摘要
针对调频斜率捷变的线性调频 (linear frequency modulation, LFM) 信号先进体制雷达多假目标干扰需求,提出了基于间歇采样转发与双向移频调制联合处理的位置恒定式LFM雷达假目标群干扰方法。将雷达截获信号同时与两路时间延迟信号混频求频差,获取随调频斜率自适应变化的间歇采样频率和移频调制量;依次进行间歇采样转发处理和双向移频调制处理获得干扰信号。经理论分析与仿真实验验证,针对调频斜率捷变等先进体制LFM雷达,该干扰方法产生的假目标群位置恒定,有利于在脉冲积累时形成较好的干扰效果,且相比单独间歇采样转发或移频干扰,假目标群覆盖范围可以更广,具有实际工程应用价值。
Abstract
In order to generate multiple false targets and interfere the advanced chirp rate agile LFM( linear frequency modulation) radars, a group false-target jamming method with stable position, based on intermittent sampling repeater jamming and bidirectional shift-frequency modulation, was proposed. The intermittent sampling frequency and frequency shift modulation were obtained by mixing the radar signal with two time-delay signals at the same time. The interference signal was obtained by intermittent sampling and repeating processing and bidirectional frequency shift modulation processing in sequence. Theoretical analysis and simulation experiments show that the position of the false target group generated by this jamming method is constant for advanced LFM radar systems such as frequency modulation slope agility. The proposed method is conducive to forming good interference effects during pulse accumulation. Meanwhile, compared with the intermittent sampling repeater jamming or the shift-frequency jamming, the range of group false targets via the proposed method is more wider, which is valuable in practical engineering applications.
现代雷达对抗中,相干干扰因具备相参处理增益大、干扰功率要求低等优势而被灵巧型雷达干扰系统重视,其中相干假目标干扰因其具有较强的欺骗迷惑性,更是雷达干扰技术研究的重点,其产生方式主要通过延时转发或者移频调制产生[1-4]。相对于延时转发式干扰,针对线性调频(linear frequency modulated,LFM)雷达的移频干扰利用雷达信号的距离-多普勒耦合特性,能够较为便捷地产生距离导前假目标[2]。随着雷达技术的发展和抗干扰的现实需求,频率分集等先进技术逐渐在雷达系统中开始应用[5-10]。对于调频斜率变化的频率分集等体制雷达而言,传统的移频干扰产生的假目标会发生峰值位置跳变,导致假目标不能在多个雷达脉冲间形成有效积累,易被雷达检测与识别[11-13]。针对于此,文献[14]提出了一种延迟不变的LFM雷达移频干扰方法,其原理是将LFM移频干扰信号中的移频量转换成为调频斜率和固定时延的乘积,最终实现移频量随调频斜率变化而自适应地变化,脉冲压缩后假目标不会发生位置跳变。但这种移频干扰方法在生成多假目标干扰信号时需要多路延时处理,消耗资源较多,应用实现存在一定难度。此外在收发天线共用体制干扰机系统中,传统移频干扰需要对雷达全脉冲进行采样,干扰系统的响应速度大大降低。实际上,多假目标干扰由于能够大量消耗雷达系统资源、具有较好的干扰效果而备受关注[15]。
间歇采样转发干扰是一种能够便捷产生多假目标的干扰方式,数学原理上其等价于用一矩形包络脉冲串对雷达截获脉冲信号进行时域调制处理[16]。间歇采样转发干扰通过短时采样和短时转发的交替进行提高了干扰响应速度,同时形成的干扰信号可视作具有不同多普勒频偏的回波信号,经雷达匹配滤波处理后表现为多个sinc函数的加权输出,从而形成距离向的假目标群[17-20]。间歇采样转发干扰包含两个重要的参数:间歇采样时长和间歇采样频率。当信号调频斜率不变时,间歇采样转发干扰各阶假目标峰值幅度大小由假目标阶数、间歇采样时长和间歇采样频率共同决定,假目标峰值位置由假目标阶数和间歇采样频率决定。当调频斜率变化时,与固定移频干扰类似,此时固定间歇采样频率同样会引起同一阶假目标峰值位置在不同雷达脉冲匹配滤波处理后跳变,无法形成有效积累[11-12]。此外,在实际应用中,间歇采样转发干扰参数需要根据干扰效果需求进行选定,同时还受到雷达脉冲信号长度、射频开关转换速度等现实因素的约束。
综上可见,调频斜率捷变LFM雷达系统干扰有着迫切的需求,如何便捷、快速地产生位置稳定的假目标群是上述先进体制雷达干扰技术研究的热难点问题之一。本文综合利用间歇采样转发干扰和移频干扰模型,提出了基于间歇采样与双向移频调制联合处理的位置恒定式LFM雷达假目标群干扰方法,相比传统单一干扰方法,经LFM体制雷达脉冲压缩处理后可形成位置恒定的假目标群干扰效果。
1 间歇采样转发下双向移频干扰信号建模及脉压输出
1.1 信号模型
间歇采样转发干扰基本过程是对雷达截获信号进行一小段高保真采样后开始转发该段信号,待转发完成后再进行下一段信号采样,如此交替进行直至整个雷达脉冲信号结束;移频干扰则是在雷达截获信号上人为地调制一个频率分量。假设干扰机截获的雷达LFM信号复包络为:
(1)
式中,为矩形窗函数,T表示雷达脉冲持续时间,是LFM信号调频斜率,B为LFM信号带宽。
由间歇采样转发和移频干扰实现过程可知,间歇采样转发下双向移频干扰信号模型可以表示为:
(2)
式中,p(t)为间歇采样转发控制信号,ej2πΔft为正向移频干扰调制信号、e-j2πΔft为负向移频干扰调制信号,Δf为移频调制量。
间歇采样转发干扰过程如图1所示,理想间歇采样转发过程可以等价为用矩形包络脉冲串信号对雷达截获脉冲信号进行时域调制处理,设间歇采样转发控制信号为p(t),可以表示为:
(3)
式中,τ为间歇采样时长,Ts为间歇采样周期,“*”表示卷积,δ(·)为冲击函数,n为整数。

