摘要
针对航天服软关节单历程阻力矩的现有模型精度低、形状误差大等问题,建立了一种改进的B-W(Bouc-Wen)数学模型。通过分析航天服软关节单历程阻力矩迟滞曲线特性,引入了B-W迟滞模型,并改进以消除模型的冗余度和对称性,用于对软关节单历程阻力矩的数学表征;借鉴模拟退火算法中概率思想对多岛遗传算法中个体遗传进行操作,实现对改进B-W模型的参数进行高精度、高效率地辨识。经过航天服不同软关节仿真和实验的验证,改进后的B-W模型较现有J-A(Jiles-Atherton)模型更适用于航天服软关节单历程阻力矩的数学表征,其阻力矩方差较J-A模型降低2个数量级。结果表明,该数学模型应用于航天服软关节单历程阻力矩具有较高的精度,且对航天服不同软关节均具有较强的适用性。
Abstract
Aiming at the problems of low accuracy and large shape error of existing models for single-course resistance torque of spacesuit soft joints, an improved B-W(Bouc-Wen) mathematical model was established. By analyzing the hysteresis curve characteristics of single-course resistance torque of spacesuit soft joints, the B-W hysteresis model was introduced and improved to eliminate the redundancy and symmetry of the model, which was used to characterize single-course resistance torque of soft joints mathematically. The individual genetic process of multi-island genetic algorithm was operated by using the probability thought of simulated annealing algorithm to identify the parameters of improved B-W model with high accuracy and efficiency. Based on the verification of experiments and simulations of different soft joints of spacesuit, the improved B-W model compared with the J-A(Jiles-Atherton) model is more suitable for the mathematical characterization of single-course resistance torque of spacesuit soft joints. The variance of resistance torque of improved B-W model is two orders of magnitude lower than that of J-A model. It shows that the mathematical model has high accuracy when applied to single-course resistance torque of spacesuit soft joints, and has strong applicability to different soft joints of spacesuit.
舱外航天服是为航天员在舱外作业时提供个人防护的作业装备[1]。为保障航天员生存所需气体环境,航天服内部需要充气,而航天服充气后运动会产生变形效应、压力效应和体积效应等现象[2],在人体运动过程中产生阻碍作用,使关节产生阻力矩,从而对航天员的运动能力产生直接影响[3]。为保障关节运动的灵活性[4],航天服软关节阻力矩水平成为舱外运动能力的重要评估因素[5-6],而单历程阻力矩为复杂运动历程阻力矩的研究基础[7],因此,航天服软关节单历程阻力矩数学模型的建立对分析阻力矩特性具有重要意义。
航天服软关节阻力矩随单历程运动(关节从初始状态弯曲至指定角度后,伸展至初始状态)关节转角变化呈现迟滞特性[7];而航天服作业过程中关节阻力矩大小不仅与当前关节运动状态相关,而且与关节运动历程相关[8],即呈现历程相关性。所以,实现对航天服各关节阻力矩的准确计算十分困难。Schmidt[7]率先将唯象学模型引入航天服领域,基于Preisach模型特性,将单历程阻力矩分解用于其离散化表征,进行了复杂历程下的软关节阻力矩预测。此后,为了提高Preisach模型的预测精度,学者们不断进行改进和优化。王晓东等[8]通过径向基函数网络优化Preisach模型,提出了一种NNOPM模型用于阻力矩预测,虽然预测结果较好,但所需样本数量较大且额外增加了网络的训练时长。刘文樵等[9]将一种唯象学模型的内插方法[10]应用于Preisach模型,开展了航天服关节阻力矩的预测工作,由于采用线性插值方法,仍需要大量样本对模型平面进行表征。Li等[11]利用Preisach模型开展关节阻力矩的计算,并结合径向基函数神经网络实现外骨骼机器人对关节阻力矩的补偿。虽然Preisach模型能够对关节复杂运动历程阻力矩进行高精度预测,但Preisach模型是一种唯象学模型,难以从模型中直接提取出物理模型,完全基于数学处理对迟滞曲线描述;且需要大量数据和训练时间[12],模型才能具有较高的精度,否则模型积分平面表征不精确,导致模型预测精度受限。
上述考虑历程的阻力矩预测方法,需要单历程阻力矩对模型积分平面进行精确表征,才能实现高精度预测,因此,学者尝试开展应用于单历程阻力矩方法或模型的研究:王昊等[13-14]、赵京东等[15-16]分别开展了航天服软关节实验,并采用spline曲线对加卸载过程阻力矩进行拟合,但未提出新的数学模型;张新军等[17]、李照阳等[18-19]则尝试采用J-A(Jiles-Atherton)模型对航天服单历程阻力矩进行拟合,但该模型属于电磁学领域模型,受限于模型本身的对称性,与实验曲线存在误差。电、磁学等领域模型虽能够体现阻力矩的迟滞特性,但往往具有对称性。而航天服软关节阻力矩在加卸载过程中往往具有非对称性,需要消除模型对称性才能得到应用,因此在工程应用方面存在局限性。目前,针对航天服软关节单历程阻力矩高精度数学模型的开发存在空缺。
为此,本文基于对单历程阻力矩特性的分析,引入B-W(Bouc-Wen)迟滞模型,结合模型特性及在软关节阻力矩方面应用的限制,对模型进行了改进;并采用改进的多岛遗传算法对模型参数进行辨识;最终,建立一套应用于航天服软关节单历程阻力矩的高精度数学模型。
1 航天服软关节单历程阻力矩特性
在开展航天服软关节单历程阻力矩数学模型的研究前,需要先对单历程阻力矩特性展开分析,提出数学模型需满足的性质。某型航天服肩软关节单历程阻力矩-转角特征曲线如图1所示。

