WANG Yuxiao , HU Jing , GU Nan , ZHANG Yi , WANG Zhiguo , LUO Hui , TAN Zhongqi
2025, 47(5):1-23. DOI: 10.11887/j.issn.1001-2486.25020002
Abstract:As a representative of the next generation of gyroscopes, atomic gyroscopes have become a focal point of research in the field of high-precision inertial navigation and have garnered significant attention due to its theoretically ultra-high precision, exceptional long-term stability, and immense potential for miniaturization and integration. Among them, the atomic interference gyroscope, as a type of atomic gyroscope, has attracted widespread interest in the field of inertial navigation. The development of atomic interference gyroscopes was systematically reviewed. Beginning with fundamental principles, the critical technical components including atomic source preparation, interferometric loop construction, and phase resolution were elaborated on. Through rigorous analysis, the intrinsic correlations between core performance parameters such as sensitivity and ultimate accuracy were established, while their mutual constraint mechanisms was elucidated. Furthermore, the physical origins of engineering bottlenecks including limited data update rates and narrow dynamic ranges were revealed. Finally, the future development directions and trends for atomic interference gyroscopes were outlined, emphasizing the need for in-depth research in several areas: solving external interference issues to improve accuracy, improving chip processing technology for miniaturization and integration, optimizing the combined inertial sensors, increasing data update rates, and exploring ways to expand dynamic range.
2025, 47(5):24-33. DOI: 10.11887/j.issn.1001-2486.25040031
Abstract:Pulse compression is one of the key technologies in ultrafast 2DES (two-dimensional electronic spectroscopy), which determines the time resolution of the system and is of great significance for studying ultrafast dynamic such as excited-state relaxation, solvation, and quantum coherent energy transfer. A systematic review of commonly-used pulse compression methods in 2DES was provided. The time-frequency characteristics of femtosecond laser pulses were introduced. Then, the principles and limitations of various pulse compression techniques were discussed in detail, including grating pairs, prism pairs, grating-prism combinations, pulse shapers, and chirped mirror pairs. By examining representative cases, the selection strategies for compression methods in different 2DES systems were analyzed. Through a systematic review of different pulse compression methods in 2DES, aimed to facilitate the development of advanced domestically mastered ultrafast spectroscopic instruments and contribute to the advancement of ultrafast science and related interdisciplinary fields.
SHI Jiaming , YAN Ziqi , GUO Lianbo , HUANG Weihua , OUYANG Zhiyong , MA Honghua , TAO Zhiyong , NIE Junfei
2025, 47(5):34-40. DOI: 10.11887/j.issn.1001-2486.24100006
Abstract:LIBS (laser induced breakdown spectroscopy) combined with the signal acquisition device of gated PMT(photo multiplier tube) technology is one of the key components that affect the miniaturization and integration of the LIBS analysis system. Therefore, a 12 bit PMT signal high-speed acquisition system with a 7.6 MHz acquisition frequency was designed and implemented using a microcontrol chip and an AD9226 chip. The element lead(Pb) and chromium (Cr) were quantitatively analyzed. The experimental results show that LIBS combined with Gated-PMT analysis system adopts high-speed acquisition system to establish Pb, Cr element calibration curve fitting degree is 0.988, 0.978, relative standard deviation is 3.56%, 6.57%, detection limit is 0.013 mg/L and 0.087 mg/L, respectively. Compared with the LIBS detection technology without PMT, it is an order of magnitude lower. Compared with inductively coupled plasma-mass spectrometry, the relative errors of Pb solution with 7.0 mg/L and Cr solution with 0.7 mg/L were 2.81% and 3.26%, respectively. Therefore, the PMT signal high-speed acquisition system has a good quantitative effect in the LIBS analysis of heavy metals in aqueous solutions, and has the advantages of small size, low power consumption and low cost, which is conducive to further promoting the application of LIBS technology in the field of water quality heavy metal detection.
