摘要
为充分利用维修性多源先验数据,提高先验分布的融合精度以确保维修性验证结果的准确性,针对多源数据存在冲突的问题,提出维修性多源冲突证据数据融合的先验分布确定方法。充分挖掘、提取多源数据的特征信息,分别构造基于样本量、分布特征和数据重要度的证据mass函数,综合考虑证据间的关联性和证据本身的不确定性,引入夹角余弦度量证据间的冲突程度,引入信息熵度量证据的不确定度,通过结合证据的支持度和不确定度共同修正证据,建立多源冲突证据数据融合模型以实现多源数据的有效融合,确定综合先验分布。结合两个案例进行分析,验证了所提方法有效可行。
Abstract
To make full use of maintainability multi-source prior data and improve the fusion accuracy of prior distributions to ensure the accuracy of maintainability verification results, a prior distribution determination method for maintainability multi-source conflict evidence data fusion was proposed to solve the problem of conflicts in multi-source data. Fully mining and extracting the feature information of multi-source data, constructing evidence mass function based on sample size, distribution characteristics and data importance respectively, comprehensively considering the correlation between evidence and the uncertainty of evidence itself, introducing angle cosine to measure the degree of conflict between evidence. By combining the support degree and uncertainty of the evidence, the multi-source conflict evidence data fusion model was established to achieve the effective fusion of multi-source data and determine the comprehensive prior distribution. Combined with the analysis of two cases, the proposed method is proved to be effective and feasible.
Keywords
复杂装备系统在开展维修性试验与评价工作时往往受限于试验周期和试验费用等条件,导致现场试验样本量常达不到经典数理统计法[1-3]验证装备维修性时对样本数量的要求,而Bayes法[4-5]与经典数理统计法相比,在利用总体信息和样本信息的基础上,进一步引入了先验信息,更适用于小样本条件下维修性定量指标的验证问题。采用Bayes法准确验证装备维修性的前提和关键是获取准确的先验分布[6],尤其是在具有多源先验数据的情况下,需要先进行多源数据的有效融合,考虑到多源数据具有不确定性,且不同源数据之间可能相互冲突,所以引入DS(Dempster-Shafer)证据理论[7-8]对维修性多源数据进行融合能充分利用多源数据信息。但当维修性多源数据的证据高度冲突时,已知DS理论的Dempster组合规则此时不能有效地处理高冲突证据,融合易出现与事实相悖的现象,也无法得到准确的先验分布[9]。
