摘要
为建立较准确的电磁轨道发射装置动态发射计算模型,根据电流扩散方程引入等效频率来模拟电枢发射过程中趋肤深度的变化,从而利用电枢静态仿真结果等效计算电枢的运动过程。提出一种参数提取方法,利用有限元仿真提取电气参数与频率之间的对应关系,通过微元法计算发射过程中的电流趋肤深度,以此求解对应的等效频率,将该等效频率结合前述有限元仿真结果计算系统的动态电气参数。将该方法用于全系统仿真,仿真与实验误差在1%以内,证明该方法的有效性。
Abstract
In order to establish a more accurate dynamic launch calculation model of the electromagnetic rail launcher, the equivalent frequency was introduced according to the current diffusion equation to simulate the change of skinning depth during the armature launching process, so as to calculate the motion process of the armature equivalently by using the results of the static simulation of the armature. A parameter extraction method was proposed, in which the corresponding relationship between electrical parameters and frequency was extracted by finite element simulation, and then the corresponding equivalent frequency was obtained by calculating the skin depth of the current in the launch process by the micro-element method. The equivalent frequency was combined with the above finite element simulation-results to calculate the dynamic electrical parameters of the system.The method is used in the whole system simulation, and the error between simulation and experiment is within 1%, which proves the effectiveness of the method.
电磁轨道发射技术是一种新型发射技术,其将电磁能转化为电枢的动能,从而实现物体的高速或超高速运动[1-3]。相较于传统发射技术,电磁轨道发射技术出口动能大、出口速度高、可控性强,具有突出的技术优势[4-5],在军事和民用领域都有着广阔的应用前景,受到各国重视[5-7]。
电感梯度和电阻梯度是电磁轨道发射装置的重要电气参数。电感梯度决定了电枢所受推力的大小,电阻梯度决定了接入系统的导轨电阻大小,对电枢的运动时间、出口速度及发射效率有着直接影响[8]。相较于系统中固定的电感和电阻,电感梯度和电阻梯度在发射过程中具有动态特性。并且,由于电磁轨道发射系统的强耦合性和高度非线性[9],参数的变化特性难以通过解析的方式进行准确表示。所以,寻找一种准确度较高的方法计算电感梯度、电阻梯度对研究电磁轨道发射装置的系统特性具有重要意义。
文献[10]提出了一种电磁轨道发射系统模型的数学仿真计算方法,但是没有考虑电感梯度和电阻梯度的动态特性;文献[11]在系统仿真方法中将电感梯度设定为常数,忽略了其变化过程,而对于电阻梯度,没有考虑随三维空间变化情况;文献[12]提出的计算模型考虑了速度趋肤效应对电阻的影响,却忽略对电感梯度的影响。对于电感梯度动态变化,文献[13]和文献[14]在文献[10-12]的基础之上进一步考虑输入阶跃电流下的电感梯度变化过程,但是文献中的计算方法是对二维模型的求解,没有考虑速度趋肤效应。文献[15]在文献[13-14]的基础之上考虑速度趋肤效应提出了利用整体二维模型和三维模型分别计算单位电感长度和电感梯度的计算思路。但是其在计算时采用二维和三维整体模型,该分析思路与电流实际变化存在一定误差。上述文献介绍了导轨电气参数的系统仿真及计算方法但是对参数的动态变化过程考虑不充分,没有充分考虑速度趋肤效应及三维模型的求解。然而,发射过程中尤其是在导轨后段运动期间,电枢的速度较高,趋肤效应对参数的影响明显。所以,对趋肤效应考虑不充分时会对相关参数的计算带来较大误差。
针对上述问题,本文在文献[15]基础之上提出了一种动态电感梯度、电阻梯度的参数提取方法。重点论述了利用电磁轨道发射系统导轨和电枢的有限元仿真模型,获得电流频率与电感梯度、电阻梯度的对应关系。利用微元法计算电流趋肤深度,从而获得对应的等效频率,通过该频率和上述有限元仿真提取的频率与电气参数的对应关系求取发射过程中相关参数的变化情况。
1 理论分析
电磁轨道发射装置的原理如图1所示,脉冲电源产生的驱动电流流过导轨和电枢,在上下导轨间形成磁场区域,流经电枢的电流会受到如图所示的推力F使电枢产生高速直线运动[2]。

