摘要
针对超导电动悬浮的低阻尼特性可能导致的悬浮不稳定问题,建立了高速磁浮滑橇系统的六自由度动力学模型,发现当速度超过23.6 m/s时悬浮阻尼会变成负值而致滑橇悬浮失稳。用最小二乘法拟合了悬浮系统的垂向阻尼系数,得出垂向阻尼和速度的关系。为了使系统稳定,提出了分布式动力吸振器方案,研究吸振器的结构参数对悬浮稳定性的影响;为减小对滑橇推进加速度的影响,探讨了小质量吸振器(≤1 kg)在滑橇上应用的可行性,分析了该方案在轨道梁高低错位工况下的振动抑制效果。结果表明,所提方案能有效增加悬浮阻尼、提高悬浮稳定性,并抑制轨道高低错位引起的橇体振动。该方案可以为磁浮滑橇、真空管道磁浮列车等系统的悬浮系统设计提供有益参考。
Abstract
Due to the low damping characteristic of the superconducting EDS (electrodynamic suspension) system which may cause suspension instability problem, a six degree-of-freedom dynamic model for the high speed maglev sled system was established, and it was found that the suspension damping would become negative when the traveling speed exceeds 23.6 m/s, resulting in suspension instability to the maglev sled. The vertical damping ratio of the EDS system was calculated using the least square fitting method, and the relationship between the vertical damping and the speed was obtained. To stabilize the suspension system, a distributed DVA (dynamic vibration absorbers) scheme was proposed, and the effects of the DVA parameters on the suspension stability were investigated. To minimize the influence of the DVA scheme on the acceleration performance of the maglev sled, the feasibility of applying low mass (≤1 kg) DVAs to the maglev sled was discussed. Further, the vibration suppression effect of this scheme was investigated considering the vertical misalignments of guideway girders. Results shows that the proposed scheme can significantly increase the damping and stability of the suspension system, and it also well suppresses the vibration of the sled-body caused by misalignments of the ground suspension coils. This scheme provides a useful reference for the design of the suspension system of the maglev sled system, the vacuum tube high speed maglev train, etc.
Keywords