当前,研究人员针对DS理论不能有效处理高冲突证据的原因主要持两种观点:一是认为Dempster组合规则有问题,该规则不能合理地分配冲突;二是认为组合规则没问题,缺陷是冲突证据本身造成的。相应地,对DS理论进行改进也主要从以下两个方向展开:一是修改组合规则[10-15],这类方法将冲突悖论的产生归因于组合规则的不合理,通过修改组合规则虽能在一定程度上解决高冲突证据的融合问题,消除冲突悖论,但却破坏了Dempster组合规则的交换律、结合律等优良性质,融合大量证据时效果较差,体现了这类改进方法的局限性。二是修正证据模型[16-23],这类方法将冲突悖论的产生归因于冲突证据本身,通过赋予证据权重修正证据,以减弱证据间的冲突程度,可以灵活高效地处理高冲突证据。比如,Murphy[16]率先提出了平均加权融合证据的方法,首先赋予每个证据以相同权重,然后采用Dempster组合规则对加权平均证据融合n-1次,融合结果表明该方法具有较强的收敛性,但简单地将证据等权处理则忽略了证据间的关联性和证据本身的不确定性,无法确保融合结果的准确度。Deng等[17]在借鉴Murphy思想的基础上,引入了Jousselme距离度量证据间的冲突程度,并以此确定证据的权重,一定程度上弥补了平均加权法的不足。Chen等[18]提出了一种借助夹角余弦度量证据间冲突程度的加权融合方法,也能较好地解决高冲突证据的融合问题。Ye等[19]利用Lance距离修正证据的性能优于Minkowski距离和Mahalanobis距离的特点[20],改进了DS证据融合方法,实现了多传感器冲突信息的可靠融合。应文健等[20]通过引入Lance距离、信度熵和专家打分法融合了小子样条件下舰炮制导弹药的测试性冲突数据,提高了舰炮制导弹药测试性指标评估的可靠性。Yuan等[23]提出了一种结合Jousselme距离和信息熵确定证据加权系数的新方法,既考虑了证据间的关联性,又考虑了证据本身的不确定性,与只考虑单一方面的证据修正方法相比,结果表明这种组合方法融合性能更好。
综上,采用修正证据模型的方式处理高冲突证据,同时考虑证据间的关联性和证据本身的不确定性两方面赋予证据权重修正证据的性能优于只考虑单一方面的证据修正方法,且以证据冲突度量方法和信息熵加权组合的方式应用最为广泛。但当前研究更多的是一种普适性方法,虽能解决维修性多源冲突证据数据融合的问题,但其融合性能仍有待进一步提高,尚缺少针对维修性数据融合方法的研究。
为此,针对维修性多源先验数据这种只包含单子集焦元证据的融合问题,充分挖掘、提取多源数据的特征信息,分别构造基于样本量、分布特征和数据重要度的证据mass函数;引入夹角余弦度量证据间的冲突程度,引入信息熵度量证据的不确定度,并综合证据的支持度和不确定度共同修正证据,建立多源冲突证据数据融合模型以实现多源数据的有效融合,提出一种维修性多源冲突证据数据融合的先验分布确定方法。为验证所提方法的可行性和有效性,最后结合数值案例和实装试验应用案例进行分析。
1 DS证据理论
DS理论主要包含以下几个重要定义:
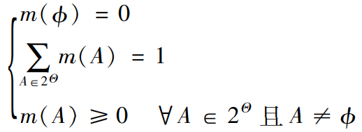
定义1 识别框架:设Θ={A1,A2,···,An}是关于命题A的集合,若集合Θ有限、完备且所包含的n个子集互不相容,则将Θ定义为识别框架。幂集是由Θ中命题所有可能组合的集合,记为2Θ,2Θ={φ,{A1},···,{An},{A1,A2},···,{A1,An},···,Θ}。
定义2 mass函数:设A为幂集2Θ中的任一命题,A∈2Θ,函数m为集合2Θ→[0,1]的映射,且满足

