ZHANG Hao , SHEN Yang , HUANG Wei , ZHAO Zhentao , AN Kai , LIU Shuangxi
2026, 48(1):1-15. DOI: 10.11887/j.issn.1001-2486.25040028
Abstract:Intelligent flow field modeling methods, by integrating the strengths of deep learning in feature extraction and dynamic response prediction with architectural innovation potential in MDO (multidisciplinary design optimization), have emerged as research hotspot for achieving efficient modeling of complex flow systems and enhancing high-dimensional performance. The state-of-the-art in intelligent flow field modeling was systematically reviewed from two perspectives: data-driven approaches and physics-constrained methodologies. Three critical challenges, including acquisition of high-fidelity data, representation of complex boundary geometries, and establishment of robust physical constraints, were identified. Furthermore, a joint modeling framework that integrated aerodynamics and multidisciplinary coupling effects was expected to revolutionize the next generation of aircraft MDO paradigm through multi-scale physical information embedding and adaptive optimization mechanisms. A new idea for the deep integration of data knowledge and physical mechanisms was provided, aiming to inspire interdisciplinary innovations for intelligent flow field modeling in aerospace and other fields.
HE Zizhou , TANG Weishao , WANG Yan , YANG Yunjia , ZHANG Yufei
2026, 48(1):16-27. DOI: 10.11887/j.issn.1001-2486.24120020
Abstract:To address the challenge of rapid flow field prediction for supercritical airfoils, a hybrid deep learning model, termed TransCNN-FoilNet, based on two main approaches in current deep learning flow field prediction models—convolutional neural networks and Transformers was proposed. The model was capable of predicting the flow fields of supercritical airfoils with varying thicknesses at different angles of attack, achieving up to a 79.5% reduction in the mean absolute error compared to the baseline model. Additionally, a new combined loss function for training the flow field prediction model was introduced, referred to as the weighted L1SSIM loss function. The results demonstrate that this loss function can improve the prediction of lift and drag coefficients, with the relative error in drag coefficient reduced by up to 17.8%. The proposed model achieves improved prediction accuracy and generalization performance while reducing complexity, providing a promising tool for fast and reliable flow field prediction of supercritical airfoils.
YANG Kongqiang , XIONG Bing , FAN Xiaoqiang , WANG Yi , TANG Xiao
2026, 48(1):28-39. DOI: 10.11887/j.issn.1001-2486.25010028
Abstract:To enhance the design efficiency of inward-turning inlet and enable rapid prediction of internal contraction basic flowfield, a parametric design of internal contraction basic flowfield was implemented using quasi-uniform B-spline methods, and a flow field prediction model based on deep learning residual neural networkarchitecture was proposed. The predicted flowfields were quantitatively evaluated using image quality assessment methods including PSNR (peak signal-to-noise ratio) and SSIM (structural similarity index), from which key flow field characteristics such as wall property distributions and shock wave shape were extracted to achieve the goal of rapidly obtaining flow field contours and characteristic parameter distributions based on basic flowfield geometric parameters. Research result shows that the constructed flow field rapid prediction model is characterized by high accuracy, with an overall average PSNR of 42.51 dB and an average SSIM of 0.997 3. Key characteristics and parameter distributions are effectively extracted from the prediction results, providing strong support for the rapid design and optimization of the internal contraction basic flowfield.
