,1下,随着k2,2的不断增大,柱体振幅逐渐减小,说明NTET对于系统振动控制能力会随着k2,2的增大而逐渐增大。从能量传递的角度可以解释:安装NTET之后,柱体的能量会有部分转移到NTET上,根据式(6)可知,当NTET结构的非线性刚度越大时,NTET的势能变化越快,系统耗散于NTET的能量越多,从而减弱了柱体的振动响应。以此为基础,进一步开始实验和理论对比论证。

图7柱体振幅随不同k2,1的变化曲线
Fig.7Vibration amplitude of square prism for different values of k2, 1

图8柱体振幅随不同k2,2的变化曲线
Fig.8Vibration amplitude of square prism for different values of k2, 2
2.4 预拉力和刚度对控制性能的影响
针对上述理论分析开展实验论证,进一步研究NTET的预拉力、刚度等参数变化对于控制性能的影响。
对相同弹簧刚度k2、不同预拉力P下NTET的控制效果展开论证,实验中通过改变弹簧伸长量(L-L0)的方式来控制P的变化。为了避免NTET质量对柱体结构质量的影响,保持质量比β较小(β≈0.1)。实验中所用柱体的物理及几何参数为m1=0.023 kg,D=0.03 m,c1=0.01 N·s/m,k1=24 N/m;NTET的物理参数为m2=0.003 kg,c2=0.02 N·s/m,k2=8 N/m,L0=0.035 m。图9给出了不同预拉力状态下(分别对应伸长量为0、1 cm、2 cm)实验和理论对比结果,可以看出实验和理论结果基本一致。随着预拉力P逐渐增大,NTET的减振效果逐渐减弱。与不安装NTET的实验结果对比,安装了NTET后的柱体起振风速明显滞后,并且振动幅值明显下降。当预拉力P尽可能小时,系统非线性刚度k2,2达到最大,此时NTET获得最佳减振效果。

图9不同预拉力下实验结果和理论预测对比
Fig.9Comparisons between theoretical predictions with experimental results for different values of pretension
以此为基础,讨论系统线性刚度和非线性刚度对NTET控制效果的影响。为了消除预拉力P变化带来的影响,控制预拉力P为定值,选取不同刚度k2(k2=8 N/m,L0=0.035 m;k2=6 N/m,L0=0.045 m;k2=4 N/m,L0=0.055 m)的弹簧进行实验。为控制实验时预拉力大小一致,实验前用弹簧测力计矫正弹簧拉伸长度。图10给出了低预拉力状态下,不同刚度k2的实验和理论对比结果。从图10中可以看出,相同预拉力P下,随着刚度k2的增加,NTET的减振效果逐渐增强,这是因为系统的非线性刚度k2,2=(k2L-P)/ L3在逐渐增大。因此当弹簧刚度尽可能大时,系统的非线性刚度达到最大,此时NTET获得最佳减振效果。以上两组实验均能与理论预测结果有较好的对比,论证了NTET减振效果与结构线性刚度、非线性刚度之间的联系。