传统火箭橇利用火箭发动机提供动力,推动滑橇沿轨道滑行,以模拟被试品高速飞行的状态。然而滑靴抱轨运行的接触方式使火箭橇在高速运行时振动十分剧烈。有文献指出,当速度为900 m/s时,刚性双轨火箭橇的振动均方根值可达120g,且振动幅值随速度的增加呈非线性增加趋势,无法满足某些力学环境试验要求[1]。为解决振动问题,高速磁浮滑橇(电磁橇)利用磁浮技术和直线电机技术将橇车加速并悬浮起来,实现被试品“贴地飞行”。由于磁浮滑橇与轨道无接触,因而其振动冲击可降低1~2个数量级。作为磁浮滑橇的核心部件,悬浮系统的性能影响滑橇的承载能力和平稳性。磁浮技术大体可分为电磁悬浮(electromagnetic suspension,EMS)、电动悬浮(electrodynamic suspension,EDS)和超导钉扎悬浮等[2]。其中,零磁通线圈式电动悬浮具有承载力强、悬浮间隙大、浮阻比高等优点,且无须传感器、控制器等部件,因而结构简单、自重小,适合应用在高速磁浮滑橇等领域。采用零磁通8字形线圈超导电动磁浮方案的日本L0磁浮列车在2015年创造了603 km/h的地面轨道交通世界纪录[3],展示了这种悬浮方案在高速磁浮领域的应用优势。
然而,零磁通线圈式电动悬浮系统的固有阻尼很小,当磁体前进速度超过特定值后,甚至呈现负阻尼的特征[4]。日本L0磁浮列车运行速度超过500 km/h时会出现较高的振动频率,影响乘坐舒适性[5],因而如何改善悬浮阻尼、提高悬浮稳定性是电动悬浮系统需要攻克的难题。日本学者提出在超导磁体和地面零磁通线圈之间安装阻尼线圈,并研究半主动[6]、主动控制[7]方案,发现阻尼线圈能在一定程度上增加悬浮阻尼。然而,他们设计的线圈尺寸庞大,实际应用时存在一定困难。
近年来电动悬浮技术吸引了国内很多学者的关注。针对不同的应用背景,很多学者建立了零磁通线圈电动悬浮系统的场-路-运动耦合模型,并研究车辆的动力学问题 [2,8-10]。他们在研究中也发现电动悬浮的低阻尼特性会导致车体发生动力学失稳的问题。针对这一现象,Wang 和Huang[11]以日本MLX01超导高速磁浮列车为例,分析了增加无源阻尼线圈的措施,结果表明被动阻尼线圈可以降低悬浮振动、增加阻尼。胡道宇等[2]研究指出,主动控制的阻尼线圈方案优于被动阻尼线圈方案,基于加速度比例控制的主动阻尼优于速度比例控制。然而主动控制需要附加电源、控制器等部件,且阻尼线圈尺寸较大。另一种思路是增加机械阻尼器。张伟海等[5,12-13]建立了日本超导高速磁浮列车的14自由度模型,发现车辆在高速运行中轨道和转向架之间的阻尼系数接近零。为此,他们提出了一种改进的天棚阻尼主动控制方法,通过在转向架和车体之间安装作动器来产生附加阻尼。然而,磁浮滑橇无二次悬挂系统,天棚阻尼方法难以实现。
与磁浮滑橇类似,在很多场合难以为振动结构寻找一个固定支撑点(如静止的地面)来安装阻尼器。然而,动力吸振器(dynamic vibration absorber,DVA)可以通过弹簧-质量振子的受迫振动来产生和弹性结构间的相对位移,从而能够通过阻尼器来吸收振动的能量。这一方案在高楼、桥梁等大型弹性结构的减振方面获得了广泛应用[14]。Zhou等[15]针对磁浮列车的车桥耦合自激振动问题,研究在桥梁上安装DVA来改善桥梁的阻尼,从而打破车桥耦合系统的起振条件,使磁浮列车车桥耦合系统稳定。但这一方法在电动悬浮系统中的应用研究目前尚不多见。
本文以四超导磁体电动悬浮的高速磁浮滑橇为例,首先建立基于零磁通线圈电动悬浮系统的场-路-运动耦合模型,研究滑橇在不同速度下的悬浮阻尼系数。针对运动时滑橇垂向阻尼不足的问题,提出在滑橇上安装分布式动力吸振器的方案,研究DVA的核心参数对滑橇垂向阻尼增强效果的影响,为DVA的参数优化设计提供理论指导。针对工程化应用的实际需求,探讨小质量DVA(≤1 kg)在磁浮滑橇上应用的可行性。此外,针对工程实际,考察该方案在轨道梁高低错位工况下对滑橇垂向振动的抑制效果。
1 零磁通线圈式电动悬浮系统建模分析
图1所示是磁浮滑橇的结构示意图。其中滑橇由车体和超导磁体构成;轨道由轨道梁及安装在其两侧的零磁通8字形线圈阵列、推进线圈阵列构成。在低速条件下,滑橇由支撑轮支撑;当达到一定速度后,8字形线圈产生的排斥力分量足以抵消滑橇的重力,从而使滑橇悬浮起来。
图1磁浮滑橇的结构示意图
Fig.1Structure diagram of the maglev sled