(1)
则称m为Θ上的mass函数或基本概率赋值(basic probability assignment,BPA)函数,m(A)为命题A的BPA,表示证据对命题A的支持度。如果m(A)>0,则称命题A为焦元。使用向量mi表示第i个证据的BPA,mi=[mi(A1),mi(A2),···,mi(An)](i=1,2,···,M),Ψ={A1,A2,···,An}为证据mi中所有焦元的集合(A1,A2,···,),每一个命题Aj(j=1,2,···,n)都有确定的m(Aj)。
定义3 组合规则:设m1,m2,···,mN分别为识别框架Θ上N个证据的mass函数,则DS组合规则定义为

(2)
式中,k为冲突系数,
,k∈[0,1),表示两个证据间的冲突程度。

但实际上,DS证据理论往往无法正确融合高冲突证据,融合结果易与事实相悖。例如,假设采用DS证据理论融合三种维修性先验数据A1、A2和A3,识别框架上三个证据的BPA分别为 m1: m1(A1)=0.5,m1(A2)=0.2,m1(A3)=0.3; m2: m2(A1)=0,m2(A2)=0.9,m2(A3)=0.1; m3: m3(A1)=0.55,m3(A2)=0.1,m3(A3)=0.35。
此时冲突系数k=0.973 1,表明该组证据为高冲突证据,其中,证据1和证据3均支持数据A1,说明这两个证据均认为数据A1在多源数据融合时的权重应最大,证据2支持数据A2,说明证据2认为数据A2的融合权重应最大。根据融合结果应与证据保持相对一致的原则,正确的融合结果应赋予数据A1最大的融合权重,但实际的融合结果为m(A1)=0,m(A2)=0.631 6,m(A3)=0.368 4,数据A2的融合权重最大,为0.631 6,而数据A2的融合权重却为0,显然与事实相悖,表明此时DS证据理论无法正确融合维修性多源冲突数据,因此,需要对DS证据理论进行针对性改进。
2 构造mass函数
已知进行维修性多源数据有效融合的关键是确定各先验分布合理的融合权重,因此基于DS理论融合多源数据时就需要充分挖掘并提取影响融合权重确定的数据信息。通常情况下,可以从数据内部和外部两方面挖掘、提取数据的多种特征信息,其中,常见的内部信息包括样本量、参数分布特征和重要度等;外部信息包括数据采集方法、采集水平和可信度等。在利用DS理论融合多源数据时,就是将识别框架Θ看作是由多源数据构成的,不同源数据分别表示识别框架上的不同命题,数据的多种特征信息则看作是多个证据,但由于不同的数据特征信息具有不同的表示形式,不同形式的信息无法进行直接融合,因此需要进一步对数据的特征信息进行预处理,即构造证据的mass函数。此外,通常认为获取多源数据的外部信息均一致,即数据采集方法、采集水平和可信度均相同,所以证据mass函数的构造只需考虑影响多源数据融合权重的内部特征信息。
2.1 构造基于样本量的mass函数
基于数据的样本量构造mass函数,最直接的方法就是用各源数据的样本量占多源数据总样本量的比值作为对应数据源数据的mass函数值。显然,数据源数据的样本量越多,表明该源数据反映装备维修性水平的代表性越强,则对应数据源的融合权重应越大,即mass函数值应越大。假设有n种维修性多源先验数据A1,A2,···,An,各源数据的样本量分别为s1,s2,···,sn,则证据E1的mass函数为:

(3)
2.2 构造基于分布特征的mass函数
基于分布特征构造mass函数,首先需要获取维修性多源数据的参数分布,而进行多源数据融合前,也需要先将各先验数据转换成维修性参数分布的形式,先验数据的分布函数与现场试验数据的分布函数越相似,表明该源数据与现场试验数据越接近,反映装备维修性真实水平的能力越强,对应数据源的融合权重应越大,即mass函数值应越大。工程实践中普遍采用Bootstrap法和Bayes Bootstrap法对小样本数据进行重抽样获取新样本,并以子样估计量统计推断维修性参数的总体分布[24]。在此不再介绍两种方法的基本原理,仅讨论其数据重抽样方式对参数分布拟合精度的影响。
设某源维修性数据为X=[x1,x2,···,xn],xi~F(x)(i=1,2,···,n)将X中数据按升序排列,记为x(1),x(2),···,x(n),构造经验分布函数Fn(x):

(4)
传统Bootstrap法和Bayes Bootstrap法均依据式(4)所示的经验分布函数产生新样本,受经验分布函数Fn(x)结构的约束,易知新样本数据均局限于初始样本区间[x1,xn]内,随机性较差,尤其无法描述总体为连续分布时非初始样本点外的分布特征,将降低参数分布的估计精度。针对Fn(x)重抽样无法获取[x1,xn]区间外样本点的问题,本文采用经验分布函数Fn(x)近似服从“S”形的Boltzmann sigmoid函数在全局(-∞,+∞)上拟合样本,并采用式(5)对拟合曲线进一步修正,以弥补Fn(x)上下限拟合效果的不足,得到修正后的经验分布函数及其密度函数。
(5)
生成一组服从U(0,1)的随机数β=[β1,β2,···,βn],则