TIAN Lei , WU Zeping , LI Guosheng , ZHANG Weihua , LI Yiqing
2026, 48(1):40-57. DOI: 10.11887/j.issn.1001-2486.24100029
Abstract:Taking low-cost sounding rockets as the research object, a multi-disciplinary simulation model for sounding rockets was established on the basis of various disciplinary simulation modules, enabling the simulation of rocket flight performance with multi-disciplinary coupling. An uncertainty propagation analysis method based on dynamic expansion sampling and surrogate models was proposed to address the uncertainty propagation issues related to the flight performance of the sounding rocket. An uncertainty deviation model for rocket flight performance was established on the basis of physical analysis. The deviation parameters were dynamically sampled using the bounded augmented Latin hypercube design method, and deviation samples that satisfied the specified distribution were obtained through the inverse cumulative distribution transformation method. An improved expanded radial basis function model was employed for the approximate modeling of flight performance characteristic parameters, and an approximate prediction model for the flight performance characteristic parameters of sounding rockets was established by utilizing a minimal number of sample points. The flight performance characteristic parameters of rocket obtained from the proposed method were compared with those from the Monte Carlo simulation method. The results validate that the proposed method can achieve rapid and accurate statistical prediction of flight performance parameters by utilizing a minimal number of simulation samples under the specified distribution deviation model.
QIN Wenjing , ZHANG Jiaqi , CHEN Houling , CHEN Lanwei
2026, 48(1):58-68. DOI: 10.11887/j.issn.1001-2486.24120002
Abstract:In order to study the liquid oxygen chill down process of the pipeline-injector component located downstream of the main valve of a liquid rocket engine, it was simplified to an exit-contracted pipe and two groups of experiments were conducted with high mass flux (3 750 kg.m-2.s-1) and low mass flux (1 800 kg.m-2.s-1), respectively. Based on the experimental data, flow pattern development diagrams of the fluid in the pipe were plotted and analyzed during the chill down process. Moreover, the heat transfer coefficients at Leidenfrost points (hLFP) were fitted. The detailed conclusions are presented as follows. There are three liquid rewetting patterns in the pipe during the chill down process including Ⅰ, Ⅱ, and Ⅲ, which are controlled by the quenching fronts at the inlet and the outlet, the quenching fronts in the middle, and the high pressure filling-in of the liquid, respectively. While the rewetting patterns at the front 1/4 of the pipe are always I for the experimental conditions, the rewetting patterns at the other sections of the pipe change with increasing pressure. For the middle and the rear sections, when the pressure is lower than 1.181 MPa, the rewetting patterns are Ⅰ or Ⅱ. And when the pressure is equal to or higher than 1.181 MPa, the rewetting patterns of these sections transform into I at low mass flux and Ⅲ at high mass flux. With an error of less than 34.2%,certain semi empirical formula is employed to predict the hLFP for 4 measurement points at the 0.15 m and 0.30 m cross-sections.
YU Xinying , KANG Ying , LUO Zhenbing , DENG Xiong , CHENG Pan , WANG Yangxiao
2026, 48(1):69-77. DOI: 10.11887/j.issn.1001-2486.24090018
Abstract:In order to improve the heat dissipation capacity of the electronic equipment system of the near space vehicle and solve the problem of high heat flux of integrated and miniaturized electronic devices, the heat transfer performance of the dual synthetic jets actuator, micron particle two-phase flow and their combination was studied. The mechanism of enhancing heat transfer capacity with dual synthetic jet actuator was studied and analyzed. The flow process of the dual synthetic jets actuator and Cu-water micron particle fluid in the tube was modeled, and the influence of five particle concentrations on the enhanced heat transfer capacity of the fluid was simulated by the single Euler model. Meanwhile, Cu-water, CuO-water and Al2O3-water micron particle fluids were simulated. The results show that the heat transfer capacity of fluid can be enhanced by the dual synthetic jets. The heat transfer capacity in-creases with the increase of micron particle concentration. The two-phase flow heat transfer capacity of different metal particles varies with the thermal conductivity of metal particles. When the micron particle fluid is a copper particle with a particle concentration of 8%, the chip temperature is reduced from 328.225 K to 303.816 K after the synthetic double-jet actuator is turned on.