图1间歇采样转发干扰示意图
Fig.1Schematic diagram of interrupted-sampling repeater jamming
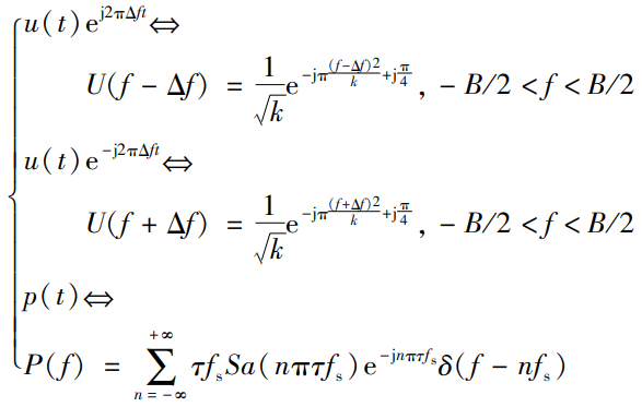
根据信号与系统知识,存在如下傅里叶变换对:

(4)
其中:,表示抽样函数;为间歇采样频率。
令an=τfsSa(nπτfs)为加权系数,则有:

(5)
1.2 输出响应
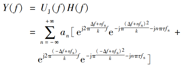
根据匹配滤波器特性,匹配滤波器传输函数可以表示为:
(6)
则间歇采样转发下移频干扰信号经匹配滤波器脉冲压缩处理后输出为:

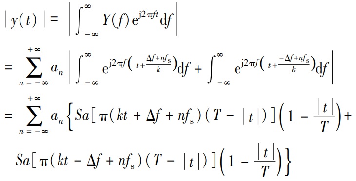
(7)
变换到时域并取幅值:

(8)
由此可见,随着取值n的变化,实际上对应着不同阶次的假目标,即间歇采样转发下的双向移频干扰信号能够快速产生多假目标,且各阶假目标的峰值时刻由间歇采样频率fs、移频量Δf和调频斜率k共同决定。由式(8)也可以看出,正向移频和负向移频相当于将间歇采样形成的假目标群进行了双向搬移,将会在时间轴上产生对称分布的两组假目标群,正向移频和负向移频引起的假目标群峰值时刻分别为:
(9)
设间歇采样频率fs最大可取值为fs-max,移频量Δf最大可取值为Δfmax,则理论上来讲,假目标群可以分布的范围为:
(10)
其中,N表示可以被雷达检测到的假目标最大阶数。显然,相比单独的间歇采样转发干扰和移频干扰,本文干扰方法产生的假目标群分布范围可以更广,为干扰应用设计带来更多的选择自由度。
通过式(9)同样还可以看出,若雷达信号调频斜率k发生变化,而间歇采样频率fs和移频量Δf不变,则假目标峰值时刻将发生变化。
例如,假设LFM信号脉冲持续时间T=100 μs,调频斜率k=2×1011 Hz/s,设间歇采样时长τ=0.9 μs,间歇采样频率最大值fs-max=0.5 MHz,则单独进行间歇采样转发干扰时,考虑N=5和N=-5时假目标群分布情况,Δt1==[-12.5 μs,12.5 μs],乘以光速的一半就得到对应的距离范围为[-1.875 km,1.875 km];设移频最大值Δfmax=3 MHz,则单独进行移频干扰时,考虑正负移频量为3 MHz和-3 MHz,将会形成2个假目标,峰值时刻分别为=-15 μs和=15 μs,两者之间距离范围是[-2.25 km,2.25 km];间歇采样后双向移频调制干扰形成的假目标群(正向移频且N=5、负向移频且N=-5)之间Δt1=[-27.5 μs,27.5 μs]对应的距离范围为[-4.125 km,4.125 km]。可见,相比单独间歇采样转发干扰和移频干扰,间歇采样转发后双向移频干扰形成的假目标群可以分布的范围更广。
再来看调频斜率变化时假目标位置跳变情况:当k=2×1011Hz/s时,若fs=0.5 MHz,Δf=3 MHz,那么由正向移频和负向移频引起的N=0阶假目标峰值时刻t+0-max=-15 μs、t-0-max=15 μs,N=+1阶假目标峰值时刻t+1-max=-17.5 μs、t-1-max=12.5 μs;当调频斜率k=1011 Hz/s,而fs和Δf若保持不变,则此时0阶假目标峰值时刻t+0-max=-30 μs、t-0-max=30 μs,N=+1阶假目标峰值时刻t+1-max=-35 μs、t-1-max=25 μs,即同一阶假目标峰值时刻发生了显著的跳变,雷达脉冲积累时易被识别和抑制。
2 位置恒定式假目标群干扰实现方法及参数设定
2.1 干扰实现方法
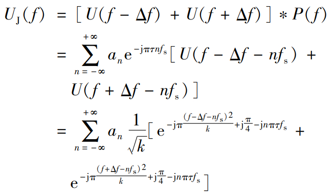
由于LFM信号频率差只与调频斜率和时延有关,若可以通过设计使得间歇采样频率fs和移频量Δf满足
(11)
其中,Δτ1和Δτ2均为固定时延。这时间歇采样频率fs和移频量Δf均能随着雷达信号调频斜率k自适应地变化。将式(11)代入式(9),则此时:
(12)
由式(12)可知,此时假目标群峰值时刻不随调频斜率k发生变化,只与固定时延Δτ1和Δτ2相关。
为实现上述间歇采样频率fs和移频量Δf随调频斜率自适应变化要求,且避免在实际系统中实时对调频斜率k进行估算,本文采取如图2所示的方法实现fs和Δf的自适应调整。具体过程如下:
将截获信号u(t)与延迟Δτ1后的信号混频,得到:
(13)
输入鉴频器得到频率差kΔτ1,以该频率差作为间歇采样频率,即fs=kΔτ1,合成间歇采样控制信号:
(14)
同理,将截获信号u(t)与延迟Δτ2后的信号混频,得到:
(15)
输入鉴频器得到频率差kΔτ2,以该频率差作为移频量,即Δf=kΔτ2,合成双向频率调制信号:
(16)
依次使用间歇采样控制信号p(t|kΔτ1)和频率调制信号v(t|kΔτ2)对u(t)进行处理,可得最终干扰信号为:
(17)
至此,只要设定好延迟Δτ1和Δτ2,就实现了间歇采样频率和移频量随调频斜率的自适应变化,输出的假目标群位置恒定不跳变。