(6)
式中,为一组包含n个数据的新样本,。
重复上述方法m次,即可获取m组新样本。在已获取维修性多源先验分布和现场分布的基础上,借助KL(Kullback-Leibler)散度[25]衡量各先验分布与现场分布的差异大小,反映各先验分布与现场分布的相似程度,构造基于分布特征的mass函数。
设有n个维修性多源先验数据,已知关于维修性参数θ的先验分布分别为π1(θ),π2(θ),···,πn(θ),现场分布为π0(θ),则第i个先验分布πi(θ)(i=1,2,···,n)对现场分布π0(θ)的KL散度为:
(7)
由于KL散度具有不对称性,即KL(πi||π0)≠KL(π0||πi),所以当分别以先验分布和现场分布作为基准时,会得到不同的KL散度值,此时无法根据KL散度比较各先验分布与现场分布的相似度。为克服KL散度的非对称性,对KL散度进行对称化改进,令:
(8)
式中:D(πi,π0)为πi(θ)与π0(θ)的对称性差异度;D(πi,π0)越大,表示两个概率分布的差异越大,相似度越小,反之亦然。特殊情况,当πi(θ)=π0(θ),D(πi,π0)=0,表示两个概率分布完全相同,此时可将先验数据作为现场试验数据直接使用。
利用式(9)将πi(θ)与π0(θ)的差异度D(πi,π0)转化为[0,1]区间的相似度,记为ρ(πi,π0):
(9)
因此,进行多源先验分布融合时,先验分布与现场分布越相似,融合权重应越大,则证据E2的mass函数为:

(10)
2.3 构造基于数据重要度的mass函数
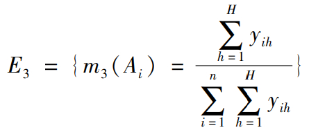
装备在其全寿命周期各阶段会产生各种各样的维修性试验数据,根据数据的来源、产生阶段和产生层级的不同,可以对多源数据进行不同分类,比如从来源维度上可将维修性数据分为:专家经验数据、仿真试验数据、历史试验数据、相似装备试验数据和不同环境试验数据。易知数据的来源不同,其反映装备维修性真实水平的能力不同,在数据融合时的重要程度显然也是不同的,数据越重要,对应数据源的融合权重应越大,即mass函数值应越大。借助专家经验采用1~9标度法对各源数据的重要度进行打分,构造基于数据重要度的mass函数,假设邀请H名专家分别对n种维修性数据A1,A2,···,An的重要度进行打分,如表1所示。
表1数据重要度的专家打分情况
Tab.1Expert scoring of data importance

根据打分结果,构造证据E3的mass函数为:

(11)
式中:h=1,2,···,H; i=1,2,···,n。
3 多源冲突证据数据融合模型
在充分挖掘维修性数据信息、构造mass函数的基础上,为有效融合多源冲突证据数据,综合考虑证据间的关联性和证据本身的不确定性两方面对冲突证据进行修正,建立多源冲突证据数据融合模型。引入夹角余弦度量证据间的冲突程度,借助余弦相似度确定证据的支持度加权因子;引入信息熵确定证据的不确定度加权因子,而后结合支持度加权因子和不确定度加权因子共同修正证据得到加权平均证据,并利用DS组合规则融合n-1次,得到维修性多源数据的加权系数,进而实现维修性多源冲突数据的有效融合。维修性多源冲突证据数据融合流程如图1所示。

图1维修性多源冲突证据数据融合流程图
Fig.1Data fusion flow chart of maintainability multi-source conflict evidence
3.1 支持度加权因子
Step 1:借助夹角余弦表示证据mi(i=1,2,···,M)和mj(j=1,2,···,M)之间的相似度,则:
(12)
式中,。
Step 2:将证据mi和mj间的余弦相似度记为Sij,建立相似度矩阵S:
(13)
式中:S为对称矩阵,Sij=Sji,0≤Sij≤1,Sij越大,表示证据mi和mj相互支持的程度越高。
Step 3:计算证据mi的支持度,即

(14)
则证据mi的支持度加权因子为:

(15)
3.2 不确定度加权因子
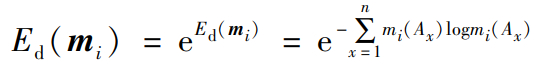
Step 1:引入信息熵[26-28]度量证据的不确定程度,设mi=[mi(A1),mi(A2),···,mi(An)]为第i个证据Ei的mass函数值,i=1,2,···,M,Ax(x=1,2,···,n)为识别框架Θ下的第x个命题,则证据Ei的Shannon熵为:
(16)
式中:Ax为单元素命题;Ed(mi)的值越大,表示证据的不确定度越大,包含的信息量越多,在DS组合中的权重就越小。
Step 2:为避免由于Ed(mi)=0的出现而使得DS组合中证据Ei的权重为0,对Ed(mi)取指数,则:

(17)
Step 3:计算证据mi的不确定度加权因子

(18)
3.3 多源数据的加权融合
Step 1:结合支持度加权因子Swi和不确定度加权因子Uwi加权融合证据得到加权平均证据WAE(m(Aj)):

(19)
Step 2:通过DS组合规则对WAE(m(Aj))融合n-1次,得到多源维修性先验数据的综合融合权重W=[w1,w2,···,wn],则融合后的综合先验分布π(θ)为:
(20)
4 案例分析
4.1 案例1
为验证所提改进DS(improved dempster-shafer,IDS)证据融合方法的可行性,以文献[29]中的四种典型高冲突证据悖论为数值案例,分别应用IDS和当前多种DS改进方法进行证据融合并对比分析融合结果。由于本文引入了信息熵,已知当某一命题的BPA为0时,取对数计算的结果无意义,为避免这种情况,使用1×10-12这种很小的数替代0,证据融合的结果不变[30]。四种典型高冲突证据的数值案例分别为:
1)完全冲突悖论。
2) 0信任悖论。
3) 1信任悖论。
4) 高冲突悖论。
四种典型高冲突证据融合结果如表2所示,相对应的直方图如图2~5所示。
表2四种典型高冲突证据融合结果
Tab.2Fusion results of four typical high conflict evidence


图2完全冲突悖论
Fig.2Completely conflicting paradox

图30信任悖论
Fig.30 Trust paradox

图41信任悖论
Fig.41 Trust paradox

图5高冲突悖论
Fig.5Highly conflicting paradox
在完全冲突悖论中,已知冲突系数k=1,此时Dempster组合规则失效。由表2和图2可知,Yager[10]将BPA完全赋予了识别框架Θ,m(Θ)=1,证据融合后反而增加了命题的不确定性,无法正确识别目标命题A。其余方法均能正确识别目标命题A,其中,Murphy[16]和应文健等[20]的识别精度略低,分别为m(A)=0.837 5和m(A)=0.955 4,Chen等[18]、Xiao[21]、Deng等[22]和IDS的识别精度较高,均为m(A)=0.998 6。
在0信任悖论中,已知证据m1和m3为相对一致的证据,均支持命题A,证据m2为冲突证据,支持命题B。由表2和图3可知,DS[8]法和Murphy[16]分别以m(B)=0.631 6和m(B)=0.522 4支持命题B,但此时命题B并不是正确的目标。Yager[10]赋予了识别框架m(Θ)=0.989 5,表示命题是高度不确定的,无法正确识别目标命题。其余方法均能正确识别目标命题A,融合结果与相对一致的证据保持一致,且以IDS的识别精度最高,m(A)=0.741 9。
在1信任悖论中,已知正确的识别目标应为命题A或C,由表2和图4可知,DS[8]法完全支持命题B,m(B)=1,融合结果显然与事实相悖。Yager[10]赋予了识别框架m(Θ)=1,也无法正确识别目标命题。其余方法均以相同概率m(A)=0.488 0和m(C)=0.488 0支持命题A和C,能够正确识别目标命题。
在高冲突悖论中,已知证据m1、m3、m4和m5为相对一致的证据,均支持命题A,证据m2支持命题B,由表2和图5可知,DS[8]法以较大概率m(B)=0.915 3支持命题B,错误的识别命题B为目标命题。Yager[10]赋予了识别框架m(Θ)=1,也无法正确识别目标命题A。其余方法均能正确识别目标命题A,其中,Murphy[16]的识别精度略低,m(A)=0.838 9,Chen等[18]和IDS的识别精度最高,m(A)=0.962 3。
四种典型高冲突证据下目标命题A的融合结果如图6所示。