图10不同弹簧刚度下实验结果和理论预测对比
Fig.10Comparisons between theoretical predictions and experimental results for different spring stiffness
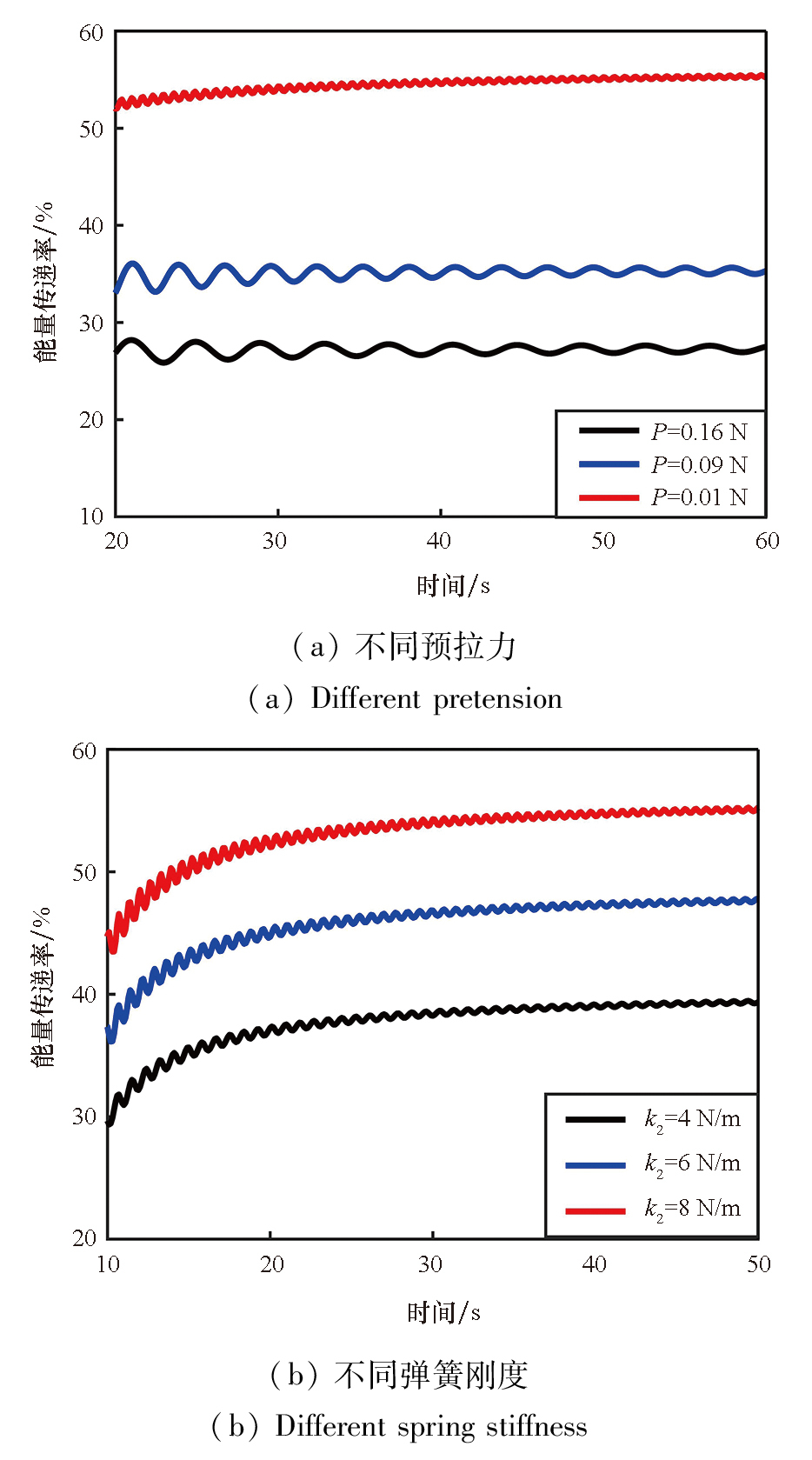
为了验证前一节能量传递猜想的正确性,从而深入了解流固耦合控制系统能量耗散问题[36],引入变量η=Wout(t)/Win(t)表示能量传递率,Wout(t)表示NTET的总能量,Win(t)表示输入系统的总能量,其表达式为:
(16)
(17)
图11分别给出了以上两组验证实验的能量传递率随时间变化曲线。从图11(a)可以看出,随着预拉力P的逐渐增大,能量传递率快速下降,当预拉力P由较小值增加到0.16 N时,能量传递率下降到一半左右。当系统振动达到稳态之后,能量传递率保持稳定。从图11(b)可以看出,预拉力P保持不变时,随着刚度k2的增加,能量传递率缓慢上升,当刚度k2=8 N/m时,振动稳定后能量传递率超过50%。综上可以看出,增大系统的非线性刚度能够提升NTET结构从柱体的振动中吸收能量的能力,从而更好地抑制驰振振动。最后,在表1中给出了NTET结构在最佳参数下柱体结构的起振风速及在风速为2 m/s时的振幅,同时得出起振风速增大率与振幅减小率。起振风速增大率与振幅减小率计算如下:

图11NTET的能量传递率随时间变化曲线
Fig.11Energy transfer efficiency curve of NTET over time
(18)
(19)
其中:UgN 和y1N为安装NTET时柱体的起振风速和振幅;UgO和y1O为不安装NTET时柱体的起振风速和振幅。
表1NTET最佳参数下关键指标变化率
Tab.1Change rate of key indicators under optimal NTET parameters

3 结论
本文提出了一种基于非线性吸能器的柱体驰振被动调控策略。基于能量法建立了柱体驰振和非线性吸能器耦合的非线性动力学理论模型,通过实验研究,该理论模型得到了实验结果的验证。基于动力学模型,分别开展了线性和非线性动力学分析,研究了NTET对柱体驰振响应抑制效果的影响规律。结果表明,NTET线性刚度和非线性刚度对抑制效果有很强烈的影响。研究发现:有最优线性刚度值使得柱体驰振抑制效果最佳;在最优线性刚度条件下,非线性刚度越大,NTET的减振效率越高。理论和实验研究均表明, NTET弹簧预拉力越小、弹簧刚度越大,驰振抑制效果越好,柱体振幅越小。