CHEN Shunyi , XU Xiaoping , LIU Shuangxi , HUANG Wei , YAN Binbin
2026, 48(1):78-87. DOI: 10.11887/j.issn.1001-2486.24040019
Abstract:Starting from the cooperative mission requirements of hypersonic gliding vehicles, a cooperative trajectory planning method for cluster re-entry was proposed to address the trajectory planning problem in complex re-entry environments. The re-entry dynamics of a cluster of vehicles was modelled, and a longitudinal trajectory control scheme was designed on the basis of the control volume and re-entry corridor constraints. This approach aimed to mitigate the oscillation problem during trajectory calculation and improve the feasibility of trajectory solution. On this basis, a trajectory planning scheme under two forms of cooperation was proposed, which completed the decision of cooperative time according to the mission requirements and the gliding capability analysis results of the aircraft cluster, and utilized the hp adaptive pseudo-spectral algorithm to plan the cooperative trajectory that satisfies the no-fly zone and time constraints. Simulation results show that the proposed method can plan 3D trajectories that satisfy the specified constraints and coordinated time under different mission scenarios. This has significant reference value for the cooperative planning research of hypersonic glider vehicles.
XIAO Qisong , CHEN Xinhai , CHEN Weifeng , LIU Yang , GAO Shijiexi , LI Kaiting , PANG Yufei , LIU Jie
2026, 48(1):88-98. DOI: 10.11887/j.issn.1001-2486.25010002
Abstract:Computer-aided aerodynamic design is crucial for aircraft geometry optimization. To further improve the efficiency of aerodynamic characteristic modeling, an aircraft-oriented intelligent aerodynamic coefficient prediction method, AeroPointNet, was proposed. A three-dimensional point cloud representation of geometric models was employed as input, and a neural network architecture was constructed to efficiently extract both local and global geometric features. To capture variations in flow conditions, physical information was fused with geometric features, and two weighted attention mechanisms wereintroduced to dynamically adjust the weights, by which the problem of weight imbalance was effectively addressed. Experimental results show that AeroPointNet achieves a computational efficiency improvement of over three orders of magnitude in aerodynamic coefficient prediction compared with traditional numerical methods. The mean relative errors of lift and drag coefficients are kept below 5%.
HAN Haodong , WANG Junqi , MA Chenyuhao , ZHANG Bo , XU Xusheng , YUAN Qiufan , LIU Tianqing , ZHOU Daming
2026, 48(1):99-112. DOI: 10.11887/j.issn.1001-2486.24120041
Abstract:Traditional methods often exhibit low efficiency in addressing multi-objective and multi-constraint optimization problems, failing to meet the requirements of dynamic and complex environments. In this case, a cooperative co-evolution algorithm was proposed based on cooperative co-evolution mechanisms, zebra optimization algorithms, and differential game theory. A phased optimization strategy was adopted to dynamically and adaptively optimize trajectories and strategies, while a multi-population co-evolution mechanism was introduced to enhance global exploration capability and local convergence performance. Differential game theory was integrated to improve the stability and reliability of game strategies. Simulation results demonstrate that this method significantly improves mission completion efficiency under multi-constraint conditions. It effectively balances dynamic strategy adjustments for both pursuers and evaders, providing an effective solution for satellite pursuit-evasion games in space-based target reconnaissance and surveillance missions.
ZHANG Xu , YAN Binbin , LIU Shuangxi , YAN Jie , HUANG Wei , MENG Zhongjie
2026, 48(1):113-124. DOI: 10.11887/j.issn.1001-2486.25020009
Abstract:The combined engine powered wide-speed range morphing aircraft demonstrates horizontal takeoff capability from conventional civil airfields, exhibiting adaptability to diverse terrain and application scenarios, and can achieve flight speeds exceeding 5Ma. The integration of morphing aerodynamic configurations into this aircraft architecture significantly enhances its operational speed range and spatial coverage, thereby optimizing flight performance across extended speed regimes and expansive flight envelopes. An aircraft model with variable-sweep wing configuration was established including the shape structure, aerodynamic model and power model, and the coupling characteristics in the model were analyzed. The trajectory in the take-off and climbing phase was segmentally optimised on the basis of the Gaussian pseudo-spectral method. Comparative analysis between morphing-wing configurations and fixed-geometry counterparts revealed critical performance advantages. Simulation results demonstrate that the proposed wide-speed range morphing aircraft model exhibits dual-coupling characteristics involving propulsion-flight interaction and morphodynamic coupling. It also proves that the sweep angle changing can effectively improve the climbing efficiency and fuel saving performance in the take-off and climbing phase.