图2位置恒定式LFM雷达假目标干扰实现示意图
Fig.2Schematic diagram of false target jamming for LFM radar with constant position
2.2 干扰参数设定
以第一段间歇采样脉冲为例,其采样时长为τ,从图2中易知,固定时延Δτ1的设置需满足:①在第一段间歇采样脉冲结束前,间歇采样频率能够被求出,则至少需Δτ1<τ;②保证间歇采样转发干扰信号的短时脉冲能够在发射时段内被完全转发,即间歇采样周期。从而有:
(18)
Δτ2的设置需满足:①在第一段间歇采样脉冲结束前,移频调制量能够被求出,即至少需Δτ2<τ;②为保证移频干扰假目标幅度及干扰效果,一般移频调制量不宜超过信号带宽的一半,即。从而有:
(19)
3 仿真实验
仿真实验条件见第2节,即LFM雷达脉冲持续时间T=100 μs,调频斜率k在不同脉冲间发生捷变,间歇采样频率和移频量大小根据仿真实验内容要求进行相应设置。
3.1 假目标群分布范围验证
设LFM雷达信号调频斜率初始值k=2×1011 Hz/s,间歇采样时长τ=0.9 μs,间歇采样频率最大值fs-max=0.5 MHz,单独进行间歇采样转发干扰所得假目标群分布情况如图3(a)所示,图中对N=+5和N=-5假目标的横坐标进行了标注,其峰值时刻分别为-12.51 μs和12.5 μs,仿真结果与第2节中仅进行间歇采样转发干扰的理论分析结果是吻合的。设移频最大值Δfmax=3 MHz,单独进行正负移频干扰所得2个假目标分布情况如图3(b)所示,峰值时刻分别为-15.01 μs和15 μs,仿真结果也和本文前述中单独的移频干扰理论分析结果相吻合。将间歇采样转发和双向移频调制处理结合的干扰信号形成的假目标群如图3(c)所示,可见在距离向上形成了对称的2组假目标群,再观察图中标注的正向移频且N=+5和负向移频且N=-5时的假目标时刻分别为-27.49 μs和27.5 μs,即本文所提方法形成的假目标群分布范围相比单独进行间歇采样转发或移频干扰而言要大,有利于在实际雷达距离内形成覆盖范围更广的假目标群。