SHU Sheng , LI Jingbo , GAO Wei , YANG Mengmeng
2025, 47(5):41-50. DOI: 10.11887/j.issn.1001-2486.25010007
Abstract:In current research, less attention has been paid to the relationship between the thickness and optoelectronic properties of α-In2Se3 and most research has been focused on the mechanical exfoliation of α-In2Se3 nanosheets, which is not conducive to future industrial applications. A modified physical vapor deposition method for the controllable growth of α-In2Se3 was proposed, and the broad-spectrum response performance of three thicknesses of α-In2Se3 nanosheets in the visible to near-infrared wavelength range was systematically studied. The results indicate that the thickness of α-In2Se3 nanosheets can significantly regulate the photoelectric performance, and the photoresponsivity and specific detection rate increase with increasing thickness. In addition, it was found that the α-In2Se3 with a thickness of 32.8 nm exhibited a photocurrent anisotropy ratio (dichroic ratio) of 4 at 635 nm, indicating good polarization-sensitive detection functionality. In summary, the two-dimensional α-In2Se3 prepared by the physical vapor deposition method demonstrates a wide visible-infrared spectral response and good polarization detection ability, making it an ideal candidate material for two-dimensional multifunctional optoelectronic devices.
CHEN Shimin , XIAO Xusheng , HE Wentao , LIU Chengzhen , GUO Haitao
2025, 47(5):51-61. DOI: 10.11887/j.issn.1001-2486.25030031
Abstract:To address the challenges of interfacial defects and thermal mismatch in heterogeneous optical fusion fiber splicing for integration of mid-infrared all-fiber lasers system, a multiphysics-coupled modeling and parameter co-optimization methodology was proposed. By constructing an asymmetric splicing model, the coupling mechanisms between thermal gradient distribution, material properties, and fiber dimensions was revealed. A parameter optimization methodology for splicing experiments was established through numerical simulations, achieving low-loss (0.15 dB) and high-strength (278 g) splicing of silica/fluoride/fluorotellurite fibers. Experimental results demonstrated that the optimized heterogeneous fiber splice joints achieved high-power transmission across multiple bands (>23.2 W @ 1 976 nm, >100 W @ 981 nm) and enabled a fully fiberized 2.8 μm laser system with an output power of 20.3 W. Accelerated aging tests confirmed the systems long-term stability (0.37% power fluctuation @ 10.2 W over 1 h) and validated that the splice joints met high-power damage resistance thresholds.
WANG Yingying , LI Changyou , JIANG Lingling , WU Zhongchao , LIN Changgui , DAI Shixun
2025, 47(5):62-69. DOI: 10.11887/j.issn.1001-2486.25040006
Abstract:Chalcogenide glasses, with their broad infrared transmission window and high acousto-optic figure of merit, represent an ideal medium for low-power high-performance acousto-optic modulators, potentially overcoming the diffraction efficiency and power consumption limitations of acousto-optic modulators based on conventional materials. Ge21Sb18S61 chalcogenide glass, characterized by its wide infrared transparency and high refractive index, was systematically investigated for its thermal, physical, optical, and acoustic properties. Using this glass as acousto-optic medium, a high-performance fiber-coupled acousto-optic modulator was successfully fabricated. Experimental results show that under a radio frequency driving power of 0.52 W, the modulator achieves a diffraction efficiency of 84%, a rise time of 41 ns, and an extinction ratio as high as 61 dB, exhibiting excellent low-power consumption and high-efficiency characteristics. This study provides crucial technical support for the design and development of novel acousto-optic devices, contributing to advancements in high-speed optical communication and fiber sensing applications.