图1航天服肩软关节单历程阻力矩-转角特征曲线
Fig.1Single-course resistance torque versus angle characteristic curve of spacesuit shoulder soft joint
由图1可知,随关节弯曲,转角增大,阻力矩增大;反之,阻力矩减小。结合图1对航天服软关节单历程阻力矩-转角特征曲线的分析,得到性质如下:
性质1:迟滞特性。在关节弯曲和伸展过程中,相同关节转角下,弯曲过程阻力矩大于伸展过程阻力矩,弯曲和伸展过程阻力矩不重合,呈现迟滞特性。
性质2:闭合性。软关节单历程阻力矩随关节转角增加,弯曲段与伸展段阻力矩差值呈现先增加后减小的趋势;在人体与航天服初始接触时和关节单历程运动中转动至最大转角时,弯曲段和伸展段阻力矩基本相同。此即单历程阻力矩-转角曲线闭合。
性质3:非对称性。软关节单历程阻力矩弯曲段曲线形状与伸展段曲线形状不一致,呈现一定的非对称性。
基于上述分析,单历程阻力矩的数学模型应能够充分表征单历程阻力矩迟滞曲线特性,且模型能够高精度描述弯曲伸展过程阻力矩曲线,整体误差较小。压电陶瓷领域的B-W模型针对迟滞特性曲线拟合精度高、模型简单,因此,引入B-W模型用于建立航天服软关节单历程阻力矩的数学模型。
2 单历程阻力矩的数学模型
2.1 传统B-W模型
传统B-W模型[20]应用于研究堆叠压电陶瓷片在电压驱动下的动力学特性,其动力学方程为
(1)
式中,M、C和K分别为单向驱动堆叠压电陶瓷片的质量系数、阻尼系数和刚度系数,x(t)为堆叠压电陶瓷片在压电效应下产生的位移。F(t)为单向驱动状态下堆叠压电陶瓷片产生的输出力,其具体形式为
(2)
式中,α和kρ为压电陶瓷系数,u(t)为压电陶瓷片的驱动电压。h(t)为压电陶瓷在电压驱动下引起的非线性迟滞项,其微分方程形式为
(3)
式中,A、β、γ为模型迟滞参数,控制迟滞曲线的形状与迟滞特性,一般通过实验确定。
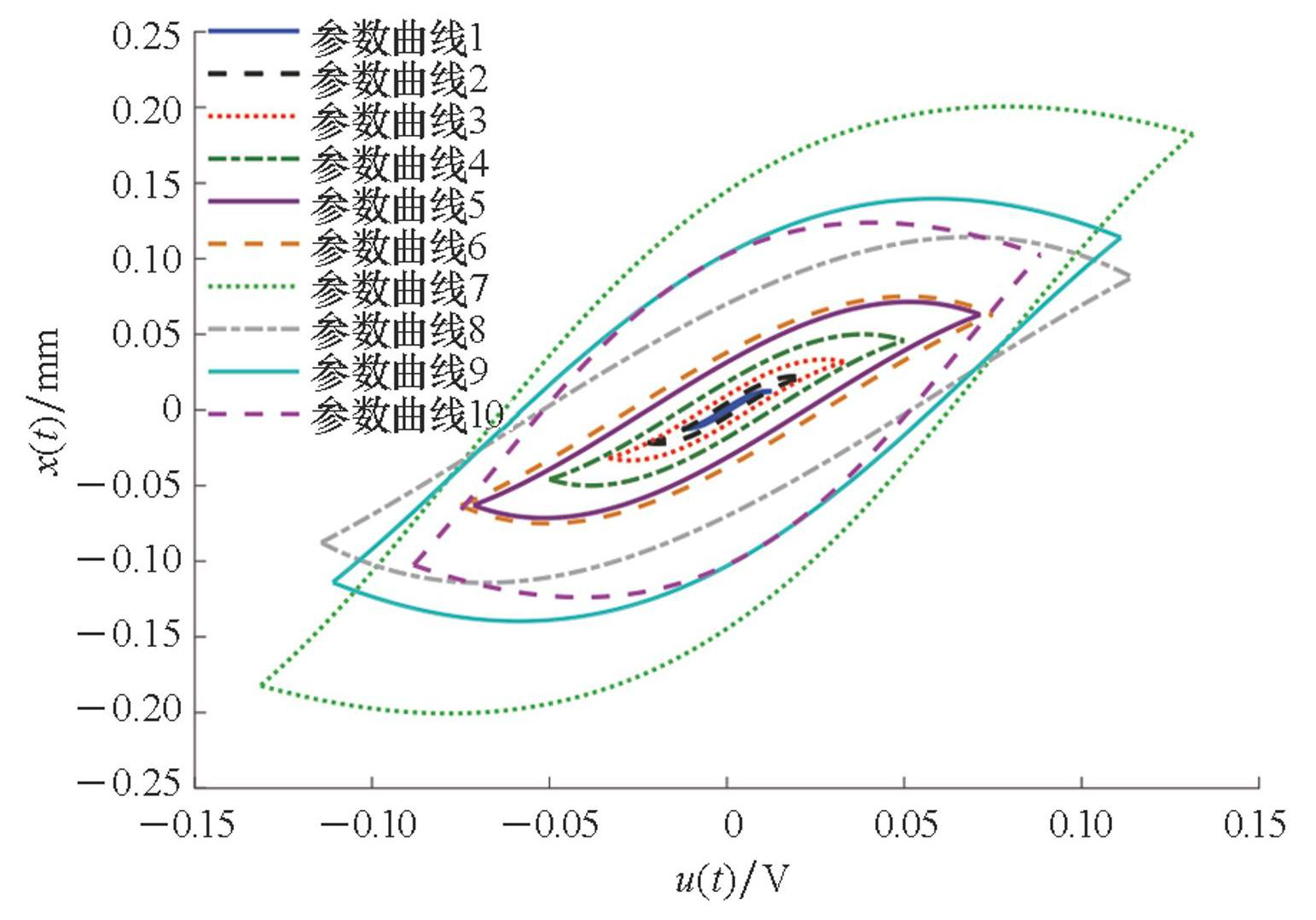
上述构建了传统B-W模型,但其直接用于航天服软关节单历程阻力矩的数学表征存在限制。现任取10组模型参数,得到B-W模型曲线形状如图2所示。