图1电磁轨道发射装置原理
Fig.1Principle of electromagnetic rail launcher
推力F计算如下:

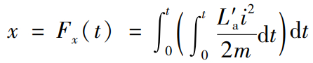
(1)
式中,L′是电感梯度,i是脉冲电源产生的驱动电流。
导轨的电阻随电枢的运动而改变,表示为:

(2)
式中,R为导轨电阻,R0为初始值,R′为电阻梯度。
从上式可以看出,电感梯度和电阻梯度直接决定了电枢所受推力以及运动过程中导轨电气参数的大小,这两个参数是一组核心参数[16]。
受电流扩散和速度趋肤效应的影响,运动过程中趋肤深度不断变化,电感梯度和电阻梯度随趋肤深度的变化而呈现动态特性。
1.1 趋肤深度分析
发射过程中,电枢在导轨间移动,将电枢前端导轨接入导电回路中,在新接入的导轨中,电流的趋肤深度按照阶跃电流扩散公式进行计算[14]。
(3)
式中,δ为趋肤深度,μ0为真空磁导率,σ为导轨材料电导率。
同时,不同位置导轨接入系统的时间不同,趋肤深度在导轨上随轴向位置变化。依据动力学原理,电枢的位移为:

(4)
式中,m表示电枢质量,L′a表示电感梯度,x表示电枢位移。
结合式(3)和式(4),导轨在x点处的趋肤深度为:
(5)
式中,F-1x(x)表示位移的反函数。
同时,正弦电流激励下趋肤深度为:
(6)
式中,f为正弦电流频率。
由式(6)推导出由趋肤深度计算频率的公式:
(7)
对导轨电感和电阻等电气量的求解,考虑整个运动过程中电流流过导轨的变化情况,所以将电枢运动的整个长度作为计算区域即图2中的电气储能计算区域x1。采用微元的思想计算该区域趋肤深度[19],如图3(a)所示,在t时刻,电枢运动距离为x,将长度为x的导轨分为n段即(Δx1,Δx2,···,Δxk,···,Δxn)。微元段的趋肤深度的计算原理如图3(b)所示,误差范围内,可以用微元段Δxk内导轨的趋肤深度平均值对微元段Δxk的趋肤深度进行近似等效[20]。