GAO Chunfeng , CHENG Jiayi , CHEN Mailun , WEI Guo , LUO Hui , HOU Chengzhi , ZHU Xu , MA Haiyang , WANG Jing
2025, 47(5):70-77. DOI: 10.11887/j.issn.1001-2486.25010021
Abstract:To overcome the inherent fixed time-delay limitation of conventional gravity filtering methods in laser gyro-based inertial navigation gravity measurement systems, a real-time gravity data processing method based on neural network-approximated FIR (finite impulse response) filtering was proposed. By fitting the FIR filter through neural network implementation, the long dependency on future data was effectively reduced, thereby effectively reducing filtering delay. Experimental results show that compared with the FIR filter, the processing delay of the proposed method is reduced by 93%, and the average filtering accuracy is better than 2 mGal. This indicates that the proposed method can significantly improve the real-time performance of data processing while maintaining high accuracy, providing a solution for the real-time gravity measurement of the laser gyroscope inertial group gravity measurement system.
WEI Guo , CHEN Mailun , LUO Hui , GAO Chunfeng , CHENG Jiayi , WANG Jing , HOU Chengzhi
2025, 47(5):78-85. DOI: 10.11887/j.issn.1001-2486.25010018
Abstract:In recent years, the dynamic gravity measurement technology utilizing optical-gyro inertial navigation systems has advanced rapidly, owing to its high efficiency capabilities in acquiring Earths gravity field data. However, existing filtering methods exhibit limitations in addressing the frequency-domain aliasing of gravity signals and noise, which severely constrains the accuracy and resolution of measurements. To address these challenges, a novel joint noise reduction method integrating EMD (empirical mode decomposition) and WCF (wavenumber correlation filtering) was innovatively proposed. The raw gravity results were low-pass filtered initially. The filtered results then underwent EMD, and a threshold was applied to retain low-order intrinsic mode functions. Subsequently, correlation filtering was implemented on repeated line retention results to reconstruct signals and suppress noise. Simulation experiments demonstrate that the proposed method achieves a 44% improvement in signal-to-noise ratio and a 48% reduction in mean square error compared to traditional EMD processing. These results confirm the effectiveness of the EMD-WCF method in balancing measurement accuracy and resolution, offering a new strategy for high-frequency gravity signal denoising.
ZHANG Tao , NIE Xiaoming , ZHOU Jian , WANG Qi , XIANG Zhiyi
2025, 47(5):86-93. DOI: 10.11887/j.issn.1001-2486.25010039
Abstract:Aiming at the problem that the lever-arm velocity error between the measured speeds of 1D-LDV (one-dimensional laser Doppler velocimeter) and SINS(strapdown inertial navigation system) caused by their different installation positions in the vehicle-mounted integrated navigation systems composed of 1D-LDV and SINS, an online calibration algorithm based on Kalman filter was proposed to calibrate and compensate the mounting lever-arm. By introducing a reference point that maintains alignment between the velocity direction and the carriers direction of motion during movement, the traditional lever-arm velocity error model was improved, so that it can accurately characterize the actual relationship between the measured velocities from the 1D-LDV and SINS. The vehicle experiment results show that the calibration algorithm can effectively calibrate the arm error between 1D-LDV and SINS. By using the 1D-LDV measured velocity (after lever-arm error compensation) and the gyroscopic data from the SINS to perform dead reckoning, the horizontal positioning errors in two experimental trials are reduced from 8.80 m and 6.60 m to 7.07 m and 5.48 m respectively, demonstrating a moderate improvement in navigation and positioning accuracy.
XIE Tianpeng , WANG Chunxiao , JIANG Chenghao , JIANG Yan , ZHU Jingguo
2025, 47(5):94-102. DOI: 10.11887/j.issn.1001-2486.24120036
Abstract:Based on the application of laser active detection using the cat-eye effect, the model errors introduced in existing research due to the neglect of aperture obstruction was addressed. The laser echo efficiency under the influence of the aperture was modeled and simulated under no defocus, positive defocus, and negative defocus conditions. Numerical simulations were performed using Zemax to validate the model and simulation results. The results show that the maximum incident angle of the cat-eye effect decreases with increasing focal length and slightly increases with greater defocus. The echo efficiency decreases linearly with the increasing incident angle, and the rate of decrease accelerates as the focal length increases. When the objective lens radius and reticle diameter are both 25 mm, the focal length is 100 mm, the incident angle is 7.125°, and there is no defocus, the prediction errors in echo efficiency for the existing and proposed models are 152.653% and 1.213%, respectively. The findings enhance the existing theoretical model of laser active detection and provide valuable insights for optimizing detection system performance.