NAN Wenjiang , YAN Xunliang , HUO Qinghua
2026, 48(1):125-138. DOI: 10.11887/j.issn.1001-2486.25010034
Abstract:For the problem of trajectory planning for multi-vehicle collaborative formation in the gliding mid-flight phase, a two-phase cooperative formation trajectory planning method based on the "coordinated assembly and formation maintenance" strategy was proposed. In the coordinated assembly segment, a trajectory planning method based on a coordination-execution dual-layer framework was designed. The coordination layer included three modules: spatiotemporal capability boundary forecasting, rendezvous point information calculation and distribution, and adaptive correction of rendezvous point information, to quickly determine the rendezvous point information while considering the vehicles′ control capabilities. The execution layer then designed a trajectory planning method considering space-time full state constraints to achieve high-precision assembly of multiple vehicles, providing a favorable initial situation for formation maintaining. In the formation maintenance segment, using virtual altitude and heading angle as coordination information, a trajectory planning method based on fixed-time consistency was designed to realize long-range formation maintenance. Simulation results show that the proposed trajectory planning method demonstrates excellent high-precision assembly capability, long-range formation maintaining ability, and adaptability to multiple tasks.
YI Zijun , JI Chunxiu , XIE Dan , TANG Shuo
2026, 48(1):139-149. DOI: 10.11887/j.issn.1001-2486.25010025
Abstract:To address the contradiction between efficiency and accuracy that exists among different computational methods for high-speed aerodynamic/thermal loads, a typical TPS (thermal protection system) panel of a high-speed vehicle was focused, and aerodynamic and aerothermal surrogate models based on the Kriging method were developed, which achieved a four-orders-of-magnitude improvement in computational efficiency. Based on these surrogate models, a computational framework for the aerothermoelastic analysis of the TPS panel was established using the finite element method and a self-developed heat conduction program. The aerothermoelastic behavior of the TPS panel was then analyzed within this framework. This research will provide an important theoretical foundation for the rapid and accurate prediction of aerodynamic and thermal loads, the design of thermal protection systems, and the flight safety assessment of high-speed vehicles.
XUE Haoliang , ZHAO Yu , LIU Enbo , ZHANG Dong
2026, 48(1):150-159. DOI: 10.11887/j.issn.1001-2486.24120039
Abstract:Addressing the challenges of incompletely distributed formation vector determination and uncertain task completion times in multi-agent systems performing dynamic multi-target encirclement tasks, a specified-time-area surrounding formation control algorithm based on the center position estimator and surrounding radius estimator was proposed. The central position estimator designed using the dynamic average consensus algorithm enabled each agent to obtain the geometric center of multiple dynamic target positions. The surrounding radius estimator, designed using a dynamic maximum consensus algorithm, enabled each agent to estimate formation vector with optimal encirclement radius in real-time through a distributed approach. Integrating the concept of "holistic planning and segmented control",the study considered both spatial and temporal dimensions, achieving specified-time-area surrounding formation under the framework. The ability to achieve zero steady-state formation error within a specified time was proven using algebraic graph theory and Lyapunov function theory. Simulation experiments validate the effectiveness and accuracy of the algorithm.