图2所示是零磁通8字形线圈悬浮导向原理示意图。为简化分析,这里只显示了左右一对8字形线圈。为增大导向力,左右8字形线圈还通过一对导线交叉互联起来。在图中,e1和e2分别是左侧8字形线圈上下子线圈产生的感应电动势;e3和e4分别是右侧8字形线圈上下子线圈产生的感应电动势;IsL和IsR分别是左右超导磁体线圈的电流安匝数。当载流超导磁体以速度v运动并通过8字形线圈时,穿过8字形线圈的磁通量将发生变化,从而产生感应电动势e1~e4。由于8字形线圈是闭合的,因此将可能产生环路电流。
图2零磁通8字形线圈悬浮导向结构原理示意图
Fig.2Schematic of the suspension and guidance principle of the null-flux figure-8 coils
针对上述悬浮导向结构,采用集中参数的等效电路法(又称动态电路法)来分析各线圈中的电流[16],如图3所示。图中, R1~R4、L1~L4分别是左右8字形线圈上下子线圈的直流电阻和自感;M12和M34分别是左右两个8字形线圈的上下子线圈之间的互感;U是交叉互联线两端的电压。
图3带交叉互联的8字形线圈等效电路
Fig.3Equivalent circuit of the cross connected figure-8 coils
在图3中,第k个线圈产生的感应电动势为
(1)
式中:MsLk和MsRk分别是左右侧超导线圈与第k个线圈之间的互感;代表梯度运算。这里同时考虑了本侧超导磁体对对侧8字形线圈的影响,以及对侧超导磁体对本侧8字形线圈的影响。根据图3可以列出各支路的电压平衡方程,即
(2)
根据上述方程组可以计算出i1~i3和U,随后根据虚功位移法得出超导线圈所受的电磁力,即
(3)
(4)
其中:fxL、 fyL、 fzL分别是左侧超导线圈所受的磁阻力、导向力和悬浮力的大小;fxR、 fyR、 fzR分别是右侧超导线圈所受的磁阻力、导向力和悬浮力大小;且

(5)
这里同样考虑了对侧8字形线圈对本侧超导线圈产生的电磁力。对于实际系统来说,8字形线圈是沿轨道连续铺设的,因此在实际计算超导磁体所受的电磁力时,需要计算所有8字形线圈的感应电流,并将所有8字形线圈对超导磁体的作用力叠加起来。若单个超导磁体由两个超导线圈组成,且8字形线圈沿轨道长度方向铺设M组,则式(3)~(4)将变为
(6)
(7)
式中:MsLkmn和MsRkmn分别代表左右两侧第n个超导线圈和地面第m组8字形线圈的第k个子线圈间的互感;Ikm代表流过第m组8字形线圈中第k个子线圈的电流。
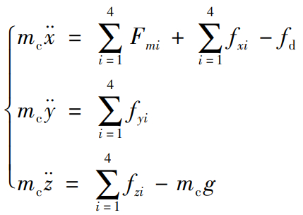
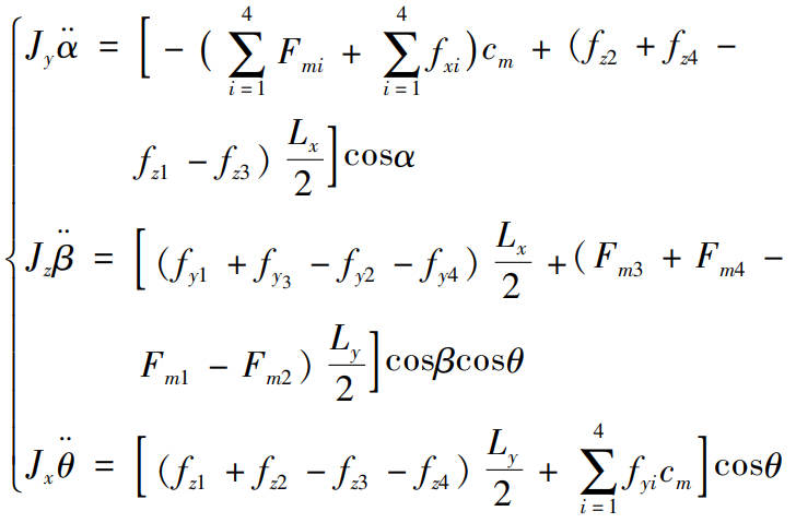
滑橇的受力情况如图4所示。其中,fxi、 fyi和fzi分别代表第i个超导磁体在前进、导向和悬浮方向的受力分量;Fmi表示超导磁体所受的电机推力;α、θ和β分别表示滑橇的俯仰、滚动和偏航角;cm为滑橇质心和超导线圈水平中心线间的距离。
图4滑橇的受力示意图
Fig.4Diagram of the forces acting on the sled body
由图4可得滑橇的平动方程为

(8)
式中,fd为气动阻力。
滑橇的俯仰、偏航和滚动方程可以表示为

(9)
上述方程构成了磁浮滑橇的场-路-运动耦合动力学模型。为了验证上述模型的准确性,根据文献[17]给出的山梨线磁浮列车参数开展仿真,并将其中一个8字形线圈的受力情况与文献中的测量结果进行对比,结果如图5所示(列车速度为151 km/h)。可以看出,采用上述模型的计算结果和文献中得到的测量结果吻合度很高,说明本文所建的模型是准确的。
图5本文计算结果和山梨线实测曲线的对比
Fig.5Comparison of the calculation result using the presented model in this paper and the experimental result obtained in the Yamanashi maglev test line
2 电动悬浮系统的动力学特性分析
由于电动悬浮系统无主动控制系统,滑橇的姿态完全由地面8字形线圈的电磁力决定。设磁浮滑橇的主要参数如表1所示。假定滑橇的运行速度为35 m/s,初始悬浮高度(超导磁体中心向下偏离8字形线圈中心线的距离)为20 mm。利用上节建立的动力学模型,计算可得滑橇的质心在垂直和水平方向上的位移,如图6所示。可以看出,在该速度下滑橇的质心运动呈现振荡发散趋势。说明在这种情况下,悬浮导向系统不能产生有效的阻尼使滑橇的垂向运动稳定。此外,滑橇在俯仰、滚动等方向上的运动也是不稳定的。