HU Tianyong , SHEN Binxian , ZENG Lei , TANG Zhigong
2025, 47(5):103-115. DOI: 10.11887/j.issn.1001-2486.24120040
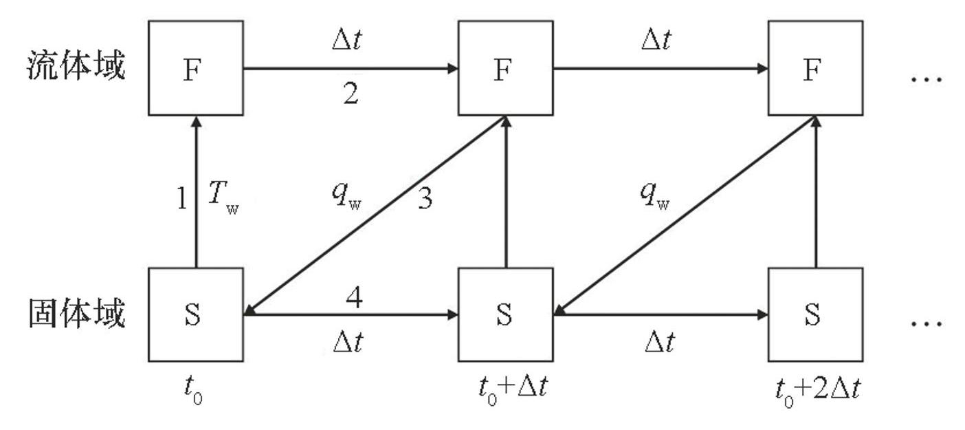
Abstract:Fluid-solid coupled heat transfer is regarded as a key challenge in the refined design of regenerative cooling thermal protection systems. From the perspective of fluid-solid heat transfer, the calculation methods for heat transfer between hot gas and the solid chamber wall were introduced, the heat transfer calculation methods of coolants within cooling channels were presented, and the special factors affecting heat transfer between the coolant and the wall were analyzed, including secondary flow, supercritical effects, and cracking characteristics, etc. For regenerative cooling systems, three fluid-solid coupled heat transfer calculation methods were proposed: the whole-domain solution method, the partition solution method based on correlation criteria, and the partition solution method based on continuity boundary conditions. In the field of unsteady heat transfer, the research progress of fluid-solid coupled unsteady calculation methods was reviewed, and the possible future development directions of this field were preliminarily discussed.