LI Jichao , CHEN Yan , NIAN Chenchen , CAI Jinsheng
2026, 48(1):160-174. DOI: 10.11887/j.issn.1001-2486.25030014
Abstract:Data-driven generalizable aerodynamic analysis models demonstrate strong capability in performing fast aerodynamic analyses under arbitrary aerodynamic conditions, which provides an emerging technology for intelligent aircraft design optimization. However, training generalizable analysis models for complex aerodynamic shapes requires a large amount of aerodynamic data due to the curse of dimensionality issue, which impedes practical applications of this approach in the industry. Two tasks related to data-driven rapid optimization of airfoil and wing shapes were focused. By providing a proper representation of the aerodynamic shape design space, it effectively avoided the adverse effects of the “curse of dimensionality”. Demonstrations with approximately 100 000-scale computational fluid dynamics training datasets were provided, which enabled fast aerodynamic shape optimization of airfoils and wings.
HE Jin′gang , ZHANG Fan , MENG Zhongjie , ZHOU Ying
2026, 48(1):175-182. DOI: 10.11887/j.issn.1001-2486.25010029
Abstract:As regional security issues have become increasingly severe, the strike capability of individual missiles is gradually failing to meet operational demands, necessitating improved strike efficiency through multi-missile coordination. This paper investigated the control problem of coordinated multi-missile fencing and attack against unknown maneuvering targets and explored the design of the overload ratio, which represents the relationship between missile maneuverability and target maneuverability. Inspired by the self-organizing behavior of biological swarms, this study designed a multi-missile cooperative fencing algorithm using sliding mode control. The algorithm included an attraction term to the target, a repulsion term between adjacent missiles, and a relative velocity convergence term between missiles and the target. The analysis shows that, under this algorithm, the upper bound of the overload ratio can be calculated based on the initial conditions and control parameters, providing technical support for missile formations with a low overload ratio. Numerical simulation results show that the proposed algorithm can effectively achieve multi-missile fencing and attack against unknown maneuvering targets with a low overload ratio. It maintains a safe distance during the fencing phase and rapidly reduces inter-missile spacing during the attack phase by removing the repulsion term to enable coordinated engagement.
DENG Zexiao , LI Ao , LIU Luhua , OU Chao
2026, 48(1):183-195. DOI: 10.11887/j.issn.1001-2486.25010026
Abstract:Simulating the extreme boundaries of the entry vehicle using trajectory optimization methods is an effective simulation method before the range test. The DC (difference-of-convex) programming method was employed to study the extreme performance of the testing entry vehicle in terms of peak heat flux. The DC decomposition method was utilized to handle constraints such as heat flux, dynamic pressure, and normal load, and this method was extended to Max-Max type cost functions, such as peak heat flux, peak dynamic pressure, and peak normal load. The Big-M method was adopted to transform the primal problem into a mixed-integer nonlinear programming sub-problem, combining concave-convex decomposition with penalty function technique to address the oscillation and non-convergence issues for the cost function during the iteration process. An improved successive DC programming algorithm based on the DC relaxation model was proposed. Numerical experiments show that the DC relaxation model-based approach has higher approximation accuracy than traditional direct linearization methods, and the proposed algorithm demonstrates high numerical stability, robustness, and optimality of the cost function.
LI Jiaxuan , SHI Futian , SHAN Shangqiu , YANG Xuerong
2026, 48(1):196-204. DOI: 10.11887/j.issn.1001-2486.24030011
Abstract:Based on the offline mission planning model and results for the application of dynamic scenario algorithms, an improved hierarchical distributed mission planning framework was proposed to give the heterogeneous multi-UAV (unmanned aerial vehicle) collaborative mapping system the decision-making capability to face the dynamic environment. Among these, the mission valuation method based on pre-planned trajectory took the global cost into account, and the valuation results were updated synchronously by the local auction algorithm with restricted communication, avoiding the mission conflict and local optimum. The joint correction method of trajectory based on rolling time-domain predictive control satisfied the requirements of dynamic mapping and obstacle avoidance. Through numerical simulation in a variety of circumstances, the applicability and dependability of the planning algorithm were confirmed.