表1磁浮滑橇系统的主要参数
Tab.1Parameters of the maglev sled system
图6滑橇的质心在垂直和水平方向上的位移(35 m/s)
Fig.6The vertical and horizontal movement of mass center of the sled body (35 m/s)
从仿真结果来看,滑橇质心的垂向振动可以等效为一个二阶振荡系统,其频率由滑橇的质量和悬浮等效刚度共同决定,而振动收敛快慢可以用阻尼比来衡量。典型的二阶系统的响应为
(10)
式中:A是振荡的幅值;C是稳态偏移量;ζ是阻尼比;θ0是初始相位;ω0是二阶系统的无阻尼自由振荡频率,ωd是有阻尼振荡频率,且
(11)
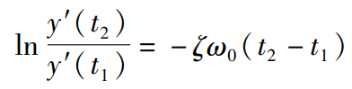
由式(10)可知,对于图6所示的振荡发散过程,其幅值上包络线满足指数变化规律
(12)
这里考虑了直流偏置的影响。为了得出阻尼比的大小,对式(12)进行微分,得到

(13)
于是有

(14)
这里,t1和t2是任意两个不同时刻。进一步地

(15)
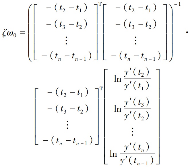
幅值包络曲线可以通过对振荡波形峰值点的拟合得到。取n个峰值样本可得

(16)
式中,εk(k = 1,2,···,n-1)表示随机干扰、噪声等因素导致的观测误差。根据式(16),可以利用批处理最小二乘(least square,LS)法得到未知参数ζω0的最优估计,即

(17)
其中,ω0无法直接测量,而ωd则可以通过实际振荡波形测出。于是,联立式(11),可以解出ζ和ω0。此外,由式(13)可得

(18)
同样用最小二乘法可以得到振荡幅值A的最优估计。联合ζ和ω0的估计值,可以得到幅值包络线的完整形状。图7是v=35 m/s时滑橇质心的垂向速度波形和拟合得到的包络线。可见,二者吻合度很高。利用上述方法还可以得到悬浮系统的垂向阻尼比和运行速度之间的关系,如图8所示。可以看出,在低速情况下悬浮系统的阻尼比为正值,而随着速度的增加,阻尼比急剧下降,当超过临界速度(23.6 m/s)后垂向阻尼开始变负,并在约35 m/s达到最小。
3 基于动力吸振器的悬浮阻尼增强方法
3.1 动力吸振器配置方案及其阻尼特性分析
磁浮滑橇运动时是悬空的,无法通过添加阻尼器来产生阻尼力。这里考虑在滑橇上安装动力吸振器来吸收振动能量,从而达到抑制滑橇振动的目的。文献[14]指出,DVA的振动抑制效果与DVA的质量和基座质量之比直接相关。二者的比值越大,吸振效果越好。然而,为尽量减小DVA对滑橇推进加速度的影响,同时抑制俯仰、滚动自由度的振动,本文采用小型DVA对称分布安装的方式,如图9所示。从能量吸收的角度来说,DVA安装的位置振动幅度越大,DVA的吸振能量也越大,抑制振动的效果也越好。考虑到滑橇在垂向、俯仰、滚动等方向均存在振动问题,且这三个自由度在滑橇的四个角上产生的振动位移最大,因此选择图9所示的DVA配置方案,以达到均衡地抑制多个自由度振动的效果。
图7滑橇的质心垂向速度和最小二乘法拟合得到的幅值包络线
Fig.7The vertical velocity of mass center of the sled body and its amplitude envelope obtained by LS fitting
图8电动悬浮系统的垂向阻尼比和运行速度之间的关系
Fig.8Relationship between the vertical damping of the EDS system and traveling speed
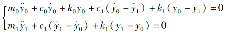
图10所示是DVA抑制振动原理示意图。图中基座是振动产生的根源,其对应的是图9所示的滑橇。图10结构的动力学方程为
图9分布式动力吸振器配置方案
Fig.9Scheme of the distributed DVA configuration
图10动力吸振器抑制振动的原理
Fig.10Principle of vibration suppression using the DVA

(19)
磁浮滑橇和电动悬浮系统构成的垂向欠阻尼系统可视为基座和k0、c0构成的二阶振荡系统。在超过临界速度后,阻尼系数c0为负值,因而悬浮间隙振幅趋于发散。