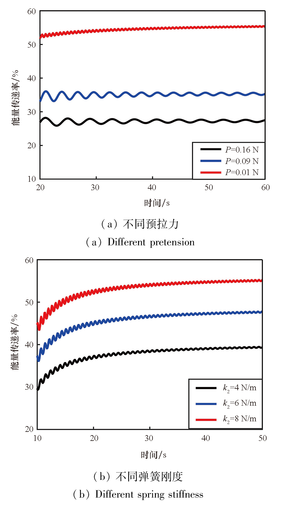
DAI Huliang , XING Haoran , HE Yixiang , LU Zi , ZHANG Lanbin , WANG Lin
2025, 47(5):116-124. DOI: 10.11887/j.issn.1001-2486.23070019
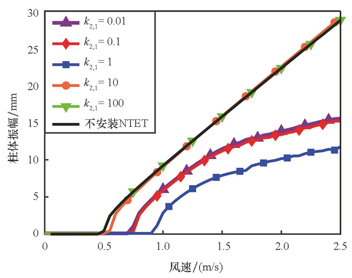
Abstract:A vibration control strategy based on NTET (nonlinear targeted energy transfer) for suppressing galloping of the cylinder was proposed. The effect of NTET on controlling galloping responses was explored from both theoretical and experimental aspects. The fluid force was described based on the quasi-steady theory. The dynamic theoretical model was constructed based on the energy method for the coupling of cylinder galloping and NTET. The theoretical model was validated by comparing the predicted results with experiments. The linear dynamic analysis shows that increasing the spring pretension can increase the coupled damping ratio and frequency. As a result, the onset wind speed of galloping for the square cylinder is decreased. The nonlinear dynamics analysis reveals that the NTET′s linear and nonlinear stiffness have an effect on the vibration responses. There is an optimal value of linear stiffness where the suppressing effect is the best. The larger the nonlinear stiffness is, the better the control effect of the NTET. Whats more, the smaller the spring pretension of the NTET, the larger the spring stiffness, and the lower the amplitude of the cylinder. This study can provide theoretical support and experimental data for effectively designing galloping control strategies in engineering applications.
MA Shuaichao , WU Zeping , YANG Jiawei , GAO Jingwei
2025, 47(5):125-133. DOI: 10.11887/j.issn.1001-2486.23020012
Abstract:The surrogate model-based optimization method provides an effective technical approach for the application of high-precision simulation models in optimal design due to its efficient search capability. To address the problem of time-consuming black-box constraint processing for optimization problems, a multi-constraint adaptive sampling method based on improved feasible rules was proposed, an elite archive-driven inexact search method and an ε-constraint-preserving pseudo-feasible domain construction method were established, and the algorithms ability to explore the boundaries of the feasible domain was enhanced by dynamically scaling the feasible domain to accept high-quality nonfeasible samples during the iterative process, which improved the surrogate model-based optimization search ability. Simulation results of the Congress on Evolutionary Computation constraint optimization standard function indicate that the ε- onstraint maintenance optimization method is effective in solving the multi-constraint surrogate model optimization problem compared with the existing methods. The results for the solid rocket motor rear wing pillar charge design show that the algorithm has the potential to be applied to complex engineering problems.
ZHANG Jin , WANG Kemao , YAN Bing , WANG Liyao
2025, 47(5):134-143. DOI: 10.11887/j.issn.1001-2486.23030050
Abstract:For the high-precision rendezvous trajectory optimization problem of a single chase satellite serving multiple target satellites on orbit, a three-step serial optimization method based on the multi-round iterative correction was proposed. The rendezvous sequence and approximate impulse solutions based on the analytical J2 perturbation model were obtained by using the differential evolution algorithm, and the high-precision solution of the first rendezvous maneuvering impulses was obtained by using the local optimization of the sequential quadratic programming algorithm. Moreover, a multi-round iterative correction model was constructed to update the subsequent target satellites′ states and maneuvering impulses to reduce the influence of the error diffusion between different models. Simulation results show that the proposed method can stably obtain the high-precision maneuvering parameters with approximate least cost in a few iterations.
LIN Yujing , LIU Weidong , WEI Feng , YANG Rui , YU Jiangfei
2025, 47(5):144-156. DOI: 10.11887/j.issn.1001-2486.24090015
Abstract:Shock wave/boundary layer interaction results in significant aerodynamic heating on the surface of the aircraft. The original flow field structure is also affected by the increase in wall temperature. To investigate the flow field characteristics of shock wave/boundary layer interaction under CHT (conjugate heat transfer) conditions, numerical simulations were performed. The flow field structure, wall parameters and solid domain temperature distribution were analyzed under different wall materials, aerodynamic heating time and total temperature. The numerical results indicate that: the length of the separation bubble obtained using the CHT method is between the results for isothermal and adiabatic walls. As the thermal diffusivity of the wall material decreases and the aerodynamic heating time increases, the length of the separation bubble increases. At the same time, the wall temperature peak increases, and the heat flux peak decreases. For the same material and heating time, an increase in total temperature reduces the length of the separation bubble. This suggests that the change in Reynolds number caused by the total temperature dominates the separation characteristics. Additionally, for the solid domain at the corresponding position of the reattachment zone downstream of the interaction, a significant temperature rise is observed. The high-temperature zone inside the bakelite wall diffuses very slowly and exhibits a flaky distribution.