图2发射过程中的导轨电流分布
Fig.2Distribution of rail current during launch

图3微元法计算原理示意图
Fig.3Calculation principle and schematic diagram of the element method
电枢在某一时刻t,位移为xt,该时刻第k个微元段的趋肤深度可以表示为:
(8)
其中,xk-1和xk处的趋肤深度分别为δk-1和δk,δk(xk,t)表示t时刻第k个微元段内Δxk的趋肤深度。
进而由式(8)可计算t时刻Δxk的趋肤深度所对应的等效频率:
(9)
通过式(9)将发射过程中的趋肤深度变化转化为频率的变化,建立发射过程中微元段的趋肤深度和频率的对应关系。
对于推力以及电感梯度的求解,由文献[2]可知,电枢所受推力主要由电枢后端4倍口径长度(图2中的x2区域)的导轨电流产生。因此,在计算推力及电感梯度时只需要考虑该区域的导轨电流的分布情况。运动过程中该区域内的趋肤深度变化并不明显,电流在电枢附近集中分布在导轨内侧[21],可近似认为在该区域内趋肤深度沿x方向近似保持不变[14]。其对应的趋肤深度计算过程如下:电枢长度为λ,以速度v通过导轨上一点S时所用的平均时间为ts=λ/v,电枢通过S点过程的电流扩散时间为ts, x2区域的趋肤深度以及对应速度等效频率为fv,可由式(10)计算。
(10)
其中,δs(t)表示不同时刻x2区域的趋肤深度,fv(t)表示δs(t)对应的等效频率。
式(10)表示电枢尾端的趋肤深度δs与频率为fv的正弦电流激励下的趋肤深度等效。可以看出,速度越大对应的等效频率越高,从而说明趋肤效应越明显。
式(9)为整个运动区域(图2中的x1区域)趋肤深度以微元法计算对应的等效频率,用以计算电感和电阻等电气量。式(10)中等效频率fv为x2区域趋肤深度对应的等效频率,用以计算推力及电感梯度。
1.2 电感梯度分析
由毕奥-萨伐尔定律可知,导轨间的磁密B由导轨电密及间距决定,而导轨电密随趋肤深度变化。根据1.1节的趋肤深度变化规律,电枢运动过程中导轨间的磁密B随空间x-y-z位置和时间t不断变化。
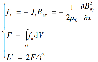
矩形导轨结构如图4所示,忽略位移电流即D=0,麦克斯韦方程组在空气环境的线性系统中,只考虑磁密在垂直于导轨平面的分量B=Byj,导轨速度为v=0,电枢速度沿轴向大小为v,电枢磁密分量大小为Bay。
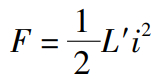
电枢推力F沿x轴方向,其体积力密度fa及对应的电枢电感梯度L′计算公式[22]为:

图4矩形导轨结构形式
Fig.4Rectangle rail structure state

(11)
可见,电感梯度主要由推力区域的趋肤深度变化情况、导轨的间距和尺寸以及导轨的材料所决定。电枢发射过程中,电密J和磁密B均随时空不断变化,因此要获得精准的磁密分布和电磁推力数值,需要引入有限元模型进行数值仿真。
假设导轨周围为各向同性的线性导磁介质(如空气),依据磁能等效可以获得运动过程中的导轨电感:

(12)
式中,Wm为装置空间磁场储能,μ为磁导率,H为磁场强度。
可见,在发射过程中,导轨电感主要由导轨和电枢所形成的区域的磁密决定。
同时,由式(9)和式(10)中趋肤深度与频率的计算关系可知,发射装置一定时,可以将电感梯度和电感看作是关于等效频率的函数。利用电感梯度和电感与等效频率的函数关系,可以进行运动过程动态参数计算:电枢运动过程中的某一时刻t,趋肤深度沿导轨轴向(x方向)变化,利用微元法计算出每个微元内的趋肤深度和等效频率,从而计算对应的电感,最后对所有微元的电感值进行加和计算得到导轨的总电感。同时,利用电枢附近(图2中的x2区域)的趋肤深度计算等效频率从而计算推力和电感梯度。
1.3 电阻梯度分析
导轨电阻值决定了电流的大小和导轨的能量损耗,对系统效率有着直接的影响,受电流扩散和速度趋肤效应的影响,实际导流面积小于导体截面,三维情况下的电阻梯度可以表示为:

(13)
当导轨尺寸及材料一定且不考虑温度影响时,电阻梯度只与趋肤深度有关。与电感梯度和电感分析类似,电阻梯度同样可以看作是关于频率的函数。同电感的计算,利用微元法计算每个微元段电阻并进行加和计算得到总电阻。
电感梯度、电感值、电阻梯度等电气参数均由趋肤深度决定,而趋肤深度在电枢运动过程中的动态变化决定了电气参数的动态变化过程,为提高计算精度,必须对其进行充分考虑。由于系统的复杂特性,电感梯度、电感值、电阻梯度等电气参数同频率的关系无法通过解析的方式求取,但是利用有限元仿真软件,通过涡流场进行“扫频”分析能够获得电感梯度、电感、电阻和频率的变化曲线。计算发射过程中的趋肤深度和对应的等效频率,并利用有限元仿真结果,可计算上述参数在发射过程中的变化。
2 仿真分析
利用有限元软件仿真时只能获得电枢在“堵转”状态下的参数变化情况,无法直接对电枢运动过程中的电磁变化情况进行仿真。依据前述理论分析及等效频率计算公式可知,运动过程中随时空变化的趋肤深度及相关电气参数可以转化为随频率的变化。所以可以利用静态模型在不同频率下的仿真结果来模拟实际动态过程,从而将解析部分提出的等效频率和其对应的电气参数通过仿真获得。
2.1 有限元仿真分析
2.1.1 趋肤效应分析
设计矩形导轨尺寸如下:导轨厚度w=15 mm,导轨高度h=25 mm,导轨间距s=20 mm,导轨长度为2 m,依据模型对称性,在仿真软件中绘制1/4三维模型。除了利用对称边界,空气域采用磁场强度切向分量恒为零(zero tangential feild)的边界条件,网格剖分采用inside selection-length形式。
采用“扫频”的方式进行涡流场分析,在仿真软件中进行涡流场分析,先确定电流频率范围。利用式(10)对速度趋肤频率进行计算,当v=2 000 m/s、λ=20 mm时,对应的速度频率fv=10.13 kHz。根据输入电流频率(电流基波频率约为200 Hz)和速度频率(2 000 m/s对应速度频率为10 kHz),涡流场激励源采用幅值为200 kA的交变电流,频率为10 Hz~10 kHz。
三维模型中导轨侧面电密变化如图5所示。可以看出,频率越高导轨内侧电密越高,电流的趋肤效应越明显,即电枢速度越大,越靠近电枢,趋肤越明显。同时从图5(b)~(d)可以看出,当频率大于1 000 Hz时,电密分布变化不大。

图5导轨侧面电密分布
Fig.5Current density distribution on the side of the rail
2.1.2 基于频率的参数仿真计算
利用上述三维仿真模型,获得不同频率下模型的电感值、电阻值以及电磁推力。根据仿真结果可以得到导轨单位长度的电感值(称为电感系数Lu)、单位长度电阻值(电阻梯度R′)以及电感梯度L′随频率的变化曲线,仿真计算曲线如图6所示。

图6有限元参数随频率变化曲线
Fig.6Variation curve of parameters obtained by finite element with frequency
1)基于频率的电感系数分析。在仿真软件中获得随频率变化的电感系数,用于计算导轨的电感值。所得电感系数变化情况如图6(a)所示,从图中可以看出,电感系数随着频率的增大而减小,其主要是由于频率越高电流越趋于导轨内侧表面,导轨间通流回路面积减小,从而导致电感值降低。
2)基于频率的电感梯度分析。利用三维涡流场获得三维模型在不同频率下的电枢轴向受力曲线,如图6(b)所示,根据式(11)由推力值计算电感梯度随频率的变化曲线,如图6(c)所示。电感梯度随频率的增大而减小,变化趋势和电感系数相同。
3)基于频率的电阻梯度分析。从图6(d)可以看出,电阻梯度随频率增大而增大,主要因为随着频率增加,趋肤深度减小,导轨导流面积减小,电阻增加。
2.2 系统仿真分析
根据趋肤深度与频率的计算关系,将随时间变化的趋肤深度转化为随时间变化的频率,计算出发射过程中的等效频率,并通过有限元仿真获得不同参数随频率的变化曲线,计算动态参数的变化过程,从而实现精准的全系统仿真。发射过程中的等效频率和趋肤深度由式(8)~(10)计算。
通过2.1节中的扫频分析可提取电感梯度与频率的关系,用FL′(f)表示,即L′=FL′(f),同理可以提取电感系数Lu和电阻梯度R′与频率的关系Lu=FLu(f)和R′=FR′(f)。利用式(8)和式(9)计算出每个微元的趋肤深度和等效频率后,通过式(14)计算运动过程中t时刻导轨的总电感和总电阻。
(14)
同理由1.1节和1.2节可知,t时刻导轨的电感梯度可由式(9)对应的等效频率进行计算,如式(15)所示。