LI Yong , YANG Zhao , TIAN Linfeng , LIU Luhua
2026, 48(1):205-216. DOI: 10.11887/j.issn.1001-2486.25010020
Abstract:The non-constant aerodynamic effects on the flight performance of morphing aircraft remain unclear. The non-constant aerodynamic characteristics during morphing were investigated, and their impact on flight performance was quantitatively analyzed. A dynamic model incorporating non-constant aerodynamic effects was established, with morphing rate and flight velocity as key parameters. A qualitative comparison was conducted between the flight performance under non-constant and quasi-constant aerodynamic models. Two typical flight scenarios were designed, and the pseudo-spectral method was employed to quantify the influence of non-constant aerodynamic effects on mission performance in maximum range operations and no-fly zone avoidance. The results indicate that the non-constant aerodynamic model introduces deviations in flight state accuracy compared to the quasi-steady model, which correlate with morphing rate and flight velocity. These deviations predominantly occur in low-altitude, low-speed (below Mach 3) flight regimes. During no-fly zone avoidance, where morphing is more pronounced, a trajectory deviation of approximately 1 800 m accumulates within 250 s. In contrast, maximum range operations exhibit a smaller deviation of around 350 m over 1 000 s of flight.
GU Yiyang , DONG Hao , JIANG Yinglei , XIA Tianyu
2026, 48(1):217-226. DOI: 10.11887/j.issn.1001-2486.25010009
Abstract:To enable efficient prediction of transition heat flux fields under diverse freestream conditions, a generative transition heat flux prediction model based on variational autoencoder architecture was developed. The hypersonic cone configuration under different freestream conditions was selected as the research object, with numerical simulation method being employed to generate the transition heat flux dataset. A variational autoencoder model was constructed and was trained and validated on the transition heat flux dataset. The analysis of results demonstrates that the latent variables of the heat flux field can be effectively extracted by the variational autoencoder model, and the heat flux structure of the transition process induced by leeward-side streamwise vortices was accurately reconstructed. A fully connected neural network model was established to construct a nonlinear mapping relationship between the freestream conditions and the latent variables of the heat flux field. By connecting the fully connected neural network model with the decoder part of the variational autoencoder model, a hypersonic cone transition heat flux prediction model was developed. The prediction results indicate that this model effectively learns the characteristics of heat flux distribution under complex transition mechanisms, achieves high prediction accuracy for heat flux under various freestream conditions, with errors not exceeding 0.024.
QIAN Menghao , CHEN Wei , XU Xiaoping , SUN Ruisheng
2026, 48(1):227-237. DOI: 10.11887/j.issn.1001-2486.25030013
Abstract:To mitigate the degradation of tracking accuracy induced by numerous false association ghost points, a dual-level ghost point elimination and target tracking algorithm integrating angular measurement with target motion characteristics was introduced. The proposed algorithm employed a cooperative localization strategy that prioritizes association before estimation. By establishing a mapping relationship between angular measurement noise and localization error, a field-of-view grid map and an energy accumulation matrix were constructed. Through a detailed analysis of the spatial geometric distribution characteristics of real targets and false association ghost points within the field of view, a novel elimination criterion based on Hough transform theory was developed, facilitating the primary coarse elimination of ghost points. Additionally, by examining the distribution characteristics of target localization ambiguity regions and motion features, a predictive tracking gate was constructed using motion parameter identification, enabling the secondary fine elimination of ghost points at the kinematic level. Experimental results demonstrate that the proposed algorithm significantly enhances target tracking accuracy, achieving a ghost point elimination rate of 91.734%, thereby effectively addressing the false association problem in multi-target tracking.