DONG Changlin , ZHOU Shiming , LI Daokui
2025, 47(5):157-164. DOI: 10.11887/j.issn.1001-2486.20250516
Abstract:Aiming at the problems of low accuracy and large shape error of existing models for single-course resistance torque of spacesuit soft joints, an improved B-W(Bouc-Wen) mathematical model was established. By analyzing the hysteresis curve characteristics of single-course resistance torque of spacesuit soft joints, the B-W hysteresis model was introduced and improved to eliminate the redundancy and symmetry of the model, which was used to characterize single-course resistance torque of soft joints mathematically. The individual genetic process of multi-island genetic algorithm was operated by using the probability thought of simulated annealing algorithm to identify the parameters of improved B-W model with high accuracy and efficiency. Based on the verification of experiments and simulations of different soft joints of spacesuit, the improved B-W model compared with the J-A(Jiles-Atherton) model is more suitable for the mathematical characterization of single-course resistance torque of spacesuit soft joints. The variance of resistance torque of improved B-W model is two orders of magnitude lower than that of J-A model. It shows that the mathematical model has high accuracy when applied to single-course resistance torque of spacesuit soft joints, and has strong applicability to different soft joints of spacesuit.
ZHOU Danfeng , ZHU Pengxiang , TAN Yiqiu , WANG Lianchun , LI Jie , CHEN Qiang
2025, 47(5):165-174. DOI: 10.11887/j.issn.1001-2486.23080020
Abstract:Due to the low damping characteristic of the superconducting EDS (electrodynamic suspension) system which may cause suspension instability problem, a six degree-of-freedom dynamic model for the high speed maglev sled system was established, and it was found that the suspension damping would become negative when the traveling speed exceeds 23.6 m/s, resulting in suspension instability to the maglev sled. The vertical damping ratio of the EDS system was calculated using the least square fitting method, and the relationship between the vertical damping and the speed was obtained. To stabilize the suspension system, a distributed DVA (dynamic vibration absorbers) scheme was proposed, and the effects of the DVA parameters on the suspension stability were investigated. To minimize the influence of the DVA scheme on the acceleration performance of the maglev sled, the feasibility of applying low mass (≤1 kg) DVAs to the maglev sled was discussed. Further, the vibration suppression effect of this scheme was investigated considering the vertical misalignments of guideway girders. Results shows that the proposed scheme can significantly increase the damping and stability of the suspension system, and it also well suppresses the vibration of the sled-body caused by misalignments of the ground suspension coils. This scheme provides a useful reference for the design of the suspension system of the maglev sled system, the vacuum tube high speed maglev train, etc.
PAN Xiaoyi , FENG Xuewen , ZHOU Li , CHENG Yang , CHEN Jiyuan , MENG Xiaoming
2025, 47(5):175-185. DOI: 10.11887/j.issn.1001-2486.23050010
Abstract:In order to generate multiple false targets and interfere the advanced chirp rate agile LFM( linear frequency modulation) radars, a group false-target jamming method with stable position, based on intermittent sampling repeater jamming and bidirectional shift-frequency modulation, was proposed. The intermittent sampling frequency and frequency shift modulation were obtained by mixing the radar signal with two time-delay signals at the same time. The interference signal was obtained by intermittent sampling and repeating processing and bidirectional frequency shift modulation processing in sequence. Theoretical analysis and simulation experiments show that the position of the false target group generated by this jamming method is constant for advanced LFM radar systems such as frequency modulation slope agility. The proposed method is conducive to forming good interference effects during pulse accumulation. Meanwhile, compared with the intermittent sampling repeater jamming or the shift-frequency jamming, the range of group false targets via the proposed method is more wider, which is valuable in practical engineering applications.