设基座的初始位移为y0(0)、初始速度为v0(0),由式(19)可得基座的位移响应为
(20)
其中
(21)
(22)
(23)
从式(23)可以看出,动力吸振器的参数将对式(20)的传递函数极点产生影响。以表1所列的参数为例,在35 m/s时悬浮系统对应的等效参数如表2所示。表中k0是根据仿真波形的周期,由式(11)和k0=m0ω20计算得到;然后利用上一节介绍的包络线拟合方法可得ζ的最优估计,然后由c0=2m0ζω0计算得到c0的值。从表2可以看出,此时系统的振荡频率为6.688 Hz,对应特征根的实部是0.371 4,悬浮系统是不稳定的。
表235 m/s时电动悬浮系统对应的等效参数
Tab.2The equivalent parameters of the EDS system at 35 m/s
为了使系统的主导特征根实部变为负值,DVA的刚度、质量等参数必须进行优化。例如,当动力吸振器的质量m1选为10 kg时,由式(23)可得系统主导极点的实部和DVA的弹簧刚度k1、阻尼系数c1的关系,如图11所示。
图11主导根实部和DVA的刚度及阻尼的关系
Fig.11Real part of the dominating root with respect to the stiffness and damping of the DVA
从图11可看出,DVA的引入可改变系统的主导特征根实部,使其由正变负,从而使系统稳定。此外,当DVA的质量确定之后,存在最优的弹簧刚度和阻尼系数可以使特征根实部最小。这说明DVA的阻尼不是越大越好。对于本例来说,当选择k1=16 700 N/m、c1=125 N·s/m时,对应系统的阻尼比将达到最大,此时系统的主导极点实部将由0.371 4变为-2.983,系统变得稳定。
对于图9所示的分布式动力吸振器配置方案,假定滑橇质心在惯性坐标系的位置为PO,各DVA相对质心的坐标为PDLi(i=1,2,3,4),则各DVA的基座在惯性坐标系的位置为
(24)
其中
各DVA基座在惯性空间的运动速度为
(25)
其中:vO是滑橇质心的运动速度矢量;ωO是滑橇转动的角速度矢量,且
。
。
采用表2的参数,可得滑橇在35 m/s时的质心垂向运动曲线,如图12所示。此时滑橇的质心垂向位移快速收敛,说明采用该方案能够有效增加滑橇的垂向阻尼,从而抑制其运动不稳定问题。
图12加入动力吸振器后滑橇的质心垂向位移
Fig.12The vertical movement of mass center of the sled body with DVAs
在所选择的DVA参数下,通过仿真可以得到采用分布式DVA方案前后在不同速度下滑橇质心的垂向阻尼比曲线,如图13所示。由于仿真中DVA的参数是根据35 m/s时滑橇的刚度特性设计的,因而施加DVA后在35 m/s附近系统悬浮阻尼提升效果最显著。
3.2 动力吸振器的质量对阻尼增强效果的影响
对于实际应用来说,希望DVA的体积和质量尽量小。图14给出了在弹簧和阻尼最佳调谐状态下,不同质量的DVA所能达到的主导特征根实部的最小值。显然,DVA的质量越大,系统主导特征根所能达到的实部也越远离虚轴,吸振效果也越好。此外,对于小质量动力吸振器(如1 kg),理论上只要其参数调谐至最优状态,同样可使系统稳定。
图13加入DVA前后滑橇质心的垂向阻尼比对比
Fig.13Comparison of the vertical damping ratio of mass center of the sled body with and without DVAs
图14主导特征根实部和DVA质量的关系
Fig.14Real part of the dominating root with respect to the mass of the DVAs
表3列出了不同质量DVA对应的最优刚度、最优阻尼和所能达到的最大阻尼比。可见,DVA的最优刚度和阻尼同其质量变化趋势一致。
表3限定质量时DVA的刚度和阻尼最优参数
Tab.3Optimal stiffness and damping of the DVA when its mass is given
然而,DVA的最优刚度、阻尼同其质量并不呈线性关系。表3显示DVA的最优刚度和阻尼随其质量的变化趋势呈现非线性,因此DVA的参数选择不能简单地按比例套用其中一组参数。