YOU Yongan , SUN Ruisheng , LIU Xuanting , CHEN Wei
2026, 48(1):238-246. DOI: 10.11887/j.issn.1001-2486.25030012
Abstract:Aiming at the problem of maneuverability limitation in the process of penetration and interception, a game trajectory optimization strategy solution based on adaptive dynamic programming was proposed under the condition of limited maneuverability. By establishing an affine nonlinear differential game model and considering the limited maneuverability, the performance index function of the control energy term with integral form was designed. The saddle point control strategy of the game was derived based on the differential game theory, and an evaluation network was designed based on the adaptive dynamic programming algorithm to approximate the solution of the differential game strategy. The weight adaptive updating law of the neural network was given and its stability was proved. Simulation results show that the proposed strategy solving method can achieve anti-interception effect and accurately strike enemy targets under the circumstance of limited maneuverability.
YANG Fuyunxiang , YANG Leping , CHAI Hua
2026, 48(1):247-261. DOI: 10.11887/j.issn.1001-2486.24100008
Abstract:The issue of constructing the closed-loop equilibrium for close-range orbital pursuit-evasion games was addressed and a computation method that integrates Bellman′s principle of optimality, the finite difference method, and interpolation techniques was proposed. A dimension-reduction dynamics of the game system in the line-of-sight coordinate frame was derived, establishing a close-range orbital pursuit-evasion game model and reducing the dimensionality of the systems state space. Based on Bellman′s principle of optimality, the original problem was reformulated as a Hamilton-Jacobi-Isaacs partial differential equation terminal value problem, enabling the simultaneous handling of multiple game scenarios through reverse-time analysis. The state space was discretized using Cartesian grids, and the finite difference method was employed to calculate the dynamic evolution process of the equilibrium driven by the dynamics, and analyze the game situation. Utilizing the relationship between control and the spatial gradient of the equilibrium, numerical interpolation was applied to construct the closed-loop control function. The effectiveness of the proposed method was demonstrated through numerical simulations.
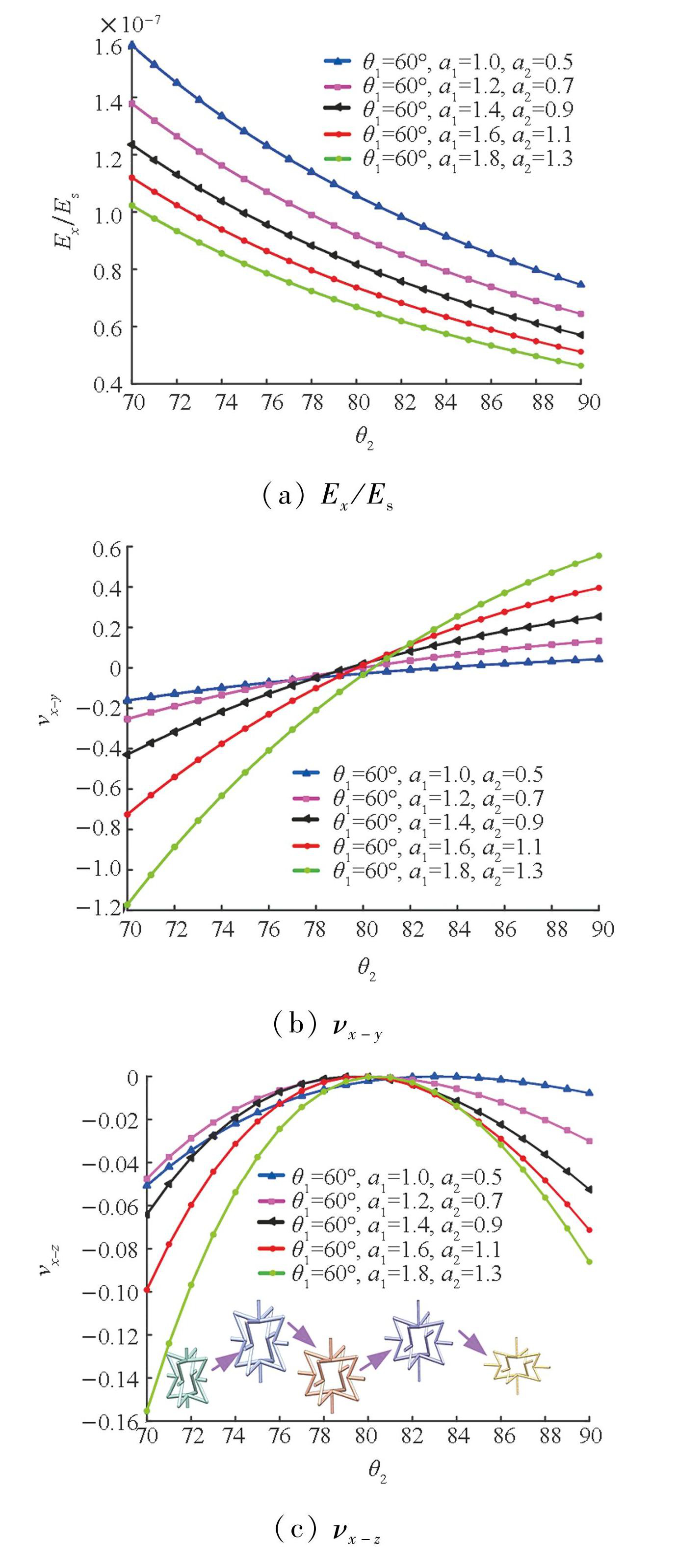
YANG Hui , LIU Hanru , WANG Yan , YANG Yanfei , XIAO Hong
2026, 48(1):262-273. DOI: 10.11887/j.issn.1001-2486.25010022