(15)
利用仿真软件建立电磁发射装置的电气及动力学仿真模型,如图7所示。通过在系统仿真中计算趋肤深度和速度等效频率,并对电磁场有限元仿真结果进行曲线拟合,得到各个参数随速度等效频率变化的公式,进而得到不同速度下电感梯度、电感系数和电阻梯度的实时变化值。仿真中的电感系数用于导轨电感计算,而电感梯度用于计算推力值,电阻梯度用于导轨电阻值计算[15,23-24]。

图7系统仿真框图
Fig.7Block diagram of system simulation
通过仿真计算,获得电感梯度、电感系数、电阻梯度的变化曲线,如图8所示。

图8动态参数仿真变化曲线
Fig.8Dynamic parameter simulation change curve
从图8可以看出,电感系数在电枢发射过程中不断上升并趋于稳定,主要是因为电流随时间在全长导轨中充分扩散,导轨间等效回路面积不断增加,所以电感系数不断增加。而电感梯度在起始阶段,电枢速度低,电感梯度主要受到电流扩散影响,这个阶段随着电流扩散趋于充分,电感梯度逐渐增加;与此同时,随着电枢速度不断增加,速度趋肤效应起到主导作用,因此在这个阶段,电感梯度会随着时间和速度的增加而不断减小。电阻梯度主要由于导轨电流随时间扩散得越来越充分而不断减小。
3 试验验证
为验证本文所提出的仿真计算方法的准确性、有效性,采用具有两个放电单元的电磁发射试验装置,导轨材料为铜,电枢材料为铝,导轨结构为矩形结构,电枢为C形电枢,设计两种试验工况。两种工况采用不同的放电电压和放电时序,使其驱动电流和速度都相差较大。
将两种工况下的仿真结果和试验结果进行对比分析,图9为不同工况下的仿真结果和试验结果的对比图,获得的结果均做标幺化处理。

图9两种工况下仿真与试验结果对比
Fig.9Comparison of simulation and experimental results under two working conditions
将不同工况下获得的仿真数据同试验数据标幺化后进行汇总,其大小与误差如表1所示。
从图9可以看出,仿真所得电流、速度曲线与试验所得相应曲线基本重合。表1中的数据也表明,针对几个关键指标,仿真数据与试验数据之间的误差均保持在1%以内。文献[14]中的方法与有限元仿真的误差为5%[14],文献[15]中的仿真与试验误差为2%[15]。本文的利用微元思想和等效频率结合有限元仿真模型的方法能够更好地刻画发射过程电磁轨道发射装置的电气参数的动态变化过程,计算精度更高。上述结果证明了本文采用的仿真计算方法的有效性。
表1两种工况下仿真与试验数据(标幺值)对比
Tab.1Comparison of simulation and experimental data (PU) under two working conditions

注:误差=(|试验值-仿真值|/试验值)×100%。
4 结论
提出了一种利用微元思想计算导轨的时变参数的方法,并以此建立全系统仿真模型。通过引入趋肤深度的等效频率,将随时间变化的参数转化为随频率变化的参数,有限元仿真提取参数与频率之间的函数关系,利用微元法计算发射过程中的等效频率,以此计算发射过程中的电感梯度、电感系数、电阻梯度等时变参数,将电感梯度用于电磁推力的计算,电感系数用于导轨电感的计算,从而进行全系统仿真。所采用的等效频率法综合考虑了电流趋肤效应、速度趋肤效应以及电感梯度、电阻梯度的动态变化特性,能够获得较为精准的计算精度。通过与两种工况下的试验结果的对比发现,仿真与试验误差均小于1%,从而验证了所提计算方法的有效性,为系统分析提供了有效手段。