图2传统B-W模型曲线图
Fig.2Figure of traditional B-W model curve
由图2可知,模型呈现明显的迟滞特性,基本满足上述第1节的性质1、性质2,但现模型无法满足性质3,影响模型的拟合精度。因此有必要对B-W模型做进一步的改进。
2.2 单历程阻力矩的改进B-W模型
现将航天服软关节单历程运动对应于压电陶瓷片低频电压驱动工况,关节运动频率远低于驱动电压频率。因此,采用低频电压驱动时,可以忽略式(1)中位移的一阶和二阶微分项,进一步将式(2)代入式(1)可得
(4)
式中,k=kρ/K用于后续简化。
在解决模型的对称性问题之前,需要消除模型中存在的冗余度。取H为任意固定正常数,则有参数与参数k=ki、α=αi、n=ni、A=HAi、β=Hβi、γ=Hγi、h(t)=Hhi(t)使得式(3)~(4)在两参数条件下等价,即原模型中式(3)存在参数冗余度。
同上述方法,记h0为正常数,使得w(t)=h0h(t),代入式(3)中有
(5)
考虑式(5)中h0与微分方程阶数不同,提取参数Ah0可得到
(6)
为了消除模型冗余度,考虑β和γ项具有相同阶数,同时消除参数A和阶数n对括号内各项的影响,记,代入式(6)中得到消除冗余度的非线性迟滞项如下:
(7)
式中,ρ=Ah0>0,σ=β/(β+γ)≥0。
此时记ku=αk>0、kw=(1-α)k/h0<0,代入式(4)中有
(8)
考虑式(8)分别由第一项电压项及第二项迟滞项共同构建,迟滞项仅通过微分形式与驱动电压相关,使得模型呈现对称性,如图2所示。而航天服软关节单历程阻力矩-转角迟滞特性曲线并非完全对称的迟滞曲线,需要消除B-W模型的对称性。在迟滞项系数kw中引入电压对迟滞项的影响,以消除对称性,使模型满足性质3。
记,并基于式(8)中ku、kw的正负特性,得到消除对称性的迟滞模型如下:
(9)
将压电陶瓷驱动电压u(t)对应航天服关节转角、压电陶瓷片位移x(t)对应航天服关节阻力矩,即可将改进后的B-W模型用于航天服软关节阻力矩的数学表征。
2.3 单历程阻力矩数学模型的参数辨识
由于B-W模型中含有非线性微分项且模型微分项阶数n和系数阶数Ni具有不确定性,难以直接获得解析解,因此利用优化算法对模型参数进行辨识以获得数值解进行拟合。参数辨识以拟合结果与目标曲线方差最小作为优化目标,其形式如下:
(10)
参数辨识过程采用多岛遗传算法(multi-island genetic algorithm,MIGA),同时引入模拟退火算法中概率的思想对MIGA中复制、变异、交叉的个体和概率进行调控,提高迭代过程的迭代效率、收敛速度和全局搜索能力,并避免陷入局部最优。改进后的多岛遗传算法流程如图3所示,具体步骤如下:
1)初始化优化算法参数值、判别标准阈值及种群。
2)计算各种群适应度。
3)按照概率和适应度进行各种群之间移民。
4)提取出父代,按照复制、交叉和变异的概率进行遗传操作,并生成新子代。
5)计算各种群中新生成子代的适应度。
6)按照适应度并基于模拟退火算法思想,引入概率,判断新个体是否保留。
7)判断新种群最优个体是否满足进化条件,满足则转至步骤8,不满足则转至步骤4。
8)判断种群迭代数是否达到最大迭代步数或满足精度要求,满足则输出参数辨识结果并结束,不满足则转至步骤2。
以此方法开展模型无初值的参数辨识。
3 航天服软关节单历程阻力矩模型验证
3.1 肘软关节单历程阻力矩模型的仿真验证
肘关节的灵活性在上肢运动中起到重要作用,为降低阻力矩对关节运动的影响,常采用波纹式结构。因此,首先以航天服波纹式肘关节仿真分析结果为算例进行验证。本文采用内置法驱动[21-23],即人体在航天服内部,人体驱动航天服运动,得到软关节单历程阻力矩-转角迟滞特性曲线如图4所示。