Abstract:To achieve swept-back, variable camber, and torsional deformation of the aircraft′s morphing wing, a rotating re-entry superstructure with adjustable elastic parameters was proposed. The rotational re-entrant metastructure was composed of an inwardly concave octagon rotated 90° and extended ligaments. The wing section was constructed through the spatial topological filling strategy of the extended straight arm ligaments, forming a bone architecture with deformation capability. Based on the Mohrs theory, a theoretical model of the relative elastic modulus and Poissons ratio of the rotational re-entry metastructures along three directions in space was established. The finite element model of the rotational re-entry metastructures were established by ANSYS software, and five rotational re-entry metastructures prototypes were processed by 3D printer technology. The theoretical, simulation and experimental results were compared respectively. The maximum absolute relative error of Poissons ratio along the x, y and z directions is 10.22%, indicating the accuracy of the theoretical model and the simulation model. The effects of geometric parameters on the elastic parameters of metastructures were analyzed, and it is found that the aspect ratio and the structural angle have a great influence on the mechanical parameters of Poissons ratio, which can provide a theoretical basis for the application of morphing wing skeleton of aircraft.
WU Jingrun , DENG Xue , TIAN Ye , XU Mengqi , ZHANG Hua
2026, 48(1):274-286. DOI: 10.11887/j.issn.1001-2486.24120009
Abstract:Aiming at issues such as the loss of complex wave system structural features in intelligent reconstruction methods for supersonic flow fields, along with the inability to effectively capture the temporal evolution characteristics of unsteady flow fields, which together lead to the inaccurate identification of the STLE (shock train leading edge). A neural network model based on combined detail feature enhancement to address these issues was proposed. High-precision predictions of the density gradient field was achieved based on sparse pressure data. The main wave system structure features of the flow field was established by connecting multiple layers of convolutional networks in series. A residual network with skip connections was used to integrate features from receptive fields of different scales, enhancing the models ability to express detail features in reconstructed flow fields. Validation was conducted using a data set constructed from numerical simulations of ramjet engines. Compared to multilayer convolutional neural networks, this method improves the average peak signal-to-noise ratio across the entire test set by 9.5%. Moreover, the reconstructed flow fields STLE position closely matches the numerical computation results, further demonstrating the effectiveness of the proposed method.