3.3 分布式DVA方案对运行速度的适应性分析
理论上,采用小质量的DVA同样可以使滑橇的悬浮变得稳定。然而,质量越小,对DVA的刚度、阻尼参数精确度要求也越高。图15给出了当刚度和阻尼固定时(35 m/s对应的最优刚度和阻尼参数),三种不同质量的DVA在不同速度下所能实现的最大阻尼比。可以看出,当速度偏离35 m/s后DVA的效果开始变差。此外,小质量动力吸振器所能达到的最大阻尼比明显小于大质量动力吸振器。虽然1 kg(占滑橇自重的0.286%)的DVA在35 m/s时可以使系统阻尼比大于0.01,但偏离该速度后阻尼比迅速下降,高速段仍变为负值,说明小质量DVA无法满足全速域的稳定性需求,故动力吸振器的质量和滑橇的质量比不宜过小。
图15DVA参数固定时垂向阻尼比和速度的关系
Fig.15Relationship between the vertical damping ratio and speed when the parameters of the DVAs are fixed
3.4 动力吸振器方案对轨道错位的适应性分析
轨道铺设精度对磁浮系统平稳性影响显著。文献[18]研究指出磁浮列车对0.7~2 m波长的轨道不平顺很敏感,极易造成悬浮不稳定。相比之下,轨道不平顺对低阻尼的电动悬浮影响将更加明显。在本系统中,相邻每10套交叉互联的8字形线圈为一组,安装在同一片基座梁上。而梁与梁之间的整体高度可能会因梁的安装误差和沉降等而产生高低错位。如图16所示,假定某基座梁发生高低错位而导致一段8字形线圈(编号180~189)的垂向高度发生了偏离,其高度误差为h=2 mm。采用第1节的计算模型,结合表1所列参数,可得滑橇在35 m/s时质心的垂向运动曲线,如图17所示。可以看出,在错位的8字形线圈激励下,质心在垂向的振荡幅值显著变大,且振动的整体趋势是发散的。说明在低阻尼或者负阻尼情况下,轨道的错位将被电动悬浮系统放大,从而使其更容易产生磕碰轨道的问题。
图168字形线圈错位误差示意图
Fig.16Demonstration of misalignment of the figure-8 coils
图17轨道不平顺对滑橇质心垂向运动的影响
Fig.17Influence of the track irregularity to the vertical movement of the mass center of the sled body
作为对比,图18是施加DVA(3 kg)后滑橇质心的垂向位移曲线。可见,采用动力吸振器方案后,虽然轨道不平顺仍会对滑橇的垂向位移产生明显冲击,但其最大幅值会有所减小,且冲击产生的振荡幅值也会迅速衰减(衰减的快慢取决于动力吸振器的质量)。
图18施加DVA后滑橇通过轨道错位时的质心垂向位移
Fig.18Displacement of the sled body under track misalignment when the DVAs are applied
值得说明的是,DVA无法完全抑制轨道不平顺产生的瞬时冲击(即冲击产生后的第一个峰值),这一点在文献[14]中有所论述。
4 结论
本文以高速磁浮滑橇为例,建立了零磁通线圈式超导电动悬浮的滑橇动力学模型,发现当滑橇速度超过23.6 m/s后悬浮垂向阻尼会出现负值而导致滑橇运动不稳定,并用最小二乘法拟合出不同速度下的悬浮阻尼系数。为了解决滑橇在高速运动时的不稳定问题,提出了一种分布式动力吸振器方案来增强悬浮垂向阻尼,并对动力吸振器的核心参数进行了优化。主要结论如下:
1)基于8字形线圈电动悬浮的磁浮滑橇垂向运动可以等效为一个二阶振荡系统,其等效阻尼随速度的增大而迅速减小。当速度超过临界值后,垂向阻尼变为负值,滑橇运动开始不稳定。
2)在参数配置合理的情况下,分布式动力吸振器方案能够有效提升滑橇的垂向等效阻尼,抑制滑橇在运动时的垂向振动,使滑橇运动稳定。
3)当动力吸振器的质量选定后,其刚度和阻尼存在最优值,阻尼器的阻尼并非越大越好。
4)DVA的最大阻尼提升效果和DVA的质量有关。质量越大,阻尼增强效果越好。虽然质量小于滑橇质量1%、甚至0.3%的小型DVA也可以实现滑橇运行时垂向稳定,但工程应用时质量越小的DVA对刚度和阻尼的调谐要求也越高。
5)分布式DVA方案对于轨道高低错位引起的悬浮垂向振动具有较好的抑制效果。
本文可以为高速磁浮滑橇、真空管道磁浮列车等电动悬浮系统设计提供有益参考。