图3改进后多岛遗传算法流程
Fig.3Flow figure of improved multi-island genetic algorithm

图4航天服肘软关节阻力矩-转角迟滞特性曲线
Fig.4Resistance torque versus angle hysteresis characteristic curve of spacesuit elbow soft joint
随关节运动,人体关节与航天服接触,关节弯曲,转角增加,阻力矩增加,反之阻力矩减小;弯曲、伸展段阻力矩不重合,满足航天服软关节单历程阻力矩性质,验证了该仿真方法对航天服软关节阻力矩分析的正确性[22],能够应用于B-W模型验证。但是,内置法驱动过程中可能出现航天服褶皱的产生与释放等非线性过程[7],导致航天服软关节内部体积变化,引起关节阻力矩的波动。
利用改进后的多岛遗传算法对关节最大转角为40°的单历程阻力矩迟滞特性曲线进行参数辨识,所得到的阻力矩模型参数结果(见式(11))及较传统算法对比结果(见图5)如下:

(11)

图5改进后多岛遗传算法与传统多岛遗传算法参数辨识误差对比
Fig.5Comparison of parameter identification errors between improved MIGA and traditional MIGA
由图5可知,分别用改进后算法与多岛遗传算法对同一组数据进行参数辨识,改进后算法能够在循环次数达到65次即达到较高拟合精度,但传统多岛遗传算法即使循环到200次仍陷于局部最优,精度较改进后算法低1个数量级。改进后的多岛遗传算法使得迭代效率和全局采样能力得到了提升。改进后算法拟合曲线及误差如图6所示。
由图6(a)可知,B-W模型结果呈现迟滞特性,弯曲段、伸展段曲线闭合,且迟滞曲线具有非对称性,满足航天服软关节单历程阻力矩特性要求。由图6(b)、(c)可知,B-W模型整体误差较小,误差较大处集中出现在阻力矩波动位置。

图6最大关节转角为40°时单历程阻力矩 B-W模型拟合曲线及误差
Fig.6Fitting curve and error of B-W model for single-course resistance torque with maximum joint rotation angle of 40°
以上结果表明,采用改进后多岛遗传算法进行参数辨识的B-W模型较仿真结果拟合度高,最大误差不超过1.05 N·m,拟合结果能够适用于非对称关节阻力矩特性。
同样采用上述方法对不同最大关节转角的单历程阻力矩迟滞特性曲线进行参数辨识,B-W模型结果如图7所示。拟合曲线与仿真曲线的误差及方差见表1。

图7航天服肘软关节单历程运动仿真结果与B-W模型拟合曲线
Fig.7B-W model fitting curve and simulation results for spacesuit elbow soft joint single-course motion
表1肘软关节拟合误差
Tab.1Fitting error of elbow soft joint

由图6、图7可知,B-W模型能够特征对应航天服软关节单历程阻力矩曲线,模型曲线与阻力矩曲线基本一致。B-W模型误差较大处出现在由褶皱等引起的阻力矩波动位置,这是由模型以方差作为优化目标且模型阶数较低共同作用导致的。由表1可知,B-W模型用于航天服软关节单历程阻力矩数学表征整体误差较小。
综合以上结果表明,针对不同最大关节转角阻力矩迟滞特性曲线,B-W模型能够进行高精度的拟合,模型对相同软关节的不同最大关节转角均具有较好的适用性;其平均误差及方差较小,能够达到精度要求。模型的有效性得到了验证。
3.2 腕软关节及肩软关节单历程阻力矩模型的实验验证

图8腕软关节阻力矩曲线拟合对比
Fig.8Wrist soft joint resistance torque curve fitting comparison

图9肩软关节阻力矩曲线拟合对比
Fig.9Shoulder soft joint resistance torque curve fitting comparison
表2腕软关节、肩软关节拟合误差
Tab.2Fitting error of wrist and shoulder soft joints

如图8、图9所示,B-W模型曲线形状较J-A模型能够更准确描述航天服软关节单历程阻力矩曲线;由表2可知,改进后B-W模型较J-A模型方差降低2个数量级,B-W模型拟合精度较J-A模型显著提升。
以上结果表明,较J-A模型,B-W模型更能够符合非对称数据;针对腕软关节和肩软关节单历程阻力矩迟滞特性曲线,B-W模型同样能够满足精度要求。表明该模型对航天服不同软关节均具有较好的适用性。
4 结论
本文针对航天服软关节单历程阻力矩数学模型精度低、形状误差大的问题,引入了B-W模型,并对B-W模型进行了改进;利用模拟退火算法思想改进了多岛遗传算法,以用于模型无初值的快速参数辨识;最终建立了应用于航天服软关节单历程阻力矩的高精度数学模型。具体结论如下:
1)基于对航天服软关节单历程阻力矩特性的分析,压电陶瓷领域的B-W模型首次应用于航天服软关节阻力矩,并消除了模型的冗余度和对称性,使其能对航天服软关节单历程阻力矩进行精确表征。
2)通过模拟退火算法的思想对多岛遗传算法进行改进,实现了对B-W模型无初值高效率和高精度的参数辨识,较传统多岛遗传算法参数辨识效率提高3倍以上,精度提高1个数量级。
3)改进后的B-W模型较现有J-A模型的阻力矩方差降低了2个数量级,显著降低了数学模型的形状误差,且对航天服不同软关节和软关节单历程不同最大关节转角均具有较强的适用性。