图6命题A的BPA
Fig.6BPA of proposition A
综合上述分析并结合图6可知,DS[8]法和Yager[16]均处理不了这四种典型冲突悖论,其中,DS[8]法在完全冲突悖论中失效,在其余三种冲突悖论中均错误地选择了命题B。Yager[10]在四种冲突悖论中,基本均将证据冲突的BPA赋给了识别框架Θ,不仅不能正确识别目标命题,反而进一步增加了命题的不确定性。Murphy[16]除在0信任悖论中错误地选择了命题B外,在其余三种冲突悖论中均能正确识别目标命题,其余Chen等[18]、应文健等[20]、Xiao[21]、Deng等[22]和IDS在这四种冲突悖论中均能正确识别目标命题。此外,除了由于本文在1冲突悖论案例中证据BPA设置的特殊性,使得Murphy[16]等六种方法的融合结果相同外,在其余三种冲突悖论中,Murphy[16]由于只采用平均加权的方式修正证据,既没有考虑证据间的相关性,也没有考虑证据本身的不确定性,其融合精度最低,IDS法的融合精度最高,验证了所提方法的可行性和有效性。
4.2 案例2
结合装甲车辆小子样维修性试验,选取典型维修性指标平均修复时间(mean time to repair,MTTR)进行分析,融合维修性多源冲突数据确定先验分布,验证所提方法的可行性。以历史试验数据A1、相似装备试验数据A2和仿真试验数据A3作为三种先验数据,分别基于样本量、分布特征和数据重要度构造mass函数,假定三种先验数据的样本量分别为10、15和30,MTTR对数均值的分布分别为π1(θ)=N(3.607 7,0.043 42)、π2(θ)=N(3.551 1,0.046 62)和π3(θ)=N(3.623 5,0.041 32),现场分布为π0(θ)=N(3.587 5,0.043 22),具体计算过程和专家打分情况不在此详细阐述,数据处理结果如表3所示。
表3证据的BPA值
Tab.3BPA values of evidence

分别采用IDS法和多种DS改进方法融合证据E1、E2和E3,得到多源数据的融合权重如表4所示,对应直方图如图7所示。
表4多源数据的融合权重
Tab.4Fusion weight of multi-source data

由表4和图7可知,IDS法的融合精度最高,赋予先验数据A1的融合权重最大,w1=0.718 7,这与证据相对一致支持数据A1的事实相同,且进一步增大了数据A1的融合权重,表明所提方法能更好地凸显与现场分布更接近的数据源数据的重要性,有助于提高先验分布的融合精度。三种先验数据的融合权重W=(0.718 7,0.196 0,0.085 3),则融合后的综合先验分布为π(θ)=0.718 7π1(θ)+0.196 0π2(θ)+0.085 3π3(θ)≈N(3.603 9,0.048 62),为更直观地观察融合效果,分别作π1(θ)、π2(θ)、π3(θ)、π0(θ)和π(θ)的曲线图,如图8所示,π1(θ)、π2(θ)、π3(θ)、π(θ)与π0(θ)均值差的绝对值如表5所示。

图7多源数据的融合权重
Fig.7Fusion weight of multi-source data

图8MTTR对数均值的分布曲线
Fig.8MTTR logarithmic mean distribution curve
表5均值差的绝对值
Tab.5Absolute value of mean difference

从图8和表5可以看出,融合后的先验分布π(θ)与各单独数据源的先验分布相比,更贴近于现场分布π0(θ),进一步验证了所提方法能较好地融合多源先验分布。
5 结论
为提高维修性多源数据冲突条件下先验分布的融合精度,本文提出了维修性多源冲突证据数据融合的先验分布确定方法。通过充分挖掘、提取多源数据的特征信息,分别构造了基于样本量、分布特征和数据重要度的证据mass函数,然后从证据间的关联性和证据本身的不确定性两方面综合考虑,引入了夹角余弦和信息熵分别度量证据间的冲突程度和证据的不确定度,并结合证据的支持度和不确定度修正冲突证据,建立了多源冲突证据数据融合模型,实现了多源数据的有效融合并得到了综合先验分布。两个案例结果表明,所提方法有效可行。