图3假目标群分布范围仿真实验结果
Fig.3Simulation experiment results of the distribution range of false target groups
3.2 假目标群跳变验证
设LFM雷达相邻两个脉冲信号的调频斜率发生变化,即k=2×1011 Hz/s和k=1011 Hz/s,间歇采样时长τ=0.9 μs,fs=0.5 MHz、Δf=3 MHz固定不变。图4(a)是第一个脉冲对应的联合处理干扰信号经匹配滤波压缩处理后的结果。由图中标注可以看到:正向移频且N=0时假目标峰值时刻t+0-max=-15.01 μs,负向移频且N=0时假目标峰值时刻t-0-max=15 μs;N=+1时假目标峰值时刻t+1-max=-17.5 μs、t-1-max=12.5 μs,与第2节的理论分析结论相一致。图4(b)是第二个脉冲对应的联合处理干扰信号经匹配滤波压缩处理后的结果。N=0时假目标峰值时刻t+0-max=-30 μs、t-0-max=30 μs,N=+1时假目标峰值时刻t+1-max=-35 μs、t-1-max=25 μs,与第2节的理论分析结论也是一致的。可见,当雷达信号调频斜率捷变时,固定间歇采样频率和移频调制量将会使得假目标群峰值时刻发生显著跳变,影响干扰能量积累效果。
3.3 位置恒定式假目标群验证
设LFM雷达相邻三个脉冲信号的调频斜率发生变化,即k =3×1011 Hz/s、k=2×1011 Hz/s、k=1011 Hz/s,间歇采样时长τ=0.9 μs,若fs=0.5 MHz、Δf=3 MHz固定不变,结果如图5所示,其中图5(a)~(c)绘出了三个干扰信号各自对应的假目标群情况;图5(d)是三个干扰信号对应的假目标群积累后的情况。图6是位置恒定式假目标群干扰方法仿真实验结果,其中图6(a)~(c)绘出了三个干扰信号各自对应的假目标群情况。根据式(18)和式(19),可以设定Δτ1=0.81 μs、Δτ2=0.72 μs,从而间歇采样频率和移频调制量自动随调频斜率发生变化,其中第一个干扰信号中fs=0.243 MHz、Δf=0.218 7 MHz,第二个干扰信号fs=0.162 MHz、Δf=0.145 8 MHz,第三个干扰信号fs=0.081 MHz、Δf=0.072 9 MHz;图6(d)则是三个干扰信号对应的假目标群积累后的情况。对比图6(a)~(c)和图6(d)中的实验结果可以看出,本文所提干扰方法形成的位置恒定式假目标群在积累后的幅度相比固定间歇采样频率和移频调制量的干扰形成的假目标群更高。

图4假目标群峰值位置跳变仿真实验结果
Fig.4Simulation experimental results of peak position jump of false target group

图5固定间歇采样频率和移频调制量时假目标群仿真实验结果
Fig.5Simulated experimental results of false target group with fixed intermittent sampling frequency and frequency shift modulation amount

图6位置恒定式假目标群仿真实验结果
Fig.6Simulation experiment results of the position constant false target group
3.4 干扰方法稳定性验证
为进一步验证本文所提干扰方法的稳定性,依然以LFM雷达相邻三个脉冲信号为实验对象,设调频斜率k在3×1011 Hz/s至1011 Hz/s范围内随机变化,间歇采样时长τ=2.0 μs,根据式(18)和式(19),可以预先设定Δτ1=0.76 μs、Δτ2=1.8 μs,进行三组对比实验。实验中随机得到的k值见表1。
表1三个脉冲对应的调频斜率值
Tab.1Chirp rate of three pulse

随机调频斜率捷变实验得到的假目标群结果如图7~9所示,其中每组图示中的图(a)~(c)是三个干扰信号各自对应的假目标群,每组图示中的图(d)是积累后的假目标群。综合分析图7~9可以看到,本文所提位置恒定式假目标群干扰方法能够很好地自动适应调频斜率k的随机变化,每个干扰脉冲对应的假目标群位置都不会发生跳变,从而保证了积累后的假目标群的干扰效果。

图7第1组随机调频斜率捷变实验结果
Fig.7Experiment results of random chirp rate agility in group 1

图8第2组随机调频斜率捷变实验结果
Fig.8Experiment results of random chirp rate agility in group 2

图9第3组随机调频斜率捷变实验结果
Fig.9Experiment results of random chirp rate agility in group 3
4 结论
多假目标干扰因其具备较好的欺骗性、能够有效消耗雷达资源等优势被灵巧型雷达干扰系统所重视,如何便捷快速地产生有效的多假目标干扰信号是现代雷达干扰技术难题之一。针对LFM信号波形下的调频斜率捷变体制雷达多假目标干扰需求,基于间歇采样转发和双向移频调制联合处理,实现了无须实时计算调频斜率下的间歇采样频率和移频调制量自适应变化,解决了假目标群位置发生跳变的难题,具备对调频斜率捷变等先进体制LFM雷达的位置恒定式假目标群干扰效果;相比单独间歇采样转发干扰或移频干扰,所提干扰方法产生的假目标群分布范围也更广。理论分析和仿真实验结果验证了所提方法和结论的正确性。