ZHAO Dongxu , ZHANG Xin , PAN Yan , DUAN Jiashun
2025, 47(5):186-196. DOI: 10.11887/j.issn.1001-2486.23070017
Abstract:In view of the insufficient mining of implicit associative relationships and the problem of neglecting the temporal evolution factor, a domain-specific social event detection method via temporal evolution feature mining was proposed. The data was sliced by time and an entity interaction graph was constructed by considering the impact of duplicate event records from different sources on detection, in order to reduce the influence of database errors. Multi-relational graph convolutional network was improved, and the graph structure information of historical evolution sequence was updated by interaction relationships. Attention mechanism was used to learn core features to obtain global embedding of sequence units. Implicit association was mined sufficiently. Based on recurrent neural network, temporal evolution features were extracted to obtain the global embedding and the temporal evolution factor was mined effectively. Experiment results show that the proposed method can be applied to domain-specific social event detection task, which is better than existing methods.
2025, 47(5):197-205. DOI: 10.11887/j.issn.1001-2486.23050020
Abstract:Aiming at the issues of low utilization of interaction data or the need for additional task data in traditional agent exploration work, an online-learnable exploration latent variable that characterizes the current task features to assist the policy network in behavioral decision-making was innovatively introduced. There was no need for additional multi-task data or additional environmental interaction steps in the current task. The exploring latent variable was updated in the learnable environment model, and the environment model underwent supervised updates based on the intelligent agent and real environment interaction data. The exploration in advance in the simulated environment model was assisted by the exploring latent variable, and thus the performance of agents in the real environment was improved. The performance in typical continuous control tasks was raised by about 30% in the experiments, which was of guiding significance for the single-task exploration and meta reinforcement learning research.
WU Zhenhua , QIAN Jun , ZHANG Lei , CHEN Lili , ZHU Ning , YANG Lixia
2025, 47(5):206-215. DOI: 10.11887/j.issn.1001-2486.23060016
Abstract:In the context of dynamic countermeasures between radar and active jammer, the working frequency of radar and adversarial jammer were modeled as the combat action space based on the multi-arm bandit model in online learning theory. By exploring the uncertainty of the jamming environment state through multiple-round pulse transmission, a frequency channel jamming recognizer based on a convolutional neural network was constructed to obtain the posterior probability estimation of the belief state of each frequency channel. Then the Thompson sampling algorithm efficiently solved the built multi-arm bandit model, achieving a balance between exploration and exploitation. Simulation results show that compared with random frequency agility and deep reinforcement learning algorithms, the method had higher convergence performance and was more adaptable to dynamic fast-changing jamming environments, which can give full potential to the antagonism advantage of radar active waveform transmission.
LI Xinhang , ZHAI Xiaofei , LIU Hua , LIU Jinli
2025, 47(5):216-224. DOI: 10.11887/j.issn.1001-2486.23080006
Abstract:In order to establish a more accurate dynamic launch calculation model of the electromagnetic rail launcher, the equivalent frequency was introduced according to the current diffusion equation to simulate the change of skinning depth during the armature launching process, so as to calculate the motion process of the armature equivalently by using the results of the static simulation of the armature. A parameter extraction method was proposed, in which the corresponding relationship between electrical parameters and frequency was extracted by finite element simulation, and then the corresponding equivalent frequency was obtained by calculating the skin depth of the current in the launch process by the micro-element method. The equivalent frequency was combined with the above finite element simulation-results to calculate the dynamic electrical parameters of the system.The method is used in the whole system simulation, and the error between simulation and experiment is within 1%, which proves the effectiveness of the method.
ZHOU Cheng , XU Da , CAO Zhendi
2025, 47(5):225-235. DOI: 10.11887/j.issn.1001-2486.23050009
Abstract:To make full use of maintainability multi-source prior data and improve the fusion accuracy of prior distributions to ensure the accuracy of maintainability verification results, a prior distribution determination method for maintainability multi-source conflict evidence data fusion was proposed to solve the problem of conflicts in multi-source data. Fully mining and extracting the feature information of multi-source data, constructing evidence mass function based on sample size, distribution characteristics and data importance respectively, comprehensively considering the correlation between evidence and the uncertainty of evidence itself, introducing angle cosine to measure the degree of conflict between evidence. By combining the support degree and uncertainty of the evidence, the multi-source conflict evidence data fusion model was established to achieve the effective fusion of multi-source data and determine the comprehensive prior distribution. Combined with the analysis of two cases, the proposed method is proved to be effective and feasible.
2025, 47(5):236-245. DOI: 10.11887/j.issn.1001-2486.23090004
Abstract:The dynamic characteristics of the helicopter main reducer bevel gear have a direct influence on the operating performance of the helicopter transmission system. Taking into account factors such as transmission error and backlash, a nonlinear damage dynamic model of a bevel gear system with bending-torsion-axial coupling was established by using the lumped-parameter method. In order to obtain the key parameter in the damage dynamics model, a slicing method for calculating the time-varying meshing stiffness of spur bevel gear pair was proposed, which broke through the limitations of traditional potential energy method that can only be applied to cylindrical gear pair and can achieve rapid evaluation of time-varying meshing stiffness under different states. By comparing the model simulation and experimental results, it is shown that the established model can effectively simulate the dynamic response characteristics of the bevel gear system under normal and fault conditions, reveal the system fault response mechanism and fault mechanism, and provide theoretical basis and data support for the development of a helicopter transmission system health and usage monitoring system.
REN Ruixuan , LI Tiejun , JIN Changsong , CHEN Xinhai
2025, 47(5):246-253. DOI: 10.11887/j.issn.1001-2486.23090016
Abstract:Building upon the traditional PINN(physics-informed neural network), two improved methods for solving partial differential equations, EmPINN(expanding physics-informed neural network with modified multi-layer perceptron) and DL-PINN(diverse loss function physics-informed neural network), were presented by incorporating dimension expansion and diverse physics loss functions. EmPINN innovatively introduced a neural network structure with residual connections and a dimension-expanding mechanism. DL-PINN, based on EmPINN, combined the dimension-expanding mechanism with gradient enhancement and variational physical information to incorporate multiple physical information more effectively and improved the fitting capability of the neural network. Experimental results demonstrate that the proposed methods outperform traditional PINN method, improve solution accuracy by up to two orders of magnitude on different partial differential equation cases.
ZHANG Chuang , LI Yantong , YAN Qian , GENG Jingyi , LIANG Jingrui
2025, 47(5):254-262. DOI: 10.11887/j.issn.1001-2486.23110012
Abstract:Aiming at the problem that the supply of emergency material distribution depots might be disrupted after a disaster, the post-disaster emergency material supply considering the disruption risk of distribution depots was studied. In pursuit of globally optimal solutions, decisions including location selection of distribution depots, the assignments of material demands to distribution depots, and the supply sequencing at each distribution depot were integrated into a combinatorial scheduling-location problem. A scenario-based mixed-integer linear programming model was formulated with the objective function of minimizing the expected makespan of the supply task. A matheuristic algorithm based on predetermined ordering and kernel search was proposed to solve the problem efficiently. A numerical experiment is conducted and the result shows that the proposed algorithm is significantly effective and can provide precise, quantitative, and globally optimal scheduling plans for a task with up to 200 disaster-affected areas and 5 distribution depots within reasonable computation time.




